论文解读 | 利用脑功能连接实现疲劳驾驶检测

2020 年 6 月 3 日 PaperWeekly


©PaperWeekly 原创 · 作者|张玮玮

学校|东北大学硕士生

研究方向|脑电情绪识别



论文标题:Driving Fatigue Recognition with Functional Connectivity Based on Phase Synchronization

论文链接:https://ieeexplore.ieee.org/document/9064703/


引言

1.1 论文动机

目前,新兴的神经影像学技术已经表明,人类大脑可以表示为一个跨多个大脑区域的互联半规则网络,其功能依赖于脑区域动态交互。并且,越来越多的证据表明,在汽车驾驶过程中,大脑网络拓扑结构随着疲劳程度的增加而改变。

然而,功能连接的识别能力在多大程度上有助于驾驶疲劳检测还不清楚,对驾驶疲劳检测的研究还没有从图的理论性质和关键连接两个方面来研究其多频带特征。
1.2 论文工作

本文研究创造性地分析了这两种特性(网络特性和关键连接 )在多频段的作用机理。在疲劳驾驶模拟驾驶实验中,20名健康受试者的脑电图数据被记录了两次。

利用相位滞后指数建立多频带功能连接矩阵,作为图论分析的输入,确定警惕状态和疲劳状态之间的关键连接,并且分别对连接特征及其图论特征进行了分类。


脑电实验采集与预处理

2.1 数据采集

本研究的受试者为新加坡国立大学招募的 20 名健康学生。模拟驾驶环境主要包括模拟驾驶系统和无线式脑电图采集系统两部分,如图 1(a) 所示。在无声驾驶的情况下,每个实验持续时间为一个半小时。

交通状况包括一个双向车道在农村和最低车辆密度,使参与者感到无聊和较少的挑战。如图 1(b) 所示,脑电帽上有 24 个干电极,参照左右乳突的平均值。所有电极均按国际 10-20 系统标准放置,脑电图采集时阻抗保持在 20k 以下。
▲ 图1. 模拟驾驶实验场景设置

2.2 脑电信号预处理

记录的原始脑电信号经频带通(1-40hz)滤波后,设置参考电极进行基线校准。由于眼睛眨眼或肌肉活动造成的假象的污染,脑电图信号的信噪比(SNR)很低。

为了改进这一现象,使用独立组件分析(ICA)来删除表示工件的组件。去除伪迹后的脑电信号采用离散小波变换(DWT)被分解成 θ, α, β 频段, 根据行为表现的研究,将前 5 分钟和后 5 分钟分别定义为警戒和疲劳状态。


功能连接特征提取

3.1 构建功能连接网络

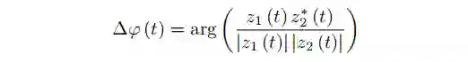
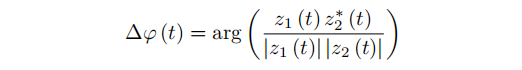
本文采用相位同步法(PS)计算各频带间的统计耦合,构造各频带间的功能连接。根据脑电图数据的特点,即使它们的振幅是独立的,两个时间序列之间仍然存在的相位同步关系。研究利用相位滞后指数(PLI)来估计成对耦合的程度,以作进一步的研究。

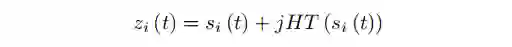
利用希尔伯特变换计算瞬时相位 ,其中:

PLI 值定义为 [0,1],0 表示没有相位同步的情况,1 表示两个时间序列之间的完美相位锁定。
3.2 特征提取

在建立了功能性连接网络后,N∗N 邻接矩阵(在本研究中 N = 24)被计算出来。由于功能连接网络包含复杂的信息和大量无用的组合,利用这些网络的稀疏度在 10% - 20% 之间,步长为 1%,即当前连接数与保留为真实功能连接的比值。

为了定量研究不同心理状态(警惕和疲劳)之间的功能连接拓扑特性,作者使用脑连接工具箱实现了图理论分析。基于邻接矩阵,计算了聚类系数( ),局部效率( ),全局效率( ),特征路径长度( )。


实验分类

4.1 疲劳状态的关键连接

通过特征选择策略 SFFS 提取出与被试无关的关键连接。该组平均临界连接如图 3 所示。估计了连接从警戒状态到疲劳状态的变化。增加连接强度和减少连接强度的前 10% 分别被保留。

电极遵循国际 10-20 系统的配置。通过检查,前 10% 的增加连接相关的额叶区域:连接相关的与这些地区占连接总数的  θ:89.29%;α:78.57%;β:85.71%。额叶区在所有频带均表现出明显的驾驶疲劳破坏。当驾驶疲劳发生时,前脑区淋巴结的活动增强。
4.2 疲劳状态分类

本文分别基于图的理论特性和关键连接进行了疲劳检测。如图 4 所示,支持向量机分类器在两种特征类型中表现都最好。关键连接在驾驶疲劳检测中更具识别性。

三个频带的精度有显著性差异(F2,117 = 8.956, p <0.001),这表明 β 频段是最适合驾驶疲劳检测。此外,基于图论属性的分类策略标准差越高,说明疲劳状态下脑功能网络重组的主体间差异越大。

结论

本文研究探讨了基于警醒与疲劳状态之间的功能连接重组的驾驶疲劳检测方法。从功能连接网络中提取出图的理论性质和关键连接。关键连接被认为是疲劳检测的主要特征。

作者进一步分析了临界连接的空间分布,表明在疲劳驾驶发生时,前额极区和前额区更加活跃。其中,功能连接的增减表现为显著的全局集成和局部分离,而驾驶疲劳则表现为显著的局部分离。

研究结果表明,关键连接是一种可行的驾驶疲劳检测神经标志,并为高效的驾驶疲劳检测提供了一种新的方法。


更多阅读





#投 稿 通 道#

 让你的论文被更多人看到 



如何才能让更多的优质内容以更短路径到达读者群体,缩短读者寻找优质内容的成本呢?答案就是:你不认识的人。


总有一些你不认识的人,知道你想知道的东西。PaperWeekly 或许可以成为一座桥梁,促使不同背景、不同方向的学者和学术灵感相互碰撞,迸发出更多的可能性。 


PaperWeekly 鼓励高校实验室或个人,在我们的平台上分享各类优质内容,可以是最新论文解读,也可以是学习心得技术干货。我们的目的只有一个,让知识真正流动起来。


📝 来稿标准:

• 稿件确系个人原创作品,来稿需注明作者个人信息(姓名+学校/工作单位+学历/职位+研究方向) 

• 如果文章并非首发,请在投稿时提醒并附上所有已发布链接 

• PaperWeekly 默认每篇文章都是首发,均会添加“原创”标志


📬 投稿邮箱:

• 投稿邮箱:hr@paperweekly.site 

• 所有文章配图,请单独在附件中发送 

• 请留下即时联系方式(微信或手机),以便我们在编辑发布时和作者沟通



🔍


现在,在「知乎」也能找到我们了

进入知乎首页搜索「PaperWeekly」

点击「关注」订阅我们的专栏吧



关于PaperWeekly


PaperWeekly 是一个推荐、解读、讨论、报道人工智能前沿论文成果的学术平台。如果你研究或从事 AI 领域,欢迎在公众号后台点击「交流群」,小助手将把你带入 PaperWeekly 的交流群里。



登录查看更多
3

相关内容

【CMU】基于图神经网络的联合检测与多目标跟踪
专知会员服务
59+阅读 · 2020年6月24日
【ICMR2020】持续健康状态接口事件检索
专知会员服务
18+阅读 · 2020年4月18日
【CVPR2020】图神经网络中的几何原理连接
专知会员服务
57+阅读 · 2020年4月8日
【芝加哥大学】可变形的风格转移,Deformable Style Transfer
专知会员服务
31+阅读 · 2020年3月26日
自动驾驶技术解读——自动驾驶汽车决策控制系统
智能交通技术
30+阅读 · 2019年7月7日
【数字孪生】九论数字孪生
产业智能官
58+阅读 · 2019年7月6日
【工业智能】电网故障诊断的智能技术
产业智能官
34+阅读 · 2018年5月28日
脑机接口技术如何具体实现?
北京思腾合力科技有限公司
9+阅读 · 2017年12月8日
李克强:智能车辆运动控制研究综述
厚势
21+阅读 · 2017年10月17日
Deformable Style Transfer
Arxiv
14+阅读 · 2020年3月24日
Arxiv
5+阅读 · 2020年3月17日
Arxiv
26+阅读 · 2019年11月24日
Arxiv
5+阅读 · 2016年10月24日
VIP会员
相关资讯
自动驾驶技术解读——自动驾驶汽车决策控制系统
智能交通技术
30+阅读 · 2019年7月7日
【数字孪生】九论数字孪生
产业智能官
58+阅读 · 2019年7月6日
【工业智能】电网故障诊断的智能技术
产业智能官
34+阅读 · 2018年5月28日
脑机接口技术如何具体实现?
北京思腾合力科技有限公司
9+阅读 · 2017年12月8日
李克强:智能车辆运动控制研究综述
厚势
21+阅读 · 2017年10月17日
Top
微信扫码咨询专知VIP会员