跳出公式,看清全局,图神经网络(GCN)原理详解

2019 年 9 月 22 日 AI科技评论

本文转载自公众号:SimpleAI。



作者 | 郭必扬
编辑 | Camel

GCN问世已经有几年了(2016年就诞生了),但是这两年尤为火爆。本人愚钝,一直没能搞懂这个GCN为何物,最开始是看清华写的一篇三四十页的综述,读了几页就没读了;后来直接拜读GCN的开山之作,也是读到中间的数学部分就跪了;再后来在知乎上看大神们的讲解,直接被排山倒海般的公式——什么傅里叶变换、什么拉普拉斯算子等等,给搞蒙了,越读越觉得:“哇这些大佬好厉害,哎我怎么这么菜!”。

就这么反反复复,尝试一次放弃一次,终于慢慢有点理解了,慢慢从那些公式的里跳了出来,看到了全局,也就慢慢明白了GCN的原理。今天,我就记录一下我对GCN“阶段性”的理解。

GCN的概念首次提出于ICLR2017(成文于2016年):


一、GCN 是做什么的

在扎进GCN的汪洋大海前,我们先搞清楚这个玩意儿是做什么的,有什么用。

深度学习一直都是被几大经典模型给统治着,如CNN、RNN等等,它们无论再CV还是NLP领域都取得了优异的效果,那这个GCN是怎么跑出来的?是因为我们发现了很多CNN、RNN无法解决或者效果不好的问题——图结构的数据。

回忆一下,我们做图像识别,对象是图片,是一个二维的结构,于是人们发明了CNN这种神奇的模型来提取图片的特征。CNN的核心在于它的kernel,kernel是一个个小窗口,在图片上平移,通过卷积的方式来提取特征。这里的关键在于图片结构上的平移不变性:一个小窗口无论移动到图片的哪一个位置,其内部的结构都是一模一样的,因此CNN可以实现参数共享。这就是CNN的精髓所在。

再回忆一下RNN系列,它的对象是自然语言这样的序列信息,是一个一维的结构,RNN就是专门针对这些序列的结构而设计的,通过各种门的操作,使得序列前后的信息互相影响,从而很好地捕捉序列的特征。

上面讲的图片或者语言,都属于欧式空间的数据,因此才有维度的概念,欧式空间的数据的特点就是结构很规则。但是现实生活中,其实有很多很多不规则的数据结构,典型的就是图结构,或称拓扑结构,如社交网络、化学分子结构、知识图谱等等;即使是语言,实际上其内部也是复杂的树形结构,也是一种图结构;而像图片,在做目标识别的时候,我们关注的实际上只是二维图片上的部分关键点,这些点组成的也是一个图的结构。

图的结构一般来说是十分不规则的,可以认为是无限维的一种数据,所以它没有平移不变性。每一个节点的周围结构可能都是独一无二的,这种结构的数据,就让传统的CNN、RNN瞬间失效。所以很多学者从上个世纪就开始研究怎么处理这类数据了。这里涌现出了很多方法,例如GNN、DeepWalk、node2vec等等,GCN只是其中一种,这里只讲GCN,其他的后面有空再讨论。

GCN,图卷积神经网络,实际上跟CNN的作用一样,就是一个特征提取器,只不过它的对象是图数据。GCN精妙地设计了一种从图数据中提取特征的方法,从而让我们可以使用这些特征去对图数据进行节点分类(node classification)、图分类(graph classification)、边预测(link prediction),还可以顺便得到图的嵌入表示(graph embedding),可见用途广泛。因此现在人们脑洞大开,让GCN到各个领域中发光发热。


二、GCN 长啥样,吓人吗?

GCN的公式看起来还是有点吓人的,论文里的公式更是吓破了我的胆儿。但后来才发现,其实90%的内容根本不必理会,只是为了从数学上严谨地把事情给讲清楚,但是完全不影响我们的理解,尤其对于我这种“追求直觉,不求甚解”之人。

下面进入正题,我们直接看看GCN的核心部分是什么样子:

假设我们手头有一批图数据,其中有N个节点(node),每个节点都有自己的特征,我们设这些节点的特征组成一个N×D维的矩阵X,然后各个节点之间的关系也会形成一个N×N维的矩阵A,也称为邻接矩阵(adjacency matrix)。X和A便是我们模型的输入。

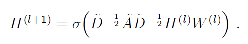
GCN也是一个神经网络层,它的层与层之间的传播方式是:

这个公式中:

  • A波浪=A+I,I是单位矩阵

  • D波浪是A波浪的度矩阵(degree matrix),公式为

  • H是每一层的特征,对于输入层的话,H就是X

  • σ是非线性激活函数

我们先不用考虑为什么要这样去设计一个公式。我们现在只用知道:

这个部分,是可以事先算好的,因为D波浪由A计算而来,而A是我们的输入之一。

所以对于不需要去了解数学原理、只想应用GCN来解决实际问题的人来说,你只用知道:哦,这个GCN设计了一个牛逼的公式,用这个公式就可以很好地提取图的特征。这就够了,毕竟不是什么事情都需要知道内部原理,这是根据需求决定的。

为了直观理解,我们用论文中的一幅图:

上图中的GCN输入一个图,通过若干层GCN每个node的特征从X变成了Z,但是,无论中间有多少层,node之间的连接关系,即A,都是共享的

假设我们构造一个两层的GCN,激活函数分别采用ReLU和Softmax,则整体的正向传播的公式为:

最后,我们针对所有带标签的节点计算cross entropy损失函数:

就可以训练一个node classification的模型了。由于即使只有很少的node有标签也能训练,作者称他们的方法为半监督分类

当然,你也可以用这个方法去做graph classification、link prediction,只是把损失函数给变化一下即可。


三、GCN 为什么是这个样子

我前后翻看了很多人的解读,但是读了一圈,最让我清楚明白为什么GCN的公式是这样子的居然是作者Kipf自己的博客:http://tkipf.github.io/graph-convolutional-networks/ 推荐大家一读。

作者给出了一个由简入繁的过程来解释:

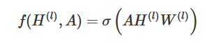
我们的每一层GCN的输入都是邻接矩阵A和node的特征H,那么我们直接做一个内积,再乘一个参数矩阵W,然后激活一下,就相当于一个简单的神经网络层嘛,是不是也可以呢?

实验证明,即使就这么简单的神经网络层,就已经很强大了。这个简单模型应该大家都能理解吧,这就是正常的神经网络操作。

但是这个简单模型有几个局限性:

  • 只使用A的话,由于A的对角线上都是0,所以在和特征矩阵H相乘的时候,只会计算一个node的所有邻居的特征的加权和,该node自己的特征却被忽略了。因此,我们可以做一个小小的改动,给A加上一个单位矩阵 I ,这样就让对角线元素变成1了。

  • A是没有经过归一化的矩阵,这样与特征矩阵相乘会改变特征原本的分布,产生一些不可预测的问题。所以我们对A做一个标准化处理。首先让A的每一行加起来为1,我们可以乘以一个D的逆,D就是度矩阵。我们可以进一步把D的拆开与A相乘,得到一个对称且归一化的矩阵 :

通过对上面两个局限的改进,我们便得到了最终的层特征传播公式:

其中

公式中的与对称归一化拉普拉斯矩阵十分类似,而在谱图卷积的核心就是使用对称归一化拉普拉斯矩阵,这也是GCN的卷积叫法的来历。原论文中给出了完整的从谱卷积到GCN的一步步推导,我是看不下去的,大家有兴趣可以自行阅读。

四、GCN 有多牛

在看了上面的公式以及训练方法之后,我并没有觉得GCN有多么特别,无非就是一个设计巧妙的公式嘛,也许我不用这么复杂的公式,多加一点训练数据或者把模型做深,也可能达到媲美的效果呢。

但是一直到我读到了论文的附录部分,我才顿时发现:GCN原来这么牛啊!

为啥呢?

因为即使不训练,完全使用随机初始化的参数W,GCN提取出来的特征就以及十分优秀了!这跟CNN不训练是完全不一样的,后者不训练是根本得不到什么有效特征的。

我们看论文原文:

然后作者做了一个实验,使用一个俱乐部会员的关系网络,使用随机初始化的GCN进行特征提取,得到各个node的embedding,然后可视化:

可以发现,在原数据中同类别的node,经过GCN的提取出的embedding,已经在空间上自动聚类了。

而这种聚类结果,可以和DeepWalk、node2vec这种经过复杂训练得到的node embedding的效果媲美了。

说的夸张一点,比赛还没开始,GCN就已经在终点了。看到这里我不禁猛拍大腿打呼:“NB!

还没训练就已经效果这么好,那给少量的标注信息,GCN的效果就会更加出色。

作者接着给每一类的node,提供仅仅一个标注样本,然后去训练,得到的可视化效果如下:

这是整片论文让我印象最深刻的地方。

看到这里,我觉得,以后有机会,确实得详细地吧GCN背后的数学琢磨琢磨,其中的玄妙之处究竟为何,其物理本质为何。这个时候,回忆起在知乎上看到的各路大神从各种角度解读GCN,例如从热量传播的角度,从一个群体中每个人的工资的角度,生动形象地解释。这一刻,历来痛恨数学的我,我感受到了一丝数学之美,于是凌晨两点的我,打开了天猫,下单了一本正版《数学之美》。哦,数学啊,你真如一朵美丽的玫瑰,每次被你的美所吸引,都要深深受到刺痛,我何时才能懂得你、拥有你?

其他关于GCN的点滴:

  1. 对于很多网络,我们可能没有节点的特征,这个时候可以使用GCN吗?答案是可以的,如论文中作者对那个俱乐部网络,采用的方法就是用单位矩阵 I 替换特征矩阵 X。

  2. 我没有任何的节点类别的标注,或者什么其他的标注信息,可以使用GCN吗?当然,就如前面讲的,不训练的GCN,也可以用来提取graph embedding,而且效果还不错。

  3. GCN网络的层数多少比较好?论文的作者做过GCN网络深度的对比研究,在他们的实验中发现,GCN层数不宜多,2-3层的效果就很好了。



1. 张钹院士: 人工智能的魅力就是它永远在路上 | CCAI 2019
2 . Facebook 自然语言处理新突破:新模型能力赶超人类 & 超难 NLP 新基准  

3. 巴赫涂鸦创作者 Anna Huang 现身上海,倾情讲解「音乐生成」两大算法 

4. 一份完全解读:是什么使神经网络变成图神经网络?  

点击阅读原文,加入顶会交流小组

登录查看更多
64

相关内容

图卷积网络(简称GCN),由Thomas Kpif于2017年在论文Semi-supervised classification with graph convolutional networks中提出。它为图(graph)结构数据的处理提供了一个崭新的思路,将深度学习中常用于图像的卷积神经网络应用到图数据上。

知识荟萃

精品入门和进阶教程、论文和代码整理等

更多

查看相关VIP内容、论文、资讯等
【KDD2020】自适应多通道图卷积神经网络
专知会员服务
121+阅读 · 2020年7月9日
【ICML2020】持续图神经网络,Continuous Graph Neural Networks
专知会员服务
151+阅读 · 2020年6月28日
【CVPR2020】图神经网络中的几何原理连接
专知会员服务
57+阅读 · 2020年4月8日
【图神经网络(GNN)结构化数据分析】
专知会员服务
117+阅读 · 2020年3月22日
【北京大学】CVPR 2020 | PQ-NET:序列化的三维形状生成网络
一文读懂图卷积GCN
计算机视觉life
21+阅读 · 2019年12月21日
图神经网络(Graph Neural Networks,GNN)综述
极市平台
104+阅读 · 2019年11月27日
初学者系列:Deep FM详解
专知
109+阅读 · 2019年8月26日
卷积神经网络数学原理解析
算法与数学之美
20+阅读 · 2019年8月23日
Graph Neural Networks 综述
计算机视觉life
30+阅读 · 2019年8月13日
深入卷积神经网络背后的数学原理
人工智能学家
10+阅读 · 2019年4月26日
掌握图神经网络GNN基本,看这篇文章就够了
新智元
164+阅读 · 2019年2月14日
胶囊网络,是什么?
人工智能头条
32+阅读 · 2019年1月2日
干货|基于图卷积网络的图深度学习
DataCanvas大数据云平台
10+阅读 · 2017年6月8日
OD-GCN: Object Detection by Knowledge Graph with GCN
Arxiv
4+阅读 · 2019年9月30日
Geometric Graph Convolutional Neural Networks
Arxiv
10+阅读 · 2019年9月11日
Arxiv
16+阅读 · 2019年4月4日
Arxiv
19+阅读 · 2018年6月27日
Arxiv
7+阅读 · 2018年1月10日
VIP会员
相关VIP内容
相关资讯
一文读懂图卷积GCN
计算机视觉life
21+阅读 · 2019年12月21日
图神经网络(Graph Neural Networks,GNN)综述
极市平台
104+阅读 · 2019年11月27日
初学者系列:Deep FM详解
专知
109+阅读 · 2019年8月26日
卷积神经网络数学原理解析
算法与数学之美
20+阅读 · 2019年8月23日
Graph Neural Networks 综述
计算机视觉life
30+阅读 · 2019年8月13日
深入卷积神经网络背后的数学原理
人工智能学家
10+阅读 · 2019年4月26日
掌握图神经网络GNN基本,看这篇文章就够了
新智元
164+阅读 · 2019年2月14日
胶囊网络,是什么?
人工智能头条
32+阅读 · 2019年1月2日
干货|基于图卷积网络的图深度学习
DataCanvas大数据云平台
10+阅读 · 2017年6月8日
相关论文
Top
微信扫码咨询专知VIP会员