【IJCAI2020-华为诺亚】面向深度强化学习的策略迁移框架

2020 年 5 月 25 日 专知

Efficient Deep Reinforcement Learning via Adaptive Policy Transfer

图1:面向深度强化学习的策略迁移框架

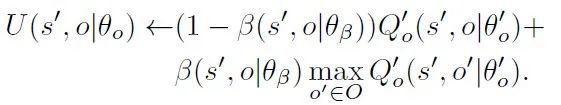
深度强化学习解决很多复杂问题的能力已经有目共睹,然而,如何提升其学习效率是目前面临的主要问题之一。现有的很多方法已验证迁移学习可利用相关任务中获得的先验知识来加快强化学习任务的学习效率。然而,这些方法需要明确计算任务之间的相似度,或者只能选择一个适合的源策略,并利用它提供针对目标任务的指导性探索。目前仍缺少如何不显式的计算策略间相似性,自适应的利用源策略中的先验知识的方法。本文提出了一种通用的策略迁移框架(PTF),利用上述思想实现高效的强化学习。PTF通过将多策略迁移过程建模为选项(option)学习,option判断何时和哪种源策略最适合重用,何时终止该策略的重用。如图1所示,PTF分为两个子模块,智能体(agent)模块和option模块。Agent模块负责与环境交互,并根据环境的经验和option的指导进行策略更新。以PTF-A3C为例,agent模块的策略更新公式如下:

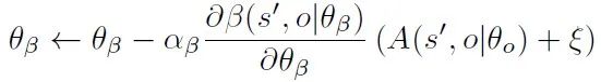
其中,agent模块对源策略的利用通过添加一个额外的损失函数,该损失函数计算agent策略与源策略之间的差异。根据option的终止函数,我们提出了一种自适应调整策略重用的机制,为损失函数设计了启发式的权重系数,避免负迁移的出现。Option模块负责option的值网络和终止网络的学习,option的值函数更新参考DQN的更新方式,最小化损失函数

Option模块通过计算以下梯度更新终止网络的参数

Option模块根据其值函数选择一个option和与其对应的源策略,用以给agent模块提供指导。Agent模块对其利用过程根据该option的终止概率停止,同时,option模块重新选择一个新的option和源策略,重复上述过程。PTF可以自然地与现有的深度强化学习方法结合。实验结果表明,PTF在离散和连续动作空间中的学习效率和最终性能方面,都优于原始的强化学习方法,并超越了最新的策略迁移方法(如图2所示)。文章链接: https://arxiv.org/abs/2002.08037

【诺亚决策推理RL研究团队与天津大学、南京大学等联合研究工作】

参考:

https://mp.weixin.qq.com/s/B5w7LsI7bAyY-drCY384LA



专知便捷查看

便捷下载,请关注专知公众号(点击上方蓝色专知关注)

  • 后台回复“RLAPT” 可以获取《【IJCAI2020-华为诺亚】面向深度强化学习的策略迁移框架》专知下载链接索引

专知,专业可信的人工智能知识分发,让认知协作更快更好!欢迎注册登录专知www.zhuanzhi.ai,获取5000+AI主题干货知识资料!
欢迎微信扫一扫加入专知人工智能知识星球群,获取最新AI专业干货知识教程资料和与专家交流咨询
点击“ 阅读原文 ”,了解使用 专知 ,查看获取5000+AI主题知识资源
登录查看更多
3

相关内容

【CVPR2020-CMU】无数据模型选择,一种深度框架潜力
专知会员服务
23+阅读 · 2020年4月12日
深度强化学习策略梯度教程,53页ppt
专知会员服务
184+阅读 · 2020年2月1日
【斯坦福大学】Gradient Surgery for Multi-Task Learning
专知会员服务
47+阅读 · 2020年1月23日
【强化学习】深度强化学习初学者指南
专知会员服务
184+阅读 · 2019年12月14日
PlaNet 简介:用于强化学习的深度规划网络
谷歌开发者
13+阅读 · 2019年3月16日
TensorFlow 2.0深度强化学习指南
云栖社区
18+阅读 · 2019年2月1日
论文浅尝 | 基于深度强化学习的远程监督数据集的降噪
开放知识图谱
29+阅读 · 2019年1月17日
【强化学习】强化学习/增强学习/再励学习介绍
产业智能官
10+阅读 · 2018年2月23日
【强化学习】强化学习入门以及代码实现
产业智能官
18+阅读 · 2017年9月4日
A Survey on Bayesian Deep Learning
Arxiv
64+阅读 · 2020年7月2日
Arxiv
6+阅读 · 2019年7月29日
HAQ: Hardware-Aware Automated Quantization
Arxiv
6+阅读 · 2018年11月21日
Arxiv
136+阅读 · 2018年10月8日
Arxiv
19+阅读 · 2018年3月28日
VIP会员
相关VIP内容
【CVPR2020-CMU】无数据模型选择,一种深度框架潜力
专知会员服务
23+阅读 · 2020年4月12日
深度强化学习策略梯度教程,53页ppt
专知会员服务
184+阅读 · 2020年2月1日
【斯坦福大学】Gradient Surgery for Multi-Task Learning
专知会员服务
47+阅读 · 2020年1月23日
【强化学习】深度强化学习初学者指南
专知会员服务
184+阅读 · 2019年12月14日
Top
微信扫码咨询专知VIP会员