课程笔记|吴恩达Coursera机器学习 Week1 笔记-机器学习基础

2017 年 10 月 18 日 机器学习研究会
1
1. Introduction



1.1 Supervised Learning



已知输入 x以及其对应的标签 y,求解  f:xy

  • 回归 regression:输出的结果 y是一个连续的变量  y=

  • 分类 classification:输出的结果 y是一个离散的变量  y={1,2,3...,k}



1.2 Unsupervised Learning



已知输入 x,并不知道其所属的类别标签 y,求解将 x们划分到不同的聚类中,这些聚类具体是什么类别并不知道。

  • 分类 classification:分类到各不知名的聚类中



1.3 Semi-supervised Learning



输入的 x中,一部分有对应的标签 y,大部分没有。通过这一部分有标签的去推测各不知名的聚类是什么类别。



1.4 一张图弄懂



 
(图片来源:台湾大学林轩田的《机器学习基石》3-2)



2
 Linear Regression with One Variable





2.1 Model Representation



例子:房价预测 - 给出房子的各种特征,如面积、位置等,以及该房子对应的价格。学习一个模型,当输出其他房子的特征时,能够预测出新房子的价格。 
明显这是一个回归模型。

数据说明:

( x(i) y(i)) 训练集中的第 i条数据
x 输入数据
y 输出数据,数据 x的标签(真实输出结果)
x(i)j i条数据的第 j个特征
m 训练集中数据的个数
h(x) 学习得到的模型
ŷ  模型对输入数据 x的预测结果

由于一开始我们并不知道 θ是多少,而这个就是模型需要通过数据学习得到的,和人学习一样,模型需要知道自己究竟哪里错了才能够进一步学习。


于是提出模型的错误公式,loss/cost function来定义这个错误。



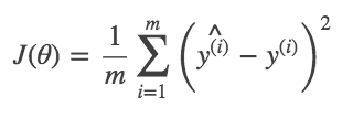
2.2 Cost Function



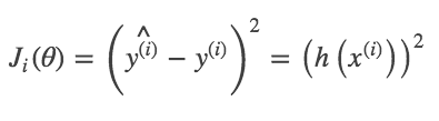
最简单的错误评估,就是将预测出来的结果同真实的结果做一个平方差:

因为有 m条数据,所以将这些个平方差求和之后再平均一下,作为整个训练集的error:

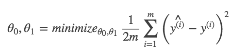
再者,为了接下来模型根据这个error进行学习的以后更加方便,再除以2(因为平方项在求导的时候可以与这个分母2抵消):

而最终的目的就是让这个error最小,只要error最小了,那就说明这个 h(x)预测出来的结果和真实的结果相差不大了,那我们的模型就训练完毕了。

学习目标:



2.3 Cost Function - intuition



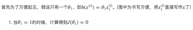
接下来通过几个例子来了解一下cost function是怎么工作的, θ又该怎么取值。

下面的图中,红色叉叉表示训练数据,黑色直线代表 h(x)

  1. 当theta1 = 0.5的时候,计算得到 J(θ)=0.58

  1. 当theta1=0的时候,计算得到 J(θ)≈2.3

 
4. 以此类推,再画出一些点,然后连接起来

cost function取最小值的时候就是凹陷处,数学意义上梯度为0的地方。



2.4 Gradient Descent



更新过程可视化如下,从上面的点一直沿着一定的方向下降到下面的点:

下面来看看这个步长 α的取值问题:

  1. 如果 α取值太小,那么下降到最小值的速度会比较慢

  2. 如果 α取值太大,可能一步就跳过了最小值点……

另外,如果这个 J(θ)不止一个最小值点,那么当落入局部最小值(local minimun),就跳不出来了,因为梯度已经变成了0,不再更新 θ了。


转自:机器学习算法与自然语言处理


完整内容请点击“阅读原文”

登录查看更多
4

相关内容

【经典书】精通机器学习特征工程,中文版,178页pdf
专知会员服务
360+阅读 · 2020年2月15日
专知会员服务
118+阅读 · 2019年12月24日
【UMD开放书】机器学习课程书册,19章227页pdf,带你学习ML
【机器学习课程】机器学习中的常识性问题
专知会员服务
75+阅读 · 2019年12月2日
【机器学习课程】Google机器学习速成课程
专知会员服务
170+阅读 · 2019年12月2日
赶紧收藏!西瓜书《机器学习》完整笔记来了
大数据技术
30+阅读 · 2019年8月24日
深度学习入门笔记
论智
7+阅读 · 2018年3月31日
吴恩达机器学习课程
平均机器
9+阅读 · 2018年2月5日
ML笔记 | 零基础学懂机器学习(六)
七月在线实验室
5+阅读 · 2017年11月2日
PaddlePaddle深度学习实战之新手入门
深度学习探索
5+阅读 · 2017年7月24日
Arxiv
3+阅读 · 2019年9月5日
Arxiv
8+阅读 · 2019年3月21日
Arxiv
5+阅读 · 2018年5月21日
Arxiv
9+阅读 · 2018年1月4日
VIP会员
相关VIP内容
【经典书】精通机器学习特征工程,中文版,178页pdf
专知会员服务
360+阅读 · 2020年2月15日
专知会员服务
118+阅读 · 2019年12月24日
【UMD开放书】机器学习课程书册,19章227页pdf,带你学习ML
【机器学习课程】机器学习中的常识性问题
专知会员服务
75+阅读 · 2019年12月2日
【机器学习课程】Google机器学习速成课程
专知会员服务
170+阅读 · 2019年12月2日
相关资讯
赶紧收藏!西瓜书《机器学习》完整笔记来了
大数据技术
30+阅读 · 2019年8月24日
深度学习入门笔记
论智
7+阅读 · 2018年3月31日
吴恩达机器学习课程
平均机器
9+阅读 · 2018年2月5日
ML笔记 | 零基础学懂机器学习(六)
七月在线实验室
5+阅读 · 2017年11月2日
PaddlePaddle深度学习实战之新手入门
深度学习探索
5+阅读 · 2017年7月24日
相关论文
Top
微信扫码咨询专知VIP会员