机器学习之确定最佳聚类数目的10种方法

2017 年 10 月 12 日 炼数成金订阅号 贝尔塔

在聚类分析的时候确定较佳聚类数目是一个很重要的问题,比如kmeans函数就要你提供聚类数目这个参数,总不能两眼一抹黑乱填一个吧。之前也被这个问题困扰过,看了很多博客,大多泛泛带过。今天把看到的这么多方法进行汇总以及代码实现并尽量弄清每个方法的原理。

数据集选用比较出名的wine数据集进行分析


library(gclus)

data(wine)

head(wine)

Loading required package: cluster


因为我们要找一个数据集进行聚类分析,所以不需要第一列的种类标签信息,因此去掉第一列。

同时注意到每一列的值差别很大,从1到100多都有,这样会造成误差,所以需要归一化,用scale函数


dataset <- wine[,-1] #去除分类标签

dataset <- scale(dataset)

去掉标签之后就可以开始对数据集进行聚类分析了,下面就一一介绍各种确定较佳聚类数目的方法


判定方法


1.mclust包

mclust包是聚类分析非常强大的一个包,也是上课时老师给我们介绍的一个包,每次导入时有一种科技感 :) 帮助文档非常详尽,可以进行聚类、分类、密度分析

Mclust包方法有点“暴力”,聚类数目自定义,比如我选取的从1到20,然后一共14种模型,每一种模型都计算聚类数目从1到20的BIC值,最终确定较佳聚类数目,这种方法的思想很直接了当,但是弊端也就显然易见了——时间复杂度太高,效率低。


library(mclust)

m_clust <- Mclust(as.matrix(dataset), G=1:20) #聚类数目从1一直试到20

summary(m_clust)

Gaussian finite mixture model fitted by EM algorithm 


Mclust EVE (ellipsoidal, equal volume and orientation) model with 3 components:


log.likelihood   n  df       BIC       ICL

      -3032.45 178 156 -6873.257 -6873.549


Clustering table:

1  2  3

63 51 64

可见该函数已经把数据集聚类为3种类型了。数目分别为63、51、64。再画出14个指标随着聚类数目变化的走势图


plot(m_clust, "BIC")


下表是这些模型的意义



它们应该分别代表着相关性(完全正负相关——对角线、稍强正负相关——椭圆、无关——圆)等参数的改变对应的模型,研究清楚这些又是非常复杂的问题了,先按下表,知道BIC值越大则说明所选取的变量集合拟合效果越好。上图中除了两个模型一直递增,其他的12模型数基本上都是在聚类数目为3的时候达到峰值,所以该算法由此得出较佳聚类数目为3的结论。

mclust包还可以用于分类、密度估计等,这个包值得好好把玩。


注意:此BIC并不是贝叶斯信息准则!!!


最近上课老师讲金融模型时提到了BIC值,说BIC值越小模型效果越好,顿时想起这里是在图中BIC极大值为较佳聚类数目,然后和老师探讨了这个问题,之前这里误导大家了,Mclust包里面的BIC并不是贝叶斯信息准则。


1.维基上的贝叶斯信息准则定义



与log(likelihood)成反比,极大似然估计是值越大越好,那么BIC值确实是越小模型效果越好


2.Mclust包中的BIC定义[3]



这是Mclust包里面作者定义的“BIC值”,此BIC非彼BIC,这里是作者自己定义的BIC,可以看到,这里的BIC与极大似然估计是成正比的,所以这里是BIC值越大越好,与贝叶斯信息准则值越小模型越好的结论并不冲突


2.Nbclust包

Nbclust包是我在《R语言实战》上看到的一个包,思想和mclust包比较相近,也是定义了几十个评估指标,然后聚类数目从2遍历到15(自己设定),然后通过这些指标看分别在聚类数为多少时达到最优,最后选择指标支持数最多的聚类数目就是较佳聚类数目。


library(NbClust)

set.seed(1234) #因为method选择的是kmeans,所以如果不设定种子,每次跑得结果可能不同

nb_clust <- NbClust(dataset,  distance = "euclidean",

       min.nc=2, max.nc=15, method = "kmeans",

       index = "alllong", alphaBeale = 0.1)

*** : The Hubert index is a graphical method of determining the number of clusters.

               In the plot of Hubert index, we seek a significant knee that corresponds to a

               significant increase of the value of the measure i.e the significant peak in Hubert

               index second differences plot.

*** : The D index is a graphical method of determining the number of clusters.

               In the plot of D index, we seek a significant knee (the significant peak in Dindex

               second differences plot) that corresponds to a significant increase of the value of

               the measure.


*******************************************************************

* Among all indices:                                                

* 5 proposed 2 as the best number of clusters

* 16 proposed 3 as the best number of clusters

* 1 proposed 10 as the best number of clusters

* 1 proposed 12 as the best number of clusters

* 1 proposed 14 as the best number of clusters

* 3 proposed 15 as the best number of clusters


                  ***** Conclusion *****                            


* According to the majority rule, the best number of clusters is  3


*******************************************************************

barplot(table(nb_clust$Best.nc[1,]),xlab = "聚类数",ylab = "支持指标数")

可以看到有16个指标支持较佳聚类数目为3,5个指标支持聚类数为2,所以该方法推荐的较佳聚类数目为3.


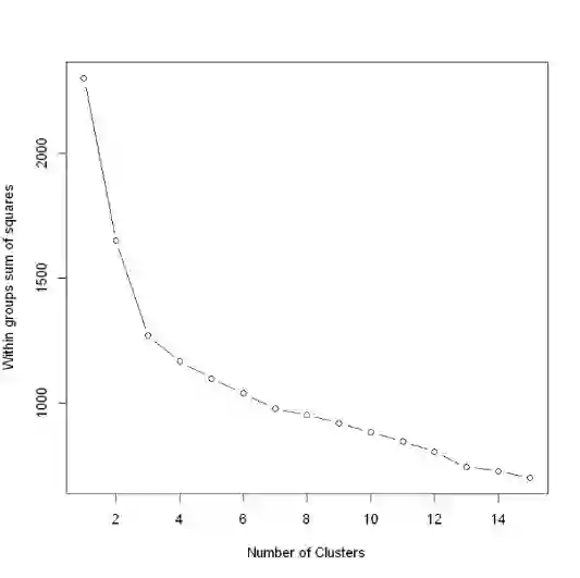
3. 组内平方误差和——拐点图

想必之前动辄几十个指标,这里就用一个最简单的指标——sum of squared error (SSE)组内平方误差和来确定较佳聚类数目。这个方法也是出于《R语言实战》,自定义的一个求组内误差平方和的函数。


wssplot <- function(data, nc=15, seed=1234){

   wss <- (nrow(data)-1)*sum(apply(data,2,var))

   for (i in 2:nc){

       set.seed(seed)

       wss[i] <- sum(kmeans(data, centers=i)$withinss)

       }

   plot(1:nc, wss, type="b", xlab="Number of Clusters",

       ylab="Within groups sum of squares")}

wssplot(dataset)

随着聚类数目增多,每一个类别中数量越来越少,距离越来越近,因此WSS值肯定是随着聚类数目增多而减少的,所以关注的是斜率的变化,但WWS减少得很缓慢时,就认为进一步增大聚类数效果也并不能增强,存在得这个“肘点”就是较佳聚类数目,从一类到三类下降得很快,之后下降得很慢,所以较佳聚类个数选为三


另外也有现成的包(factoextra)可以调用

library(factoextra)

library(ggplot2)

set.seed(1234)

fviz_nbclust(dataset, kmeans, method = "wss") +

   geom_vline(xintercept = 3, linetype = 2)

Loading required package: ggplot2

选定为3类为较佳聚类数目

用该包下的fviz_cluster函数可视化一下聚类结果


km.res <- kmeans(dataset,3)

fviz_cluster(km.res, data = dataset)

4. PAM(Partitioning Around Medoids) 围绕中心点的分割算法

k-means算法取得是均值,那么对于异常点其实对其的影响非常大,很可能这种孤立的点就聚为一类,一个改进的方法就是PAM算法,也叫k-medoids clustering

首先通过fpc包中的pamk函数得到较佳聚类数目


library(fpc)

pamk.best <- pamk(dataset)

pamk.best$nc

3


pamk函数不需要提供聚类数目,也会直接自动计算出较佳聚类数,这里也得到为3

得到聚类数提供给cluster包下的pam函数并进行可视化


library(cluster)

clusplot(pam(dataset, pamk.best$nc))

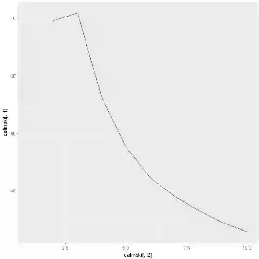
5.Calinsky criterion

这个评估标准定义[5]如下:

其中,k是聚类数,N是样本数,SSw是我们之前提到过的组内平方和误差, SSb是组与组之间的平方和误差,SSw越小,SSb越大聚类效果越好,所以Calinsky criterion值一般来说是越大,聚类效果越好


library(vegan)

ca_clust <- cascadeKM(dataset, 1, 10, iter = 1000)

ca_clust$results

可以看到该函数把组内平方和误差和Calinsky都计算出来了,可以看到calinski在聚类数为3时达到较大值。


calinski.best <- as.numeric(which.max(ca_clust$results[2,]))

calinski.best

3


画图出来观察一下


plot(fit, sortg = TRUE, grpmts.plot = TRUE)


注意到那个红点就是对应的较大值,自带的绘图横轴纵轴取的可能不符合我们的直觉,把数据取出来自己单独画一下


calinski<-as.data.frame(ca_clust$results[2,])

calinski$cluster <- c(1:10)

library(ggplot2)

ggplot(calinski,aes(x = calinski[,2], y = calinski[,1]))+geom_line()

Warning message:

"Removed 1 rows containing missing values (geom_path)."


这个看上去直观多了。这就很清晰的可以看到在聚类数目为3时,calinski指标达到了较大值,所以较佳数目为3


6.Affinity propagation (AP) clustering

这个本质上是类似kmeans或者层次聚类一样,是一种聚类方法,因为不需要像kmeans一样提供聚类数,会自动算出较佳聚类数,因此也放到这里作为一种计算较佳聚类数目的方法。

AP算法的基本思想是将全部样本看作网络的节点,然后通过网络中各条边的消息传递计算出各样本的聚类中心。聚类过程中,共有两种消息在各节点间传递,分别是吸引度( responsibility)和归属度(availability) 。AP算法通过迭代过程不断更新每一个点的吸引度和归属度值,直到产生m个高质量的Exemplar(类似于质心),同时将其余的数据点分配到相应的聚类中[7]


library(apcluster)

ap_clust <- apcluster(negDistMat(r=2), dataset)

length(ap_clust@clusters)

15


该聚类方法推荐的较佳聚类数目为15,再用热力图可视化一下


heatmap(ap_clust)


选x或者y方向看(对称),可以数出来“叶子节点”一共15个


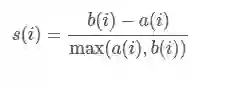
7. 轮廓系数Average silhouette method

轮廓系数是类的密集与分散程度的评价指标。



a(i)是测量组内的相似度,b(i)是测量组间的相似度,s(i)范围从-1到1,值越大说明组内吻合越高,组间距离越远——也就是说,轮廓系数值越大,聚类效果越好[9]


require(cluster)

library(factoextra)

fviz_nbclust(dataset, kmeans, method = "silhouette")


可以看到也是在聚类数为3时轮廓系数达到了峰值,所以较佳聚类数为3


8. Gap Statistic

之前我们提到了WSSE组内平方和误差,该种方法是通过找“肘点”来找到较佳聚类数,肘点的选择并不是那么清晰,因此斯坦福大学的Robert等教授提出了Gap Statistic方法,定义的Gap值为[9]


取对数的原因是因为Wk的值可能很大

通过这个式子来找出Wk跌落最快的点,Gap较大值对应的k值就是较佳聚类数


library(cluster)

set.seed(123)

gap_clust <- clusGap(dataset, kmeans, 10, B = 500, verbose = interactive())

gap_clust

Clustering Gap statistic ["clusGap"] from call:

clusGap(x = dataset, FUNcluster = kmeans, K.max = 10, B = 500,     verbose = interactive())

B=500 simulated reference sets, k = 1..10; spaceH0="scaledPCA"

--> Number of clusters (method 'firstSEmax', SE.factor=1): 3

         logW   E.logW       gap     SE.sim

[1,] 5.377557 5.863690 0.4861333 0.01273873

[2,] 5.203502 5.758276 0.5547745 0.01420766

[3,] 5.066921 5.697322 0.6304006 0.01278909

[4,] 5.023936 5.651618 0.6276814 0.01243239

[5,] 4.993720 5.615174 0.6214536 0.01251765

[6,] 4.962933 5.584564 0.6216311 0.01165595

[7,] 4.943241 5.556310 0.6130690 0.01181831

[8,] 4.915582 5.531834 0.6162518 0.01139207

[9,] 4.881449 5.508514 0.6270646 0.01169532

[10,] 4.855837 5.487005 0.6311683 0.01198264

library(factoextra)

fviz_gap_stat(gap_clust)

可以看到也是在聚类数为3的时候gap值取到了较大值,所以较佳聚类数为3


9.层次聚类

层次聚类是通过可视化然后人为去判断大致聚为几类,很明显在共同父节点的一颗子树可以被聚类为一个类


h_dist <- dist(as.matrix(dataset))

h_clust<-hclust(h_dist)

plot(h_clust, hang = -1, labels = FALSE)

rect.hclust(h_clust,3)

10.clustergram

最后一种算法是Tal Galili[10]大牛自己定义的一种聚类可视化的展示,绘制随着聚类数目的增加,所有成员是如何分配到各个类别的。该代码没有被制作成R包,可以去Galili介绍页面)里面的github地址找到源代码跑一遍然后就可以用这个函数了,因为源代码有点长我就不放博客里面了,直接放出运行代码的截图。


clustergram(dataset, k.range = 2:8, line.width = 0.004)

Loading required package: colorspace

Loading required package: plyr

随着K的增加,从最开始的两类到最后的八类,图肯定是越到后面越密集。通过这个图判断较佳聚类数目的方法应该是看随着K每增加1,分出来的线越少说明在该k值下越稳定。比如k=7到k=8,假设k=7是很好的聚类数,那分成8类时应该可能只是某一类分成了两类,其他6类都每怎么变。反应到图中应该是有6簇平行线,有一簇分成了两股,而现在可以看到从7到8,线完全乱了,说明k=7时效果并不好。按照这个分析,k=3到k=4时,第一股和第三股几本没变,就第二股拆成了2类,所以k=3是较佳聚类数目


方法汇总与比较

wine数据集我们知道其实是分为3类的,以上10种判定方法中:


层次聚类和clustergram方法、肘点图法,需要人工判定,虽然可以得出大致的较佳聚类数,但算法本身不会给出较佳聚类数


除了Affinity propagation (AP) clustering 给出较佳聚类数为15,剩下6种全都是给出较佳聚类数为3


选用上次文本挖掘的矩阵进行分析(667*1623)


mclust效果很差,14种模型只有6种有结果


bclust报错


SSE可以运行


fpc包中的pamk函数聚成2类,明显不行


Calinsky criterion聚成2类


Affinity propagation (AP) clustering 聚成28类,相对靠谱


轮廓系数Average silhouette聚类2类


gap-Statistic跑不出结果

可见上述方法中有的因为数据太大不能运行,有的结果很明显不对,一个可能是数据集的本身的原因(缺失值太多等),但是也告诉了我们在确定较佳聚类数目的时候需要多尝试几种方法,并没有固定的套路,然后选择一种可信度较高的聚类数目。

最后再把这10种方法总结一下:



参考文献

[1]R语言实战第二版

[2]Partitioning cluster analysis: Quick start guide - Unsupervised Machine Learning

[3]BIC:http://www.stat.washington.edu/raftery/Research/PDF/fraley1998.pdf

[4]Cluster analysis in R: determine the optimal number of clusters

[5]Calinski-Harabasz Criterion:Calinski-Harabasz criterion clustering evaluation object

[6]Determining the optimal number of clusters: 3 must known methods - Unsupervised Machine Learning

[7] affinity-propagation:聚类算法Affinity Propagation(AP)

[8]轮廓系数https://en.wikipedia.org/wiki/Silhouette(clustering))

[9]gap statistic-Tibshirani R, Walther G, Hastie T. Estimating the number of clusters in a data set via the gap statistic[J]. Journal of the Royal Statistical Society: Series B (Statistical Methodology), 2001, 63(2): 411-423.

[10]ClustergramsClustergram: visualization and diagnostics for cluster analysis (R code)


文章来源:知乎专栏

《机器学习》炼数成金经典课程,机器学习可以使我们可以从现实世界的海量数据里提炼出有价值的知识,规则和模式。对于数据分析基础的朋友,可以提高其处理大数据的能力。对于IT基础的朋友,可以通过课程了解机器学习算法的原理与应用,进军大数据分析领域。点击下方二维码报名课程




登录查看更多
13

相关内容

聚类分析(Clustering)是无监督学习的一种,目的是将一组数据点分类,但没有训练数据集,区别于有监督的分类分析(Classification)。
【经典书】机器学习高斯过程,266页pdf
专知会员服务
200+阅读 · 2020年5月2日
【天津大学】知识图谱划分算法研究综述
专知会员服务
111+阅读 · 2020年4月27日
专知会员服务
55+阅读 · 2020年3月16日
【新书】Pro 机器学习算法Python实现,379页pdf
专知会员服务
204+阅读 · 2020年2月11日
NLP基础任务:文本分类近年发展汇总,68页超详细解析
专知会员服务
58+阅读 · 2020年1月3日
【新书】Python中的经典计算机科学问题,224页pdf
专知会员服务
149+阅读 · 2019年12月28日
机器学习计算距离和相似度的方法
极市平台
10+阅读 · 2019年9月20日
特征工程方法:一、类别变量编码
论智
5+阅读 · 2018年11月20日
数据分析师应该知道的16种回归方法:负二项回归
数萃大数据
74+阅读 · 2018年9月16日
Python中机器学习的特征选择工具
云栖社区
8+阅读 · 2018年7月16日
机器学习的5种距离度量方法
七月在线实验室
9+阅读 · 2018年5月18日
R语言之数据分析高级方法「时间序列」
R语言中文社区
17+阅读 · 2018年4月24日
Xgboost算法——Kaggle案例
R语言中文社区
13+阅读 · 2018年3月13日
开发 | 机器学习之确定最佳聚类数目的10种方法
AI科技评论
3+阅读 · 2017年10月11日
机器学习(16)之支持向量机原理(二)软间隔最大化
机器学习算法与Python学习
6+阅读 · 2017年9月8日
Meta-Learning to Cluster
Arxiv
18+阅读 · 2019年10月30日
Arxiv
18+阅读 · 2019年1月16日
Arxiv
5+阅读 · 2018年10月11日
Deep Learning for Generic Object Detection: A Survey
Arxiv
14+阅读 · 2018年9月6日
Meta-Learning with Latent Embedding Optimization
Arxiv
6+阅读 · 2018年7月16日
VIP会员
相关VIP内容
【经典书】机器学习高斯过程,266页pdf
专知会员服务
200+阅读 · 2020年5月2日
【天津大学】知识图谱划分算法研究综述
专知会员服务
111+阅读 · 2020年4月27日
专知会员服务
55+阅读 · 2020年3月16日
【新书】Pro 机器学习算法Python实现,379页pdf
专知会员服务
204+阅读 · 2020年2月11日
NLP基础任务:文本分类近年发展汇总,68页超详细解析
专知会员服务
58+阅读 · 2020年1月3日
【新书】Python中的经典计算机科学问题,224页pdf
专知会员服务
149+阅读 · 2019年12月28日
相关资讯
机器学习计算距离和相似度的方法
极市平台
10+阅读 · 2019年9月20日
特征工程方法:一、类别变量编码
论智
5+阅读 · 2018年11月20日
数据分析师应该知道的16种回归方法:负二项回归
数萃大数据
74+阅读 · 2018年9月16日
Python中机器学习的特征选择工具
云栖社区
8+阅读 · 2018年7月16日
机器学习的5种距离度量方法
七月在线实验室
9+阅读 · 2018年5月18日
R语言之数据分析高级方法「时间序列」
R语言中文社区
17+阅读 · 2018年4月24日
Xgboost算法——Kaggle案例
R语言中文社区
13+阅读 · 2018年3月13日
开发 | 机器学习之确定最佳聚类数目的10种方法
AI科技评论
3+阅读 · 2017年10月11日
机器学习(16)之支持向量机原理(二)软间隔最大化
机器学习算法与Python学习
6+阅读 · 2017年9月8日
相关论文
Top
微信扫码咨询专知VIP会员