又一新算法! 优化并超越YOLOv3的新技巧(附源码)

2020 年 5 月 26 日 计算机视觉战队
计算机视觉研究院专栏

作者:Edison_G

深度学习目前依然在AI领域最火研究课题之一。今年的国际大型会议也收录了很多优秀的文章。新的算法和框架值得我们深入学习,今天就给大家详细说说一个新框架——优化YoloV3框架!







扫码关注我们

公众号 : 计算机视觉战队

扫码回复:新yolov3,获取下载链接

新框架

作者定义了本文提出的基于DIoU、CIoU损失函数如下:

其中   表示预测框   和   间的惩罚项。
Distance-IoU Loss
对 IoU Loss 和GIoU Loss 的分析
为了全面地分析IoU loss和GIoU的性能,论文进行了模拟实验,模拟不同的距离、尺寸和长宽比的bbox的回归情况。
1、Simulation Experiment

2、Limitations of IoU and GIoU Losses

论文将5000个中心点上的bbox在最后阶段的total error进行了可视化。IoU loss只对与target box有交集的bbox有效,因为无交集的bbox的为0。而GIoU由于增加了惩罚函数,盆地区域明显增大,但是垂直和水平的区域依然保持着高错误率,这是由于GIoU的惩罚项经常很小甚至为0,导致训练需要更多的迭代来收敛。

论文提出了能减少两个box中心点间的距离的惩罚项,  和  分别表示  和  的中心点。  是欧氏距离,  是最小包围两个bbox的框的对角线长度,Loss完整公式定义如下:

因此DIoU中对anchor框和目标框之间的归一化距离进行了建模。直观的展示如下图所示:

DIoU loss的惩罚项能够直接最小化中心点间的距离,而GIoU loss意在减少外界包围框的面积 DIoU loss保留了IoU loss和GIoU loss的一些优点:

  • DIoU loss与尺寸无关的,不会大尺寸产生大的loss,小尺寸产生小的loss那样;
  • 类似于GIoU loss,DIoU loss能够为无交集的bbox提供梯度方向;
  • 当bbox完全重合时,   ,当bbox很远时, 
在模拟实验中,发现DIoU loss也有一些独有的特点:
  • DIoU loss可以直接最小化两个目标框的距离,因此比GIoU loss收敛快得多;
  • 对于包含两个框在水平方向和垂直方向上这种情况,DIoU损失可以使回归非常快,而GIoU损失几乎退化为IoU损失;
  • DIoU还可以替换普通的IoU评价策略,应用于NMS中,使得NMS得到的结果更加合理和有效。
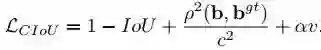
Complete IoU loss

DIoU Loss 只是考虑了边界框的重叠面积和  与  中心点距离,然而anchor框和目标框之间的w,h比的一致性也是极其重要的。基于此,作者提出了Complete-IoU Loss。其损失函数定义如下:

上述损失函数为CIoU的损失,通过公式可以很直观的看出,CIoU比DIoU多出了  和  这两个参数。其中  是权重函数。v用来衡量anchor框和目标框之间的长宽比的相似性。

定义可以看出来,损失函数会更加倾向于往重叠区域增多方向优化:

最后,CIoU loss的梯度类似于DIoU loss,但还要考虑   的梯度。w,h取值范围[0,1]的情况下,   的值通常很小,会导致梯度爆炸,因此在实现时将   替换成1。

Non-Maximum Suppression using DIoU

在原始的NMS中,IoU指标用于抑制多余的检测框,但由于仅考虑了重叠区域,经常会造成错误的抑制,特别是在bbox包含的情况下。因此,可以使用DIoU作为NMS的标准,不仅考虑重叠区域,还考虑了中心点距离。(基于DIoU作为NMS标准,虽然多了距离这个维度去考虑问题,但和NMS面对的同样的情况是当两个不同的目标本身就靠的很近的时候还是会造成错误的抑制)

其中  是分类置信度,  为NMS阈值,  为最高置信度的框。DIoU-NMS倾向于中心点距离较远的box存在不同的对象,而且仅需改几行代码,DIoU-NMS就能够很简单地集成到目标检测算法中。

实验结果


在YOLOv3上进行实验对比,DIoU loss和CIoU的效果都很显著,mAP分别提升3.29%和5.67%,而AP75则分别提升6.40%和8.43%,而使用DIoU-NMS则能进一步提升,幅度达到5.91%和9.88%

SSD on PASCAL VOC
基于IoU指标,在SSD-FPN上进行实验对比,因为本身模型已经精度很好了,DIoU loss和CIoU的效果不是很显著,但仍有提升。mAP分别提升0.59%和0.84%,而AP75则分别提升1.77%和2.59%,而使用DIoU-NMS则能进一步提升效果

Faster R-CNN on MS COCO

在Faster R-CNN ResNet-50-FPN上,由于Faster R-CNN本身提供的bbox质量都比较高,因此,GIoU的优化都很小,但此时DIoU和CIoU则表现了不错的优化效果。注意到,CIoU在小物体上的性能都有所下降,可能由于长宽比对小物体的检测贡献不大,因为此时中心点距离比aspect ratio更重要。

上图对GIoU和CIoU的结果进行了可视化,可以看到,在中大型物体检测上,CIoU的结果比GIoU要准确。

Discussion on DIoU-NMS

DIoU-NMS能够更好地引导bbox的消除

最后作者进行了比较实验,原NMS和DIoU-NMS分别移植到了yolov3和ssd模型,同时使用CIou loss。在阈值的范围内比较了原始NMS和DIoU-NMS  [0.43,0.48]。从图9中可以看出,对于每个阈值,DIoU-NMS都优于原始NMS。此外,值得注意的是,即使是最糟糕的DIoU-NMS也是要优于最优的原始NMS。

总结

论文提出了两种新的IoU-based损失函数,DIoU loss和CIoU loss:DIoU loss最小化bbox间的中心点距离,从而使得函数快速收敛;CIoU loss则在DIoU loss的基础上加入长宽比的考量,能够进一步地快速收敛和提升性能。另外论文提出DIoU-NMS来代替原生的NMS,充分地利用IoU的特性进行优化,从实验结果来看,效果也是很好的。

通知

计算机视觉研究院正在组建深度学习技术群,欢迎大家私信申请加入!

加入“计算机视觉研究院”,一起学习!

如果想加入我们“计算机视觉研究院”,请扫二维码加入学习群。主要涉及机器学习、深度学习等领域,由来自于各校的硕博研究生组成的团队,主要致力于人脸检测、人脸识别,多目标检测、目标跟踪、图像分割等研究方向。

点击蓝字关注我们







扫码关注我们

公众号 : 计算机视觉研究院

扫码回复:新yolov3,获取下载链接 

登录查看更多
0

相关内容

深度学习目标检测方法综述
专知会员服务
280+阅读 · 2020年8月1日
【ICML2020】统一预训练伪掩码语言模型
专知会员服务
27+阅读 · 2020年7月23日
深度学习目标检测方法及其主流框架综述
专知会员服务
148+阅读 · 2020年6月26日
【ACL2020】利用模拟退火实现无监督复述
专知会员服务
14+阅读 · 2020年5月26日
【CVPR2020】MSG-GAN:用于稳定图像合成的多尺度梯度GAN
专知会员服务
29+阅读 · 2020年4月6日
专知会员服务
45+阅读 · 2020年3月6日
目标检测中边界框的回归策略
极市平台
17+阅读 · 2019年9月8日
FCOS: 最新的one-stage逐像素目标检测算法
极市平台
15+阅读 · 2019年4月14日
提高GAN训练稳定性的9大tricks
人工智能前沿讲习班
13+阅读 · 2019年3月19日
期待已久的—YOLO V3
计算机视觉战队
20+阅读 · 2018年4月13日
Arxiv
5+阅读 · 2019年4月8日
Arxiv
8+阅读 · 2018年4月8日
Arxiv
7+阅读 · 2018年1月24日
VIP会员
相关VIP内容
深度学习目标检测方法综述
专知会员服务
280+阅读 · 2020年8月1日
【ICML2020】统一预训练伪掩码语言模型
专知会员服务
27+阅读 · 2020年7月23日
深度学习目标检测方法及其主流框架综述
专知会员服务
148+阅读 · 2020年6月26日
【ACL2020】利用模拟退火实现无监督复述
专知会员服务
14+阅读 · 2020年5月26日
【CVPR2020】MSG-GAN:用于稳定图像合成的多尺度梯度GAN
专知会员服务
29+阅读 · 2020年4月6日
专知会员服务
45+阅读 · 2020年3月6日
相关资讯
目标检测中边界框的回归策略
极市平台
17+阅读 · 2019年9月8日
FCOS: 最新的one-stage逐像素目标检测算法
极市平台
15+阅读 · 2019年4月14日
提高GAN训练稳定性的9大tricks
人工智能前沿讲习班
13+阅读 · 2019年3月19日
期待已久的—YOLO V3
计算机视觉战队
20+阅读 · 2018年4月13日
Top
微信扫码咨询专知VIP会员