博客 | 总结 | 对话系统中的口语理解技术(SLU)(二)

2018 年 12 月 10 日 AI研习社

本文原载于微信公众号:AI部落联盟(AI_Tribe)AI研习社经授权转载。欢迎关注 AI部落联盟 微信公众号、知乎专栏 AI部落、及 AI研习社博客专栏

社长提醒:本文的相关链接点击文末【阅读原文】进行查看


在 总结 | 对话系统中的口语理解技术(SLU)(一) ,我们一起聊了聊任务型对话中的NLU之领域分类和意图识别。今天我们一起来聊聊任务型对话中的NLU之槽填充。 自然语言理解(NLU)就是要获得一个计算机能直接使用的语义表示,比如Distributional semantics、Frame semantics、Model-theoretic semantics等,本文采用的是frame semantics。NLU在很多NLP领域或任务都有涉及,比如问答、信息检索、阅读理解、对话系统以及很多需要NLG的任务(一般需要先理解才能生成)等。不同任务下的NLU也不一样,今天我们简单来聊聊对话系统中的NLU。


1. 简介 

对话系统按功能来划分的话,分为闲聊型、任务型、知识问答型和推荐型。在不同类型的聊天系统中,NLU也不尽相同。


 1.1. 闲聊型对话中的NLU就是根据上下文进行意图识别、情感分析等, 并作为对话管理(DM)的输入; 


1.2.任务型对话中的NLU就是领域分类和意图识别、槽填充。他的输入是用户的输入Utterance,输出是Un=(In, Zn), In是intention,Zn是槽植对。如果不太明白,可以看看我之前发的文章“任务型对话系统公式建模&&实例说明”。

槽填充实例,一般是序列标注问题


1.3.知识问答型对话中的NLU主要是根据用户的问题,进行问句类型识别与问题分类,以便于更精准的进行信息检索或文本匹配而生成用户需要的知识(知识、实体、片段等)。


 1.4.推荐型对话系统中的NLU就是根据用户各种行为数据和爱好进行兴趣匹配,以便于找到更精准的推荐候选集。 


2. 槽填充

先来看看我汇总的任务型对话系统中的NLU之槽填充。

槽填充技术汇总

下面分别介绍下对话系统中不同槽填充技术。 


2.1. CRF (Wang and Acero,Interspeech 2006)(Raymond and Riccardi,Interspeech 2007

上面也说了,槽填充一般是序列标注问题,因此在序列标注任务中广泛应用的CRF和RNN以及各种变种很自然的就可以用于槽填充。事实也确实如此,槽填充的最早研究也确实用了很多CRF。CRF已经烂大街了,不再赘述。

第一篇实验结果

第一篇实验结果

第一篇实验结果

第二篇条件概率的定义

第二篇实验结果


2.2. CRF+CNN (Puyang Xu and Ruhi Sarikaya 2013)

这篇工作在ATIS数据集把意图识别跟槽填充联合起来做的,主要方法是CNN+ triangular CRF,意图识别的准确率为94.09%、槽填充的F1为95.42%,可以看出比起前面基于CRF的模型效果好不少。 triangular-CRF与CRF的主要区别是输入前先用前向网络得到每个标签的类别。


下面分别介绍下意图识别和槽填充如何实现。

意图识别:

先得到隐藏层的特征h,再使用max pooling来获取整句的表示,最后用softmax做意图分类。

槽填充:

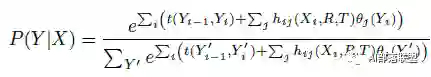
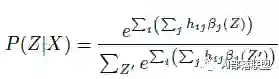
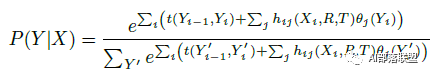
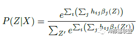
输入词向量到卷积层得到特征表示h,再用triangular-CRF打分。具体打分公式如下:

其中,t(Yi-1,Yi)为转移打分,hij为CNN得到的特征,每时刻的特征经过前向网络得到每个标签的概率,然后结合起来作为最终得分。

该工作的模型图


2.3. RNN(n-grams)(Yao et al. 2013)(Mesnil et al, 2015

这类基于RNN的模型使用了n-grams,也是在ATIS数据集做的实验

方法一

方法一

方法二


2.4. RNN(encoder-decoder) (Kurata et al., EMNLP 2016) (Simonnet et al.,NIPS 2015) 

这类基于RNN的模型使用了encoder-decoder,第二篇还加入了Attention,Attention是根据ht 和st 用feed- forward 网络来计算的。也是在ATIS数据集做的实验。

方法一例子

方法一模型

方法二模型


另外,基于Attention的RNN还有interspeech 2016的一篇工作(Liu and  Lane 2016),本文也是把意图识别和槽填充结合起来做,主要提供两种思路和模型,下面具体说下。


思路一:

采用encoder-decoder,encoder的最后输出+文本向量做意图分类。下面说下a、b、c三图的区别:图a隐层为非对齐attention的模型,decoder隐层为非对齐的方式;图b为隐层为对齐无attention的模型;图c隐层为对齐attention的模型。


思路二:

decoder的隐层输出加权得到最后的意图分类,BiRNN得到特征并与文本向量拼接后作为单层decoder的输入,然后识别槽位。


2.5. LSTM(Yao et al. 2014) GRU(Zhang and Wang 2016

这部分的两类方法主要是RNN的两大最有名的变种LSTM和GRU。也是在ATIS数据集做的实验。

方法一


方法二也基于Attention,是2016年IJCAI的一篇paper,把意图识别和槽填充结合起来做的。输入词向量,使用双向GRU学习特征。基于学习的隐层特征,使用max pooling得到全句的表示,再用softmax进行意图分类;对隐层输入用前向网络得到每个标签的概率,再用CRF进行全局打分得到最优序列标注结果,根据序列标注结果完成槽填充。需要说明的一点是:联合损失函数为槽与意图的极大似然。也是在ATIS数据集做的实验。

模型结构图

与之前模型的对比

Joint后效果更好


2.6. Multi-task Learning

这类方法是跨领域的多任务同时学习,主要思想是在数据较多的领域或任务训练模型,然后迁移到数据较少的领域或任务,以便于提升其效果。这类方法底层网络跨领域或任务都是共享的,高层网络因为任务或领域不同而不同。代表性的工作包括:

Zhai et al., AAAI 2017

这个工作主要是把 Segmentation 和 槽填充联合起来做的,对segments进行双向LSTM编码,再用LSTM解码并得到序列标注结果,最后就实现了槽填充。


Hakkani-Tur et al., Interspeech 2016

这篇工作是把 Semantic Frame Parsing 与 意图分类、槽填充 联合起来做。另外说句题外话,这篇文章的作者们都是任务型对话领域的一流学者。需要注意的是,意图分类和槽填充在一个序列完成,跟下一种方法不一样。


Liu and Lane, Interspeech 2016

这篇工作是基于Attention的RNN,把意图识别与槽填充结合起来做,其实在上面RNN(encoder-decoder)的方法中已经介绍过这个方法。为了跟上一种方法对比,需要注意的是,意图分类和槽填充不在同一个序列完成,decoder的隐层输出加权得到最后的意图分类,BiRNN得到特征并与文本向量拼接后作为单层decoder的输入,然后识别槽位。


2.7. Domain Adaptation Adaptation Adaptation (Jaech et al., Interspeech 2016 )

这个方法是迁移学习中的领域适配。领域适配解决这类任务的主要思路是:利用源领域与目标领域分布之间的KL散度对目标领域模型进行Regularize。


2.8. Parameter transferYazdani and Henderson 2015 ) 

这个方法是迁移学习中的参数转移。参数转移解决这类任务的主要思路是:使用词嵌入向量和相似标签分类器之间的参数共享,因此相似的分类器具有相似的超平面。

另外需要指出的是,这个方法还使用了Zero-Shot Learning(举例说明的话:假如训练数据没有斑马,但是要识别斑马,那么可以用马的外形+老虎的条纹+熊猫的黑白色来组合训练)。


2.9 Instance based transfer (Tur 2006) 

这个方法是迁移学习中的基于Instance的转移。在领域之间自动映射相似的类别,并跨领域传递相似的实例。方法比较久远,不再赘述。


2.10 RecNN+Viterbi (Guo et al., 2014

这个方法也是基于ATIS数据集做的。输入为词向量,每个词性看作权重向量 ,每个词在其路径的运算为词向量与词性权重向量的点积运算。基于根节点的输出向量做意图分类;采用基于Viterbi进行全局优化,采用基于tri-gram语言模型极大化标注序列进行槽填充。


3.本文涉及到的论文 以上是我关于对话NLU中槽填充的一些总结。下面贴出了一些代表性的paper,大家可以深入学习。另外,如果看完论文还是不太懂的欢迎微信找我讨论。


CRF (Wang and Acero 2006; Raymond and Riccardi 2007):

Discriminative Models for Spoken Language Understanding; Wang and Acero , Interspeech, 2006

Generative and discriminative algorithms for spoken language understanding; Raymond and Riccardi, Interspeech, 2007


Puyang Xu and Ruhi Sarikaya. Convolutional neural network based triangular crf for joint intent detection and slot filling. IEEE, 2013.


RNN (Yao et al. 2013; Mesnil et al. 2013, 2015; Liu and Lane 2015);

Recurrent neural networks for language understanding, interspeech 2013

Using recurrent neural networks for slot filling in spoken language understandingMesnil et al, 2015

Grégoire Mesnil, Yann Dauphin, Kaisheng Yao, Yoshua Bengio, Li Deng, Dilek Hakkani-Tur, Xiaodong He, Larry Heck, Gokhan Tur, Dong Yu and Geoffrey Zweig - Using Recurrent Neural Networks for Slot Filling in Spoken Language Understanding, IEEE

Investigation of recurrent-neural-network architectures and learning methods for spoken language understanding.;Mesnil et al, Interspeech, 2013

Recurrent Neural Network Structured Output Prediction for Spoken Language Understanding, B Liu, I Lane, NIPS, 2015



LSTM (Yao et al. 2014)

Spoken language understanding using long short-term memory neural networks


Bi-LSTMs and Input sliding window of n-grams

Recurrent neural networks for language understanding, interspeech 2013

Using recurrent neural networks for slot filling in spoken language understandingMesnil et al, 2015

Grégoire Mesnil, Yann Dauphin, Kaisheng Yao, Yoshua Bengio, Li Deng, Dilek Hakkani-Tur, Xiaodong He, Larry Heck, Gokhan Tur, Dong Yu and Geoffrey Zweig - Using Recurrent Neural Networks for Slot Filling in Spoken Language Understanding, IEEE


Encoder-decoder networks

Leveraging Sentence-level Information with Encoder LSTM for Semantic Slot Filling, Kurata et al., EMNLP 2016


Attention-based encoder-decoder

Exploring the use of attention-based recurrent neural networks for spoken language understanding, Simonnet et al., 2015

2015. Exploring the use of attention-based recurrent neural networks for spoken language understanding. In Proc. NIPS


Multi-task learning

Domain Adaptation of Recurrent Neural Networks for Natural Language Understanding ,Jaech et al., Interspeech 2016


Joint Segmentation and Slot Tagging

Neural Models for Sequence ChunkingZhai et al., AAAI 2017


Joint Semantic Frame Parsing

Slot filling and intent prediction in the same output sequence

Multi-Domain Joint Semantic Frame Parsing using Bi-directional RNN-LSTM ,Hakkani-Tur et al., Interspeech 2016


Intent prediction and slot filling are performed in two branches

Attention-Based Recurrent Neural Network Models for Joint Intent Detection and Slot Filling, Liu and Lane, Interspeech 2016


Transfer Learning

Gokhan Tur. Multitask learning for spoken language understanding. In 2006IEEE

Gökhan Tür. Model adaptation for spoken language understanding, 2005.

A Model of Zero-Shot Learning of Spoken Language Understanding


【AI求职百题斩】已经悄咪咪上线啦,你还不赶紧来答题?!

点击 阅读原文 查看本文更多内容

登录查看更多
1

相关内容

【天津大学】风格线条画生成技术综述
专知会员服务
35+阅读 · 2020年4月26日
【阿里技术干货】知识结构化在阿里小蜜中的应用
专知会员服务
98+阅读 · 2019年12月14日
零样本图像分类综述 : 十年进展
专知会员服务
128+阅读 · 2019年11月16日
[综述]基于深度学习的开放领域对话系统研究综述
专知会员服务
80+阅读 · 2019年10月12日
基于RASA的task-orient对话系统解析(一)
AINLP
16+阅读 · 2019年8月27日
Rasa介绍:对话系统、产品与技术
AINLP
7+阅读 · 2019年8月20日
NLP实践:对话系统技术原理和应用
AI100
34+阅读 · 2019年3月20日
博客 | 总结 | 对话系统中的口语理解(SLU)(一)
多轮对话之对话管理:Dialog Management
PaperWeekly
18+阅读 · 2018年1月15日
Arxiv
14+阅读 · 2020年1月27日
Arxiv
3+阅读 · 2018年12月18日
Arxiv
7+阅读 · 2018年11月1日
VIP会员
Top
微信扫码咨询专知VIP会员