L1和L2正则先验分别服从什么分布

2019 年 5 月 8 日 七月在线实验室


L1和L2正则先验分别服从什么分布

解析:

面试中遇到的,L1和L2正则先验分别服从什么分布,L1是拉普拉斯分布,L2是高斯分布。
引用自:@齐同学
先验就是优化的起跑线, 有先验的好处就是可以在较小的数据集中有良好的泛化性能,当然这是在先验分布是接近真实分布的情况下得到的了,从信息论的角度看,向系统加入了正确先验这个信息,肯定会提高系统的性能。
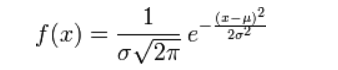
对参数引入高斯正态先验分布相当于L2正则化, 这个大家都熟悉:


对参数引入拉普拉斯先验等价于 L1正则化, 如下图

从上面两图可以看出, L2先验趋向零周围, L1先验趋向零本身。
引用自:@AntZ

END

相关课程+免费公开课推荐

火热报名中

原价:18000元

前180人特惠价:15599 

且两人及两人以上组团还能各减500元


报名加送18VIP

[包2018全年在线课程全年GPU]


咨询/报名/组团可添加微信客服

julyedukefu_02


扫码立刻查看详情

后台回复:“公开课”   免费领【近20门免费公开课


5招解决拖延症,告别深夜加班,效率提升10倍!


他用机器学习减肥20斤!程序员必看,你想不到的机器学习妙用

后台回复:“100”   免费领【机器学习面试100题

后台回复:“干货” 免费领【全体系人工智能学习资料

后台回复:“领资料” 免费领【NLP工程师必备干货资料

“阅读原文”你来决定未来的内容
你在看吗?
登录查看更多
11

相关内容

正态(或高斯或高斯或拉普拉斯-高斯)分布是实值随机变量的一种连续概率分布。高斯分布具有一些独特的属性,这些属性在分析研究中很有价值。 例如,法线偏差的固定集合的任何线性组合就是法线偏差。 当相关变量呈正态分布时,许多结果和方法(例如不确定性的传播和最小二乘参数拟合)都可以以显式形式进行分析得出。
【ICML2020-浙江大学】对抗性互信息的文本生成
专知会员服务
44+阅读 · 2020年7月4日
【CVPR2020-北京大学】自适应间隔损失的提升小样本学习
专知会员服务
85+阅读 · 2020年6月9日
【斯坦福】凸优化圣经- Convex Optimization (附730pdf下载)
专知会员服务
231+阅读 · 2020年6月5日
【CVPR2020】L2 ^GCN:图卷积网络的分层学习高效训练
专知会员服务
40+阅读 · 2020年3月31日
专知会员服务
20+阅读 · 2020年3月29日
自回归模型:PixelCNN
专知会员服务
27+阅读 · 2020年3月21日
一文读懂线性回归、岭回归和Lasso回归
CSDN
34+阅读 · 2019年10月13日
树形结构为什么不需要归一化?
七月在线实验室
8+阅读 · 2019年4月30日
今日面试题分享:L1和L2的区别
七月在线实验室
7+阅读 · 2019年3月14日
今日面试题分享:为什么xgboost要用泰勒展开,优势在哪里?
今日面试题分享:简单介绍下LR
七月在线实验室
7+阅读 · 2019年2月20日
BAT机器学习面试1000题(721~725题)
七月在线实验室
11+阅读 · 2018年12月18日
L2正则化视角下的对抗样本
论智
3+阅读 · 2018年7月8日
AI笔试面试题库-Python题目解析1
七月在线实验室
5+阅读 · 2018年6月27日
Adversarial Mutual Information for Text Generation
Arxiv
13+阅读 · 2020年6月30日
Arxiv
21+阅读 · 2019年8月21日
Arxiv
8+阅读 · 2018年5月1日
Arxiv
5+阅读 · 2017年11月30日
VIP会员
相关资讯
一文读懂线性回归、岭回归和Lasso回归
CSDN
34+阅读 · 2019年10月13日
树形结构为什么不需要归一化?
七月在线实验室
8+阅读 · 2019年4月30日
今日面试题分享:L1和L2的区别
七月在线实验室
7+阅读 · 2019年3月14日
今日面试题分享:为什么xgboost要用泰勒展开,优势在哪里?
今日面试题分享:简单介绍下LR
七月在线实验室
7+阅读 · 2019年2月20日
BAT机器学习面试1000题(721~725题)
七月在线实验室
11+阅读 · 2018年12月18日
L2正则化视角下的对抗样本
论智
3+阅读 · 2018年7月8日
AI笔试面试题库-Python题目解析1
七月在线实验室
5+阅读 · 2018年6月27日
Top
微信扫码咨询专知VIP会员