多图对比看懂GAN与VAE的各种变体

2017 年 9 月 6 日 炼数成金订阅号

近日,英国小哥Pawel.io在GitHub上图解了一系列生成式对抗网(GAN)和变分自编码器(VAE)的TensorFlow实现。


生成式对抗网络(GAN)


GAN


论文地址:

https://arxiv.org/abs/1406.2661


价值函数:


结构图:



LSGAN


论文地址:

https://arxiv.org/abs/1611.04076


价值函数:



WGAN


论文地址:

https://arxiv.org/abs/1701.07875


价值函数:


WGAN-GP


论文地址:

https://arxiv.org/abs/1704.00028


价值函数:

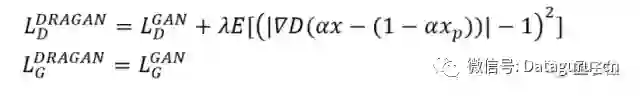
DRAGAN


论文地址:

https://arxiv.org/abs/1705.07215


价值函数:


CGAN


论文地址:

https://arxiv.org/abs/1411.1784


价值函数:



结构图:



infoGAN


论文地址:

https://arxiv.org/abs/1606.03657


价值函数:



结构图:



ACGAN


论文地址:

https://arxiv.org/abs/1610.09585


价值函数:


结构图:



EBGAN


论文地址:

https://arxiv.org/abs/1609.03126


价值函数:



结构图:



BEGAN


论文地址:

https://arxiv.org/abs/1702.08431


价值函数:



变分自编码器(VAE)


VAE


论文地址:

https://arxiv.org/abs/1312.6114


损失函数:



结构图:



CVAE


论文地址:


https://arxiv.org/abs/1406.5298


损失函数:


结构图:


DVAE


论文地址:

https://arxiv.org/abs/1511.06406


AAE


论文地址:

https://arxiv.org/abs/1511.05644


原文地址:

最后,附GitHub原文地址:


https://github.com/hwalsuklee/tensorflow-generative-model-collections/blob/master/README.md


还可查看不同GAN与VAE变体在MNIST及Fasion-MNIST上的运行结果。


祝你学的开心~


文章来源:量子位

《黄美灵的Spark ML机器学习实战》通过该课程的学习,同学们可以全面掌握Spark ML机器学习,进而能够在实际工作中进行ML的应用开发和定制开发。且该课程优异毕业生均可获得老师内推机会,职位:数据挖掘工程师,就职企业:久邦数码、唯品会、腾讯等。点击下方二维码报名课程


登录查看更多
47

相关内容

最新《生成式对抗网络》简介,25页ppt
专知会员服务
176+阅读 · 2020年6月28日
【ICML2020】对比多视角表示学习
专知会员服务
53+阅读 · 2020年6月28日
一份循环神经网络RNNs简明教程,37页ppt
专知会员服务
173+阅读 · 2020年5月6日
【论文】结构GANs,Structured GANs,
专知会员服务
15+阅读 · 2020年1月16日
谷歌机器学习速成课程中文版pdf
专知会员服务
147+阅读 · 2019年12月4日
GANs最新综述论文: 生成式对抗网络及其变种如何有用
专知会员服务
72+阅读 · 2019年10月19日
vae学习笔记
CreateAMind
22+阅读 · 2019年6月18日
GAN 生成对抗网络论文阅读路线图
GAN生成式对抗网络
27+阅读 · 2018年10月30日
用PyTorch实现各种GANs(附论文和代码地址)
历史最全GAN网络及其各种变体整理(附论文及代码实现)
深度学习之星:GAN的原理 | 公开课
AI研习社
7+阅读 · 2017年11月22日
在TensorFlow中对比两大生成模型:VAE与GAN
机器之心
12+阅读 · 2017年10月23日
多图对比看懂GAN与VAE的各种变体|附论文
量子位
13+阅读 · 2017年9月5日
GAN | GAN介绍(2)
中国科学院网络数据重点实验室
44+阅读 · 2017年8月4日
Arxiv
4+阅读 · 2018年4月9日
Arxiv
15+阅读 · 2018年4月5日
VIP会员
相关VIP内容
最新《生成式对抗网络》简介,25页ppt
专知会员服务
176+阅读 · 2020年6月28日
【ICML2020】对比多视角表示学习
专知会员服务
53+阅读 · 2020年6月28日
一份循环神经网络RNNs简明教程,37页ppt
专知会员服务
173+阅读 · 2020年5月6日
【论文】结构GANs,Structured GANs,
专知会员服务
15+阅读 · 2020年1月16日
谷歌机器学习速成课程中文版pdf
专知会员服务
147+阅读 · 2019年12月4日
GANs最新综述论文: 生成式对抗网络及其变种如何有用
专知会员服务
72+阅读 · 2019年10月19日
相关资讯
vae学习笔记
CreateAMind
22+阅读 · 2019年6月18日
GAN 生成对抗网络论文阅读路线图
GAN生成式对抗网络
27+阅读 · 2018年10月30日
用PyTorch实现各种GANs(附论文和代码地址)
历史最全GAN网络及其各种变体整理(附论文及代码实现)
深度学习之星:GAN的原理 | 公开课
AI研习社
7+阅读 · 2017年11月22日
在TensorFlow中对比两大生成模型:VAE与GAN
机器之心
12+阅读 · 2017年10月23日
多图对比看懂GAN与VAE的各种变体|附论文
量子位
13+阅读 · 2017年9月5日
GAN | GAN介绍(2)
中国科学院网络数据重点实验室
44+阅读 · 2017年8月4日
Top
微信扫码咨询专知VIP会员