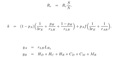
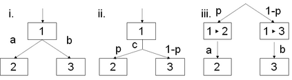
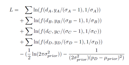
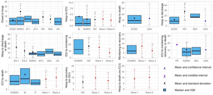
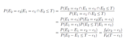
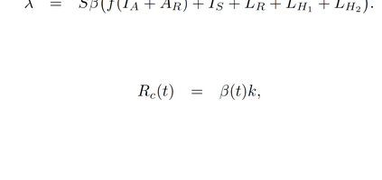
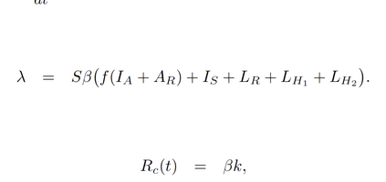
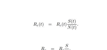
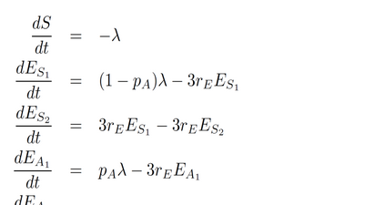
The first year of the COVID-19 pandemic put considerable strain on the national healthcare system in England. In order to predict the effect of the local epidemic on hospital capacity in England, we used a variety of data streams to inform the construction and parameterisation of a hospital progression model, which was coupled to a model of the generalised epidemic. We named this model EpiBeds. Data from a partially complete patient-pathway line-list was used to provide initial estimates of the mean duration that individuals spend in the different hospital compartments. We then fitted EpiBeds using complete data on hospital occupancy and hospital deaths, enabling estimation of the proportion of individuals that follow different clinical pathways, and the reproduction number of the generalised epidemic. The construction of EpiBeds makes it straightforward to adapt to different patient pathways and settings beyond England. As part of the UK response to the pandemic, EpiBeds has provided weekly forecasts to the NHS for hospital bed occupancy and admissions in England, Wales, Scotland, and Northern Ireland.


翻译:COVID-19流行病的第一年对英格兰的国家保健系统造成了相当大的压力。为了预测地方流行病对英格兰医院能力的影响,我们利用各种数据流来为医院进展模式的建造和参数化提供信息,该模式与普遍流行的流行病模式相结合。我们用这个模型命名了EpiBeds。部分完整的病人-病道线列表中的数据用于初步估计个人在不同医院区的平均住院时间。然后,我们利用医院占用率和医院死亡的完整数据来安装EpiBeds,从而能够估计遵循不同临床途径的人的比例和普遍流行流行病的生殖数。EpiBeds的建造使得适应英格兰以外的不同的病人路径和环境变得简单。作为联合王国对流行病的反应的一部分,EpiBeds每周向国家卫生局提供英格兰、威尔士、苏格兰和北爱尔兰的住院人数和住院人数预测。

0
下载
关闭预览

相关内容

《计算机信息》杂志发表高质量的论文,扩大了运筹学和计算的范围,寻求有关理论、方法、实验、系统和应用方面的原创研究论文、新颖的调查和教程论文,以及描述新的和有用的软件工具的论文。官网链接:https://pubsonline.informs.org/journal/ijoc
专知会员服务
19+阅读 · 2020年9月6日
Linux导论,Introduction to Linux,96页ppt
专知会员服务
81+阅读 · 2020年7月26日
【哈佛大学商学院课程Fall 2019】机器学习可解释性
专知会员服务
105+阅读 · 2019年10月9日
计算机 | 入门级EI会议ICVRIS 2019诚邀稿件
Call4Papers
10+阅读 · 2019年6月24日
计算机 | 中低难度国际会议信息8条
Call4Papers
9+阅读 · 2019年6月19日
Call for Participation: Shared Tasks in NLPCC 2019
中国计算机学会
5+阅读 · 2019年3月22日
【TED】什么让我们生病
英语演讲视频每日一推
7+阅读 · 2019年1月23日
meta learning 17年:MAML SNAIL
CreateAMind
11+阅读 · 2019年1月2日
A Technical Overview of AI & ML in 2018 & Trends for 2019
待字闺中
18+阅读 · 2018年12月24日
【推荐】RNN/LSTM时序预测
机器学习研究会
25+阅读 · 2017年9月8日
【学习】Hierarchical Softmax
机器学习研究会
4+阅读 · 2017年8月6日
Auto-Encoding GAN
CreateAMind
7+阅读 · 2017年8月4日
Arxiv
0+阅读 · 2021年12月3日
Arxiv
0+阅读 · 2021年12月2日
Arxiv
0+阅读 · 2021年12月2日
VIP会员
相关资讯
计算机 | 入门级EI会议ICVRIS 2019诚邀稿件
Call4Papers
10+阅读 · 2019年6月24日
计算机 | 中低难度国际会议信息8条
Call4Papers
9+阅读 · 2019年6月19日
Call for Participation: Shared Tasks in NLPCC 2019
中国计算机学会
5+阅读 · 2019年3月22日
【TED】什么让我们生病
英语演讲视频每日一推
7+阅读 · 2019年1月23日
meta learning 17年:MAML SNAIL
CreateAMind
11+阅读 · 2019年1月2日
A Technical Overview of AI & ML in 2018 & Trends for 2019
待字闺中
18+阅读 · 2018年12月24日
【推荐】RNN/LSTM时序预测
机器学习研究会
25+阅读 · 2017年9月8日
【学习】Hierarchical Softmax
机器学习研究会
4+阅读 · 2017年8月6日
Auto-Encoding GAN
CreateAMind
7+阅读 · 2017年8月4日
Top
微信扫码咨询专知VIP会员