“独孤信印”上了高考数学试卷

2019 年 6 月 20 日 知识分子

pixabay.com


撰文 | 刘   钝

 

  

 

今年全国高考理科数学II卷有一道填空题,涉及到一个叫做 “独孤信印” 的多面体。笔者曾在《数学文化》2018年第1期发表一篇小文,详细描绘了独孤信印的由来、几何构造及求棱长的算法。不知命题人是否看过那一期的《数学文化》或推送过该文的《科学春秋》微信公众号独孤信印与秦汉酒骰的几何学,但可以肯定的是,中学数学教科书不含半正多面体的内容,此前从数学结构的角度来讨论这一出土文物的似乎也仅见笔者一家。难怪连日来网上关于这道题的讨论热闹非凡,有人留言说 “果然是独孤天下了”,大概是说题目出得有些偏。

 

以下为原题:


2019年普通高等学校招生全国统一考试理科数学II试卷第16题

 

依笔者看,这个题目还是蛮好的,除了前述拙文介绍的解析几何解法外,还可以借助普通的平面几何、立体几何或三角知识来解,难度不算太大,分数比例也不高(两小问共5分),但有利于拉开善于灵活解题考生与啃书族的差距,特别是有助于考察优秀学生的几何直观。


现在网上已经公布了所有解答题的标准解法,唯选择与填空题只给出正确答案而不及解法。这里笔者再提供一个利用平面几何求此半正多面体棱长的解法,关键是要根据提示的“所有顶点都在同一个正方体的表面上”画出这个正方体来,如下图:

 

48等边半正多面体棱长与其外切正方体棱长的关系

 

根据形体对称与顶点在正方体面上这两个条件,可知上图中三角形ABC是个等腰直角三角形,


至于这个半正多面体的面数,根据图示并考虑形体的对称性,不难看出共有26个面:其中18个为正方形,8个为正三角形。

 

媒体上有个留言颇合吾意,说 “终于有媒体在高考结束之后讨论数学题了,算是全民数学启蒙的开始吧,数十年来,每次高考结束,所有媒体都在讨论语文试卷,讨论语文作文,高考只考语文吗?不是的,因为媒体记者们只看得懂语文,数学物理化学生物,理科类的高考内容是在媒体人们的理解外的。全民科普,普及理科知识也是重中之重啊!” 至于 “没事就应该多带孩子逛逛博物馆”,乃至这两天陕西省博物馆里这个小物件前挤满了学生和家长;还有对 “最牛老丈人” “最美大将军” 的关注,那都超出笔者的预期了。

 

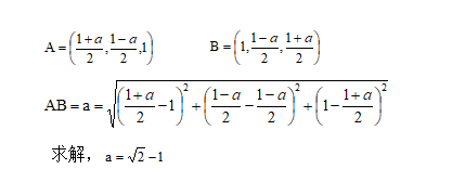
附. 立体解析几何求棱长法


 

将48等边半正多面(独孤信印的几何体)及其外切立方体置于三维直角坐标系内,如上图。设半正多面体棱长为a,已知立方体棱长为1,则有: 



 参考文献

刘钝.2018.独孤信印与秦汉酒骰的几何学.数学文化.第9卷第1期.62-69.(互见《科学春秋》公众号)

2019年普通高等学校招生全国统一考试理科数学II试卷.

 

制版编辑 | 皮皮鱼


更多精彩文章:


葛力明:数学的纯粹


帕乔利:上帝、数学与金钱 | 左图右史




点击“阅读原文”,与知识分子一起悦读2019。

登录查看更多
0

相关内容

数学是关于数量、结构、变化等主题的探索。
【纽约大学】最新《离散数学》笔记,451页pdf
专知会员服务
131+阅读 · 2020年5月26日
 第八届中国科技大学《计算机图形学》暑期课程课件
专知会员服务
62+阅读 · 2020年3月4日
广东疾控中心《新型冠状病毒感染防护》,65页pdf
专知会员服务
19+阅读 · 2020年1月26日
【机器学习课程】机器学习中的常识性问题
专知会员服务
75+阅读 · 2019年12月2日
机器学习入门 | 刷新你三观的高数和线代教程
大数据技术
21+阅读 · 2019年3月22日
今年高考志愿,选个好专业比选个好学校更重要!
深度学习世界
4+阅读 · 2018年6月10日
数学不好能搞人工智能吗?
算法与数学之美
3+阅读 · 2017年11月27日
图解高等数学|线性代数
遇见数学
39+阅读 · 2017年10月18日
大学数学不好,或许是数学教材的锅?
算法与数学之美
15+阅读 · 2017年8月1日
【基础数学】- 01
遇见数学
20+阅读 · 2017年7月25日
Arxiv
8+阅读 · 2019年3月21日
Conditional BERT Contextual Augmentation
Arxiv
8+阅读 · 2018年12月17日
Implicit Maximum Likelihood Estimation
Arxiv
7+阅读 · 2018年9月24日
Arxiv
8+阅读 · 2018年5月17日
Arxiv
4+阅读 · 2018年3月19日
Arxiv
5+阅读 · 2018年1月18日
VIP会员
相关资讯
机器学习入门 | 刷新你三观的高数和线代教程
大数据技术
21+阅读 · 2019年3月22日
今年高考志愿,选个好专业比选个好学校更重要!
深度学习世界
4+阅读 · 2018年6月10日
数学不好能搞人工智能吗?
算法与数学之美
3+阅读 · 2017年11月27日
图解高等数学|线性代数
遇见数学
39+阅读 · 2017年10月18日
大学数学不好,或许是数学教材的锅?
算法与数学之美
15+阅读 · 2017年8月1日
【基础数学】- 01
遇见数学
20+阅读 · 2017年7月25日
相关论文
Top
微信扫码咨询专知VIP会员