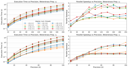
Hensel's lemma, combined with repeated applications of Weierstrass preparation theorem, allows for the factorization of polynomials with multivariate power series coefficients. We present a complexity analysis for this method and leverage those results to guide the load-balancing of a parallel implementation to concurrently update all factors. In particular, the factorization creates a pipeline where the terms of degree k of the first factor are computed simultaneously with the terms of degree k-1 of the second factor, etc. An implementation challenge is the inherent irregularity of computational work between factors, as our complexity analysis reveals. Additional resource utilization and load-balancing is achieved through the parallelization of Weierstrass preparation. Experimental results show the efficacy of this mixed parallel scheme, achieving up to 9x parallel speedup on 12 cores.


翻译:Hensel的 Lemma,加上Weierstrass准备理论的反复应用,使得多分子制和多变动力序列系数的因子化成为可能。我们对这一方法进行了复杂分析,并利用这些结果指导平行执行的负平衡,同时更新所有因素。特别是,这个因子的因子因子因子因子因子因子因子因子因子因子因子因子因子K-1而计算而同时计算k级条件的管道。正如我们的复杂性分析所揭示的那样,执行方面的挑战是各种因素之间计算工作固有的不规则性。额外的资源利用和负载平衡是通过Weierstras的制备而实现的。实验结果显示这一混合并行计划的效力,在12个核心上实现多达9x的平行加速。

0
下载
关闭预览

相关内容

【KDD2021】图神经网络,NUS- Xavier Bresson教授
专知会员服务
67+阅读 · 2021年8月20日
神经常微分方程教程,50页ppt,A brief tutorial on Neural ODEs
专知会员服务
74+阅读 · 2020年8月2日
Linux导论,Introduction to Linux,96页ppt
专知会员服务
82+阅读 · 2020年7月26日
Python图像处理,366页pdf,Image Operators Image Processing in Python
MIT-深度学习Deep Learning State of the Art in 2020,87页ppt
专知会员服务
62+阅读 · 2020年2月17日
计算机 | USENIX Security 2020等国际会议信息5条
Call4Papers
7+阅读 · 2019年4月25日
CCF A类 | 顶级会议RTSS 2019诚邀稿件
Call4Papers
10+阅读 · 2019年4月17日
Call for Participation: Shared Tasks in NLPCC 2019
中国计算机学会
5+阅读 · 2019年3月22日
人工智能 | 国际会议信息10条
Call4Papers
5+阅读 · 2018年12月18日
人工智能 | PRICAI 2019等国际会议信息9条
Call4Papers
6+阅读 · 2018年12月13日
CCF B类期刊IPM专刊截稿信息1条
Call4Papers
3+阅读 · 2018年10月11日
Hierarchical Disentangled Representations
CreateAMind
4+阅读 · 2018年4月15日
Adversarial Variational Bayes: Unifying VAE and GAN 代码
CreateAMind
7+阅读 · 2017年10月4日
Auto-Encoding GAN
CreateAMind
7+阅读 · 2017年8月4日
Augmentation for small object detection
Arxiv
13+阅读 · 2019年2月19日
Implicit Maximum Likelihood Estimation
Arxiv
7+阅读 · 2018年9月24日
VIP会员
相关资讯
计算机 | USENIX Security 2020等国际会议信息5条
Call4Papers
7+阅读 · 2019年4月25日
CCF A类 | 顶级会议RTSS 2019诚邀稿件
Call4Papers
10+阅读 · 2019年4月17日
Call for Participation: Shared Tasks in NLPCC 2019
中国计算机学会
5+阅读 · 2019年3月22日
人工智能 | 国际会议信息10条
Call4Papers
5+阅读 · 2018年12月18日
人工智能 | PRICAI 2019等国际会议信息9条
Call4Papers
6+阅读 · 2018年12月13日
CCF B类期刊IPM专刊截稿信息1条
Call4Papers
3+阅读 · 2018年10月11日
Hierarchical Disentangled Representations
CreateAMind
4+阅读 · 2018年4月15日
Adversarial Variational Bayes: Unifying VAE and GAN 代码
CreateAMind
7+阅读 · 2017年10月4日
Auto-Encoding GAN
CreateAMind
7+阅读 · 2017年8月4日
Top
微信扫码咨询专知VIP会员