DIoU YOLOv3 | AAAI 2020:更加稳定有效的目标框回归损失

2019 年 12 月 1 日 极市平台

加入极市专业CV交流群,与6000+来自腾讯,华为,百度,北大,清华,中科院等名企名校视觉开发者互动交流!更有机会与李开复老师等大牛群内互动!

同时提供每月大咖直播分享、真实项目需求对接、干货资讯汇总,行业技术交流。关注 极市平台 公众号 ,回复 加群,立刻申请入群~


DIoU要比GIou更加符合目标框回归的机制,将目标与anchor之间的距离,重叠率以及尺度都考虑进去,使得目标框回归变得更加稳定,不会像IoU和GIoU一样出现训练过程中发散等问题。


论文标题:

Distance-IoU Loss: Faster and Better Learning for Bounding Box Regression(已经被AAAI2020接收)

https://arxiv.org/pdf/1911.08287.pdf

https://github.com/Zzh-tju/DIoU-darknet


   IoU & GIoU存在的问题分析


论文作者通过一个仿真实现,从实验结果的角度说明了IoU和GIoU存在的问题。 实验设定如下图所示:
  1. 绿色框代表仿真实验需要回归的七个不同尺度的目标框,七个目标框的中心点坐标都是(10 * 10)。
  2. 蓝色的点代表了所有anchor的中心点,中心点的分布如下图所示,各个方向都有,各种距离都有,当然每个anchor的一个中心点都包含有七个不同面积的anchor框。 而且每个面积的anchor框又有其中不用比例尺寸。 因此一共有5000个蓝色点,有5000*7*7个anchor框,而且每个框都需要回归到七个目标框去,因此一共有5000*7*7*7个回归案例。

最终的实验结果如下: 图中展示的训练同样的代数后(200代),IoU,GIoU以及本文提出的DIoU作为loss的情况下,每个anchor的误差分布。
  1. IoU: 从IoU误差的曲线我们可以发现,anchor越靠近边缘,误差越大,那些与目标框没有重叠的anchor基本无法回归。
  2. GIoU: 从GIoU误差的曲线我们可以发现,对于一些没有重叠的anchor,GIoU的表现要比IoU更好。 但是由于GIoU仍然严重的依赖IoU,因此在两个垂直方向,误差很大,基本很难收敛,这就是GIoU不稳定的原因。
  3. DIoU: 从DIoU误差的曲线我们可以发现,对于不同距离,方向,面积和比例的anchor,DIoU都能做到较好的回归。

再用一张很形象的图,来说明GIoU不稳定以及收敛很慢的原因。 下图中第一行三张图展示的是GIoU的回归过程,其中绿色框为目标框,黑色框为anchor,蓝色框为不同次数的迭代后,anchor的偏移结果。 第二行三张图展示的是DIoU的回归过程,其中绿色框为目标框,黑色框为anchor,红色框为不同次数的迭代后,anchor的偏移结果。 从图中我们可以看到,GIoU在回归的过程中,从损失函数的形式我们发现,当IoU为0时,GIoU会先尽可能让anchor能够和目标框产生重叠,之后GIoU会渐渐退化成IoU回归策略,因此整个过程会非常缓慢而且存在发散的风险。 而DIoU考虑到anchor和目标之间的中心点距离,可以更快更有效更稳定的进行回归。

    提出问题
基于IoU和GIoU存在的问题,作者提出了两个问题:
第一: 直接最小化anchor框与目标框之间的归一化距离是否可行,以达到更快的收敛速度。
第二: 如何使回归在与目标框有重叠甚至包含时更准确、更快。

   问题1答案: DIoU

作者为了回答第一个问题:提出了Distance-IoU Loss。

上述损失函数为DIoU的损失。 其中,b,bgt分别代表了anchor框和目标框的中心点,且p代表的是计算两个中心点间的欧式距离。 c代表的是能够同时覆盖anchor和目标框的最小矩形的对角线距离。 因此DIoU中对anchor框和目标框之间的归一化距离进行了建模。 直观的展示如下图所示。
DIoU的优点如下:
  1. 与GIoU loss类似,DIoU loss在与目标框不重叠时,仍然可以为边界框提供移动方向。
  2. DIoU loss可以直接最小化两个目标框的距离,因此比GIoU loss收敛快得多。
  3. 对于包含两个框在水平方向和垂直方向上这种情况,DIoU损失可以使回归非常快,而GIoU损失几乎退化为IoU损失。

  4. DIoU还可以替换普通的IoU评价策略,应用于NMS中,使得NMS得到的结果更加合理和有效。


   问题2答案:CIoU


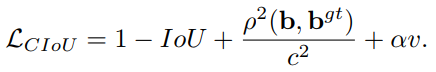
作者为了回答第二个问题: 提出了Complete-IoU Loss。

作者认为一个好的目标框回归损失应该考虑三个重要的几何因素:重叠面积、中心点距离、长宽比。

GIoU:为了归一化坐标尺度,利用IoU,并初步解决IoU为零的情况。

DIoU:DIoU损失同时考虑了边界框的重叠面积和中心点距离。

然而,anchor框和目标框之间的长宽比的一致性也是极其重要的。基于此,作者提出了Complete-IoU Loss。


上述损失函数为CIoU的损失,通过公式可以很直观的看出,CIoU比DIoU多出了阿尔法和v这两个参数。 其中阿尔法是用于平衡比例的参数。 v用来衡量anchor框和目标框之间的比例一致性。
从阿尔法参数的定义可以看出,损失函数会更加倾向于往重叠区域增多方向优化,尤其是IoU为零的时候。

   DIoU & CIoU在YOLOv3上的性能

从下表可以看出,DIoU和CIoU在YOLOv3上都有较大的性能提升!



-End-



*延伸阅读






极市目标检测方向交流群


添加极市小助手微信(ID : cv-mart),备注:研究方向-姓名-学校/公司-城市(如:目标检测-小极-北大-深圳),即可申请加入极市目标检测交流群(已经添加小助手的好友直接私信),更有每月大咖直播分享、真实项目需求对接、干货资讯汇总,行业技术交流一起来让思想之光照的更远吧~



△长按添加极市小助手


△长按关注极市平台


觉得有用麻烦给个在看啦~  

登录查看更多
9

相关内容

【CVPR2020-北京大学】自适应间隔损失的提升小样本学习
专知会员服务
85+阅读 · 2020年6月9日
【ICML2020】小样本目标检测
专知会员服务
91+阅读 · 2020年6月2日
【CVPR2020】MSG-GAN:用于稳定图像合成的多尺度梯度GAN
专知会员服务
29+阅读 · 2020年4月6日
2019 DR loss(样本不平衡问题)目标检测论文阅读
极市平台
11+阅读 · 2019年10月28日
一文读懂线性回归、岭回归和Lasso回归
CSDN
34+阅读 · 2019年10月13日
CVPR 2019:精确目标检测的不确定边界框回归
AI科技评论
13+阅读 · 2019年9月16日
目标检测中边界框的回归策略
极市平台
17+阅读 · 2019年9月8日
一种小目标检测中有效的数据增强方法
极市平台
119+阅读 · 2019年3月23日
CVPR2019 | FSAF:来自CMU的Single-Shot目标检测算法
极市平台
41+阅读 · 2019年3月8日
Fast R-CNN
数据挖掘入门与实战
3+阅读 · 2018年4月20日
Arxiv
5+阅读 · 2019年4月8日
Arxiv
8+阅读 · 2018年4月8日
Arxiv
8+阅读 · 2018年1月12日
VIP会员
相关VIP内容
【CVPR2020-北京大学】自适应间隔损失的提升小样本学习
专知会员服务
85+阅读 · 2020年6月9日
【ICML2020】小样本目标检测
专知会员服务
91+阅读 · 2020年6月2日
【CVPR2020】MSG-GAN:用于稳定图像合成的多尺度梯度GAN
专知会员服务
29+阅读 · 2020年4月6日
相关资讯
2019 DR loss(样本不平衡问题)目标检测论文阅读
极市平台
11+阅读 · 2019年10月28日
一文读懂线性回归、岭回归和Lasso回归
CSDN
34+阅读 · 2019年10月13日
CVPR 2019:精确目标检测的不确定边界框回归
AI科技评论
13+阅读 · 2019年9月16日
目标检测中边界框的回归策略
极市平台
17+阅读 · 2019年9月8日
一种小目标检测中有效的数据增强方法
极市平台
119+阅读 · 2019年3月23日
CVPR2019 | FSAF:来自CMU的Single-Shot目标检测算法
极市平台
41+阅读 · 2019年3月8日
Fast R-CNN
数据挖掘入门与实战
3+阅读 · 2018年4月20日
Top
微信扫码咨询专知VIP会员