“优化都不懂,你还想做机器学习?”

2019 年 6 月 17 日 七月在线实验室

机器学习的基础是什么?是“数学”,而“优化”就是数学中的核心知识之一。

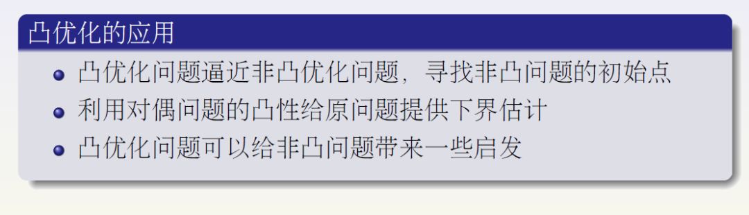
而且在机器学习遇到的复杂优化问题(非凸,不熟悉的),最高效的方法就是利用凸优化的思路去解决。

小七这次把《机器学习中的数学 第二期》,中关于优化的部分PPT送给大家。

其中优化问题简介、凸集合与凸函数、优化和凸优化是属于非常基础的部分,后续两大板块有一定难度。


目录:

一、优化问题简介

二、凸集合与凸函数 

知识点:

  1. 凸集合与凸函数的关系

  2. 琴生不等式的几何解释 

三、优化与凸优化 

知识点:

  1. 凸优化问题

  2. 对偶问题

  3. 对偶性

  4. KKT条件

  5. 拉格朗日乘数法

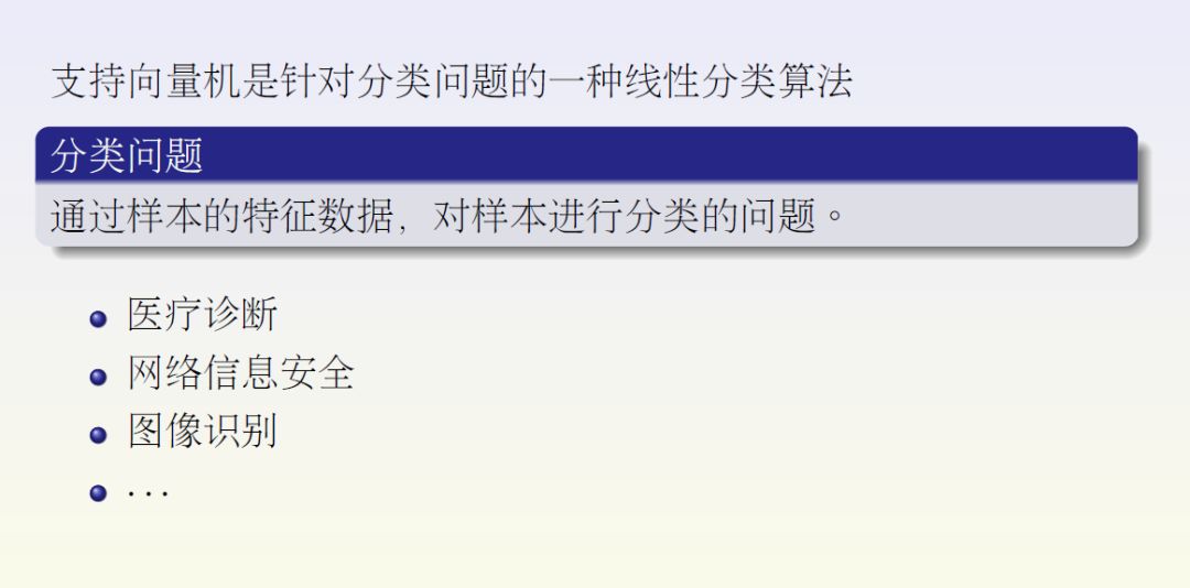
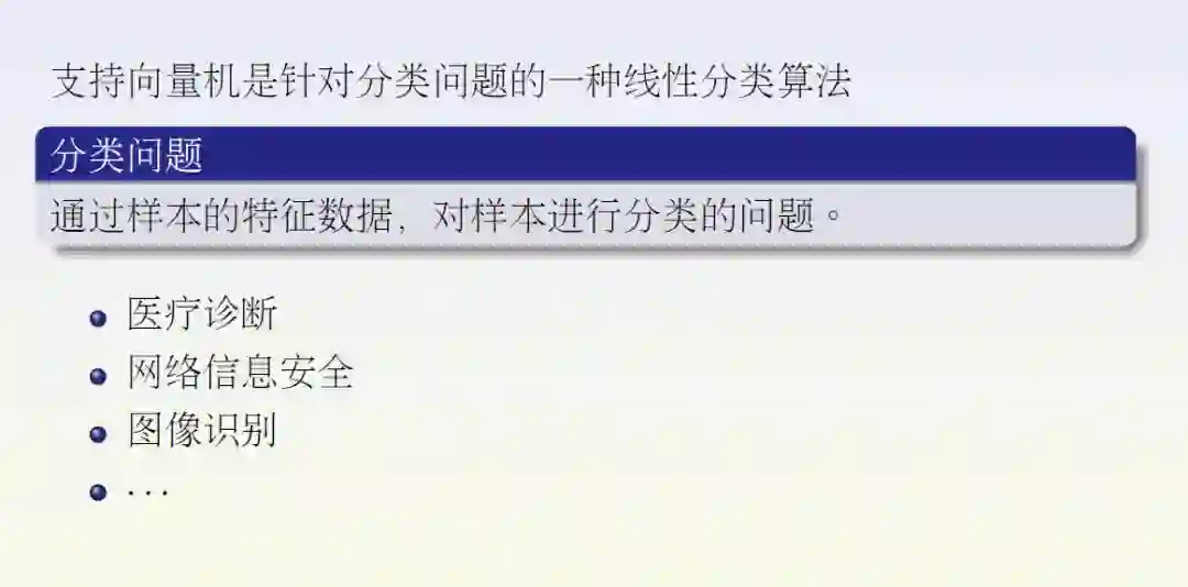
四、支持向量机(SVM)简介

知识点:

  1. 线性分类器

  2. 对偶方法推导SVM

  3. 几何方法推导SVM

五、压缩感知简介

知识点:

  1. 信号还原问题

  2. 压缩感知

  3. 求解压缩感知的优化方法

  4. Lasso方法与优化的稳定性


优化问题简介



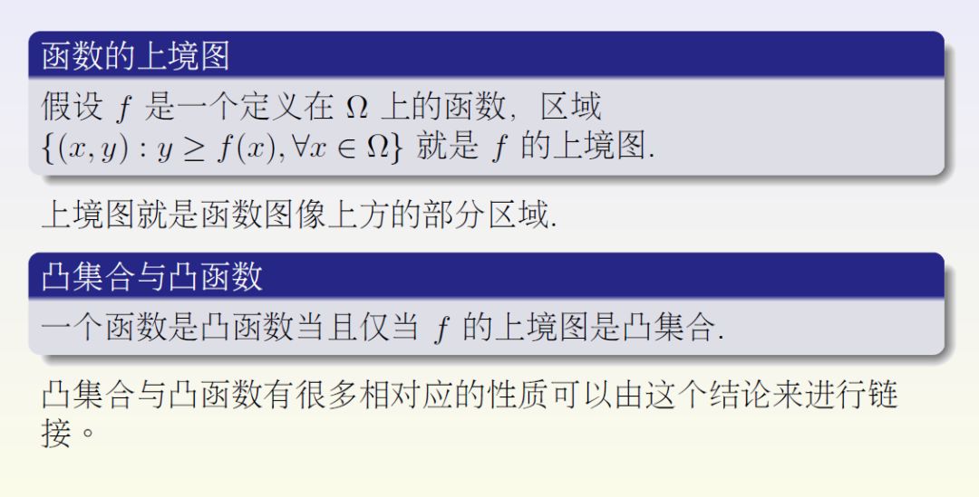
凸集合与凸函数



局部极值与全局极值:

凸函数的重要性质:局部极值一定是全局极值

(下图左侧为凸函数,右侧为非凸函数)


凸优化


当原问题只有等式约束而没有不等式约束时,KKT条件即为拉格朗日乘数法。


阶段总结


  1. 优化问题在机器学习的模型训练中有重要应用。

  2. 凸函数代数性质与凸集合的几何性质;琴生不等式的几何解释。

  3. 凸优化是一类相对简单的优化问题;凸函数的局部最小值就是全局最小值。

  4. 对偶方法的主要目的是处理原问题中的复杂边界条件;对偶问题永远是凸问题; 弱对偶性永远成立,可以为原问题提供下界。

  5. KKT条件可以用来求解一些优化问题;拉格朗日乘数法是KKT条件的一种特殊形式。


支持向量机简介



压缩感知介绍


向量的范数:

对于一个向量:𝑥=𝑥1,⋯,𝑥𝑛,通常定义:

Lasso 方法与优化的稳定性:

左图:𝑥1+𝑥2的等高线有尖点,此处最优解中𝑤1=0。

右图:𝑥12+𝑥22的等高线是圆,此处最优解中𝑤1,𝑤2≠0,不具备稀疏性。


当线性条件(图中红色直线)由于噪音,产生微小变动时:

左图:最优解中𝑤1=0,较稳定。

右图:最优解中𝑤1,𝑤2同时改变,较为不稳定。


代码示例


SVM 分类器:

https://scikit-learn.org/stable/modules/svm.html

压缩感知:

https://scikit-learn.org/stable/auto_examples/applications/plot_tomography_l1_reconstruction.html


机器学习所需的数学基础,主要就是四大方面:微积分、线性代数、概率论、以及上文分享的优化。

大家如果对其他三方面感兴趣,目前《机器学习中的数学第二期》可以免费试听。快用PC端打开网页,开始学习吧

课程网址:

https://www.julyedu.com/course/getDetail/103&from=dl


 


大量学员拿到30-40万年薪

多位名校博士+BAT专家手把手教学


现在报名

送18VIP会员

[包2018全年在线课程全年GPU]


前80人可享特惠价

↓立刻扫码查看详情↓



数学差,连机器学习都做不了吗?(文末送课送电影票!)

面试想拿offer?你需要知道这2个必考项!


阅读原文查看课程一起进步!
你在看吗?
登录查看更多
3

相关内容

在数学中,定义在n维区间上的实值函数,如果函数的图上任意两点之间的线段位于图上,称为凸函数。同样地,如果函数图上或上面的点集是凸集,则函数是凸的。
【经典书】机器学习:贝叶斯和优化方法,1075页pdf
专知会员服务
414+阅读 · 2020年6月8日
【斯坦福】凸优化圣经- Convex Optimization (附730pdf下载)
专知会员服务
231+阅读 · 2020年6月5日
干货书《数据科学数学系基础》2020最新版,266页pdf
专知会员服务
323+阅读 · 2020年3月23日
机器学习速查手册,135页pdf
专知会员服务
345+阅读 · 2020年3月15日
谷歌机器学习速成课程中文版pdf
专知会员服务
147+阅读 · 2019年12月4日
【机器学习课程】Google机器学习速成课程
专知会员服务
170+阅读 · 2019年12月2日
博客 | 机器学习中的数学基础(凸优化)
AI研习社
14+阅读 · 2018年12月16日
BAT机器学习面试题1000题(331~335题)
七月在线实验室
12+阅读 · 2018年8月13日
已删除
将门创投
10+阅读 · 2018年5月2日
动手写机器学习算法:SVM支持向量机(附代码)
七月在线实验室
12+阅读 · 2017年12月5日
推荐|一份不错的机器学习笔记!
全球人工智能
22+阅读 · 2017年11月20日
BAT机器学习面试1000题系列(第51~55题)
七月在线实验室
10+阅读 · 2017年10月8日
机器学习(19)之支持向量回归机
机器学习算法与Python学习
12+阅读 · 2017年10月3日
机器学习(18)之支持向量机原理(三)线性不可分支持向量机与核函数
机器学习算法与Python学习
3+阅读 · 2017年9月23日
机器学习(16)之支持向量机原理(二)软间隔最大化
机器学习算法与Python学习
6+阅读 · 2017年9月8日
机器学习(15)之支持向量机原理(一)线性支持向量机
机器学习算法与Python学习
6+阅读 · 2017年9月1日
A Survey on Bayesian Deep Learning
Arxiv
64+阅读 · 2020年7月2日
Arxiv
18+阅读 · 2019年1月16日
Learning Implicit Fields for Generative Shape Modeling
Arxiv
11+阅读 · 2018年12月6日
Arxiv
7+阅读 · 2018年5月23日
Arxiv
4+阅读 · 2018年3月19日
VIP会员
相关VIP内容
【经典书】机器学习:贝叶斯和优化方法,1075页pdf
专知会员服务
414+阅读 · 2020年6月8日
【斯坦福】凸优化圣经- Convex Optimization (附730pdf下载)
专知会员服务
231+阅读 · 2020年6月5日
干货书《数据科学数学系基础》2020最新版,266页pdf
专知会员服务
323+阅读 · 2020年3月23日
机器学习速查手册,135页pdf
专知会员服务
345+阅读 · 2020年3月15日
谷歌机器学习速成课程中文版pdf
专知会员服务
147+阅读 · 2019年12月4日
【机器学习课程】Google机器学习速成课程
专知会员服务
170+阅读 · 2019年12月2日
相关资讯
博客 | 机器学习中的数学基础(凸优化)
AI研习社
14+阅读 · 2018年12月16日
BAT机器学习面试题1000题(331~335题)
七月在线实验室
12+阅读 · 2018年8月13日
已删除
将门创投
10+阅读 · 2018年5月2日
动手写机器学习算法:SVM支持向量机(附代码)
七月在线实验室
12+阅读 · 2017年12月5日
推荐|一份不错的机器学习笔记!
全球人工智能
22+阅读 · 2017年11月20日
BAT机器学习面试1000题系列(第51~55题)
七月在线实验室
10+阅读 · 2017年10月8日
机器学习(19)之支持向量回归机
机器学习算法与Python学习
12+阅读 · 2017年10月3日
机器学习(18)之支持向量机原理(三)线性不可分支持向量机与核函数
机器学习算法与Python学习
3+阅读 · 2017年9月23日
机器学习(16)之支持向量机原理(二)软间隔最大化
机器学习算法与Python学习
6+阅读 · 2017年9月8日
机器学习(15)之支持向量机原理(一)线性支持向量机
机器学习算法与Python学习
6+阅读 · 2017年9月1日
相关论文
A Survey on Bayesian Deep Learning
Arxiv
64+阅读 · 2020年7月2日
Arxiv
18+阅读 · 2019年1月16日
Learning Implicit Fields for Generative Shape Modeling
Arxiv
11+阅读 · 2018年12月6日
Arxiv
7+阅读 · 2018年5月23日
Arxiv
4+阅读 · 2018年3月19日
Top
微信扫码咨询专知VIP会员