如何用正则化防止模型过拟合?

2022 年 8 月 18 日 PaperWeekly


©作者 | Poll


在总结正则化(Regularization)之前,我们先谈一谈正则化是什么,为什么要正则化。

个人认为正则化这个字眼有点太过抽象和宽泛,其实正则化的本质很简单,就是对某一问题加以先验的限制或约束以达到某种特定目的的一种手段或操作。在算法中使用正则化的目的是防止模型出现过拟合。一提到正则化,很多同学可能马上会想到常用的 L1 范数和 L2 范数,在汇总之前,我们先看下 LP 范数是什么。




LP范数


范数简单可以理解为用来表征向量空间中的距离,而距离的定义很抽象,只要满足非负、自反、三角不等式就可以称之为距离。LP 范数不是一个范数,而是一组范数,其定义如下:



𝑝 的范围是 [1,∞)。𝑝 在 (0,1) 范围内定义的并不是范数,因为违反了三角不等式。


根据 𝑝 的变化,范数也有着不同的变化,借用一个经典的有关 P 范数的变化图如下:



上图表示了 𝑝 从 0 到正无穷变化时,单位球(unit ball)的变化情况。在P范数下定义的单位球都是凸集,但是当 0<𝑝<1 时,在该定义下的 unit ball 并不是凸集(这个我们之前提到,当 0<𝑝<1 时并不是范数)。 


那问题来了,L0 范数是啥玩意?L0 范数表示向量中非零元素的个数,用公式表示如下:



我们可以通过最小化 L0 范数,来寻找最少最优的稀疏特征项。但不幸的是,L0 范数的最优化问题是一个 NP hard 问题(L0 范数同样是非凸的)。因此,在实际应用中我们经常对 L0 进行凸松弛,理论上有证明,L1 范数是 L0 范数的最优凸近似,因此通常使用 L1 范数来代替直接优化 L0 范数。




L1范数


根据 LP 范数的定义我们可以很轻松的得到 L1 范数的数学形式:


通过上式可以看到,L1 范数就是向量各元素的绝对值之和,也被称为是"稀疏规则算子"(Lasso regularization)。那么问题来了,为什么我们希望稀疏化?稀疏化有很多好处,最直接的两个: 
  • 特征选择 

  • 可解释性




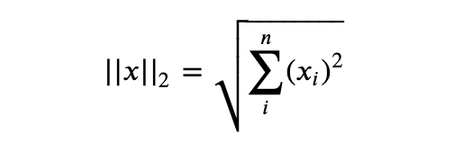
L2范数


L2 范数是最熟悉的,它就是欧几里得距离,公式如下:


L2 范数有很多名称,有人把它的回归叫“岭回归”(Ridge Regression),也有人叫它“权值衰减”(Weight Decay)。以 L2 范数作为正则项可以得到稠密解,即每个特征对应的参数 𝑤 都很小,接近于 0 但是不为 0;此外,L2 范数作为正则化项,可以防止模型为了迎合训练集而过于复杂造成过拟合的情况,从而提高模型的泛化能力。




L1范数和L2范数的区别


引入 PRML 一个经典的图来说明下 L1 和 L2 范数的区别,如下图所示:



如上图所示,蓝色的圆圈表示问题可能的解范围,橘色的表示正则项可能的解范围。而整个目标函数(原问题+正则项)有解当且仅当两个解范围相切。从上图可以很容易地看出,由于 L2 范数解范围是圆,所以相切的点有很大可能不在坐标轴上,而由于 L1 范数是菱形(顶点是凸出来的),其相切的点更可能在坐标轴上,而坐标轴上的点有一个特点,其只有一个坐标分量不为零,其他坐标分量为零,即是稀疏的。所以有如下结论,L1 范数可以导致稀疏解,L2 范数导致稠密解。

从贝叶斯先验的角度看,当训练一个模型时,仅依靠当前的训练数据集是不够的,为了实现更好的泛化能力,往往需要加入先验项,而加入正则项相当于加入了一种先验。

L1 范数相当于加入了一个 Laplacean 先验;L2 范数相当于加入了一个 Gaussian 先验。

如下图所示:




Dropout


Dropout 是深度学习中经常采用的一种正则化方法。它的做法可以简单的理解为在 DNNs 训练的过程中以概率 𝑝 丢弃部分神经元,即使得被丢弃的神经元输出为 0。Dropout 可以实例化的表示为下图:



我们可以从两个方面去直观地理解 Dropout 的正则化效果:

1. 在 Dropout 每一轮训练过程中随机丢失神经元的操作相当于多个 DNNs 进行取平均,因此用于预测时具有 vote 的效果。

2. 减少神经元之间复杂的共适应性。当隐藏层神经元被随机删除之后,使得全连接网络具有了一定的稀疏化,从而有效地减轻了不同特征的协同效应。也就是说,有些特征可能会依赖于固定关系的隐含节点的共同作用,而通过 Dropout 的话,就有效地组织了某些特征在其他特征存在下才有效果的情况,增加了神经网络的鲁棒性。



Batch Normalization

批规范化(Batch Normalization)严格意义上讲属于归一化手段,主要用于加速网络的收敛,但也具有一定程度的正则化效果。这里借鉴下魏秀参博士的知乎回答中对 covariate shift 的解释: 

深度学习中 Batch Normalization为什么效果好?

https://www.zhihu.com/question/38102762

注以下内容引自魏秀参博士的知乎回答: 

大家都知道在统计机器学习中的一个经典假设是“源空间(source domain)和目标空间(target domain)的数据分布(distribution)是一致的”。如果不一致,那么就出现了新的机器学习问题,如 transfer learning/domain adaptation 等。而 covariate shift 就是分布不一致假设之下的一个分支问题,它是指源空间和目标空间的条件概率是一致的,但是其边缘概率不同。

大家细想便会发现,的确,对于神经网络的各层输出,由于它们经过了层内操作作用,其分布显然与各层对应的输入信号分布不同,而且差异会随着网络深度增大而增大,可是它们所能“指示”的样本标记(label)仍然是不变的,这便符合了 covariate shift 的定义。 

BN 的基本思想其实相当直观,因为神经网络在做非线性变换前的激活输入值(𝑋=𝑊𝑈+𝐵,𝑈 是输入)随着网络深度加深,其分布逐渐发生偏移或者变动(即上述的covariate shift)。之所以训练收敛慢,一般是整体分布逐渐往非线性函数的取值区间的上下限两端靠近(对于 Sigmoid 函数来说,意味着激活输入值 𝑋=𝑊𝑈+𝐵 是大的负值或正值),所以这导致后向传播时低层神经网络的梯度消失,这是训练深层神经网络收敛越来越慢的本质原因。

而 BN 就是通过一定的规范化手段,把每层神经网络任意神经元这个输入值的分布强行拉回到均值为 0 方差为 1 的标准正态分布,避免因为激活函数导致的梯度弥散问题。所以与其说 BN 的作用是缓解 covariate shift,倒不如说 BN 可缓解梯度弥散问题。



归一化、标准化 & 正则化

正则化我们以及提到过了,这里简单提一下归一化和标准化。

归一化(Normalization):归一化的目标是找到某种映射关系,将原数据映射到 [𝑎,𝑏] 区间上。一般 𝑎,𝑏 会取 [−1,1],[0,1] 这些组合。 

一般有两种应用场景: 
  • 把数变为 (0, 1) 之间的小数 

  • 把有量纲的数转化为无量纲的数 


常用 min-max normalization:


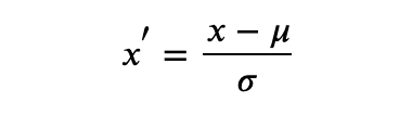
标准化(Standardization):用大数定理将数据转化为一个标准正态分布,标准化公式为:


归一化和标准化的区别: 我们可以这样简单地解释,归一化的缩放是“拍扁”统一到区间(仅由极值决定),而标准化的缩放是更加“弹性”和“动态”的,和整体样本的分布有很大的关系。

值得注意: 归一化——缩放仅仅跟最大、最小值的差别有关。标准化——缩放和每个点都有关系,通过方差(variance)体现出来。与归一化对比,标准化中所有数据点都有贡献(通过均值和标准差造成影响)。

为什么要标准化和归一化?

提升模型精度:归一化后,不同维度之间的特征在数值上有一定比较性,可以大大提高分类器的准确性。

加速模型收敛:标准化后,最优解的寻优过程明显会变得平缓,更容易正确的收敛到最优解。如下图所示:


参考文献

[1] Andrew Ng深度学习教程
[2] http://lamda.nju.edu.cn/weixs/project/CNNTricks/CNNTricks.html

更多阅读



#投 稿 通 道#

 让你的文字被更多人看到 



如何才能让更多的优质内容以更短路径到达读者群体,缩短读者寻找优质内容的成本呢?答案就是:你不认识的人。


总有一些你不认识的人,知道你想知道的东西。PaperWeekly 或许可以成为一座桥梁,促使不同背景、不同方向的学者和学术灵感相互碰撞,迸发出更多的可能性。 


PaperWeekly 鼓励高校实验室或个人,在我们的平台上分享各类优质内容,可以是最新论文解读,也可以是学术热点剖析科研心得竞赛经验讲解等。我们的目的只有一个,让知识真正流动起来。


📝 稿件基本要求:

• 文章确系个人原创作品,未曾在公开渠道发表,如为其他平台已发表或待发表的文章,请明确标注 

• 稿件建议以 markdown 格式撰写,文中配图以附件形式发送,要求图片清晰,无版权问题

• PaperWeekly 尊重原作者署名权,并将为每篇被采纳的原创首发稿件,提供业内具有竞争力稿酬,具体依据文章阅读量和文章质量阶梯制结算


📬 投稿通道:

• 投稿邮箱:hr@paperweekly.site 

• 来稿请备注即时联系方式(微信),以便我们在稿件选用的第一时间联系作者

• 您也可以直接添加小编微信(pwbot02)快速投稿,备注:姓名-投稿


△长按添加PaperWeekly小编




🔍


现在,在「知乎」也能找到我们了

进入知乎首页搜索「PaperWeekly」

点击「关注」订阅我们的专栏吧


·

登录查看更多
0

相关内容

在数学,统计学和计算机科学中,尤其是在机器学习和逆问题中,正则化是添加信息以解决不适定问题或防止过度拟合的过程。 正则化适用于不适定的优化问题中的目标函数。
专知会员服务
17+阅读 · 2021年8月6日
专知会员服务
28+阅读 · 2021年8月2日
专知会员服务
32+阅读 · 2021年7月15日
专知会员服务
12+阅读 · 2021年6月20日
专知会员服务
54+阅读 · 2021年6月17日
专知会员服务
30+阅读 · 2021年5月21日
专知会员服务
137+阅读 · 2020年8月24日
专知会员服务
46+阅读 · 2020年7月29日
输入梯度惩罚与参数梯度惩罚的一个不等式
PaperWeekly
0+阅读 · 2021年12月27日
正则化方法小结
极市平台
2+阅读 · 2021年11月24日
神经网络的损失函数为什么是非凸的?
极市平台
12+阅读 · 2019年9月26日
再谈人脸识别损失函数综述
人工智能前沿讲习班
14+阅读 · 2019年5月7日
如何理解模型的过拟合与欠拟合,以及如何解决?
七月在线实验室
12+阅读 · 2019年4月23日
从泰勒展开来看梯度下降算法
深度学习每日摘要
13+阅读 · 2019年4月9日
从最优化的角度看待 Softmax 损失函数
极市平台
31+阅读 · 2019年2月21日
如何找到最优学习率?
AI研习社
11+阅读 · 2017年11月29日
国家自然科学基金
3+阅读 · 2015年12月31日
国家自然科学基金
1+阅读 · 2014年12月31日
国家自然科学基金
0+阅读 · 2013年12月31日
国家自然科学基金
2+阅读 · 2013年12月31日
国家自然科学基金
0+阅读 · 2012年12月31日
国家自然科学基金
0+阅读 · 2012年12月31日
国家自然科学基金
0+阅读 · 2012年12月31日
国家自然科学基金
3+阅读 · 2011年12月31日
国家自然科学基金
0+阅读 · 2009年12月31日
国家自然科学基金
1+阅读 · 2008年12月31日
Arxiv
0+阅读 · 2022年11月25日
Arxiv
11+阅读 · 2022年9月1日
A Modern Introduction to Online Learning
Arxiv
21+阅读 · 2019年12月31日
Meta-Learning to Cluster
Arxiv
18+阅读 · 2019年10月30日
Arxiv
16+阅读 · 2019年4月4日
Learning Implicit Fields for Generative Shape Modeling
Arxiv
11+阅读 · 2018年12月6日
Arxiv
19+阅读 · 2018年3月28日
Arxiv
26+阅读 · 2018年2月27日
VIP会员
相关VIP内容
专知会员服务
17+阅读 · 2021年8月6日
专知会员服务
28+阅读 · 2021年8月2日
专知会员服务
32+阅读 · 2021年7月15日
专知会员服务
12+阅读 · 2021年6月20日
专知会员服务
54+阅读 · 2021年6月17日
专知会员服务
30+阅读 · 2021年5月21日
专知会员服务
137+阅读 · 2020年8月24日
专知会员服务
46+阅读 · 2020年7月29日
相关资讯
输入梯度惩罚与参数梯度惩罚的一个不等式
PaperWeekly
0+阅读 · 2021年12月27日
正则化方法小结
极市平台
2+阅读 · 2021年11月24日
神经网络的损失函数为什么是非凸的?
极市平台
12+阅读 · 2019年9月26日
再谈人脸识别损失函数综述
人工智能前沿讲习班
14+阅读 · 2019年5月7日
如何理解模型的过拟合与欠拟合,以及如何解决?
七月在线实验室
12+阅读 · 2019年4月23日
从泰勒展开来看梯度下降算法
深度学习每日摘要
13+阅读 · 2019年4月9日
从最优化的角度看待 Softmax 损失函数
极市平台
31+阅读 · 2019年2月21日
如何找到最优学习率?
AI研习社
11+阅读 · 2017年11月29日
相关基金
国家自然科学基金
3+阅读 · 2015年12月31日
国家自然科学基金
1+阅读 · 2014年12月31日
国家自然科学基金
0+阅读 · 2013年12月31日
国家自然科学基金
2+阅读 · 2013年12月31日
国家自然科学基金
0+阅读 · 2012年12月31日
国家自然科学基金
0+阅读 · 2012年12月31日
国家自然科学基金
0+阅读 · 2012年12月31日
国家自然科学基金
3+阅读 · 2011年12月31日
国家自然科学基金
0+阅读 · 2009年12月31日
国家自然科学基金
1+阅读 · 2008年12月31日
相关论文
Arxiv
0+阅读 · 2022年11月25日
Arxiv
11+阅读 · 2022年9月1日
A Modern Introduction to Online Learning
Arxiv
21+阅读 · 2019年12月31日
Meta-Learning to Cluster
Arxiv
18+阅读 · 2019年10月30日
Arxiv
16+阅读 · 2019年4月4日
Learning Implicit Fields for Generative Shape Modeling
Arxiv
11+阅读 · 2018年12月6日
Arxiv
19+阅读 · 2018年3月28日
Arxiv
26+阅读 · 2018年2月27日
Top
微信扫码咨询专知VIP会员