干货 | OpenCV中KLT光流跟踪原理详解与代码演示

2018 年 10 月 25 日 极市平台

     由极市、机器之心和中科创达联合举办的“2018计算机视觉最具潜力开发者榜单”评选活动,现已接受报名,杨强教授、俞扬教授等大牛嘉宾亲自评审,高通、中科创达、微众银行等大力支持,丰厚奖励,丰富资源,千万渠道,助力您的计算机视觉工程化能力认证,提升个人价值及算法变现。极市与您一起定义自己,发现未来~点击阅读原文即可报名~

来源:OpenCV学堂


稀疏光流跟踪(KLT)详解

在视频移动对象跟踪中,稀疏光流跟踪是一种经典的对象跟踪算法,可以绘制运动对象的跟踪轨迹与运行方向,是一种简单、实时高效的跟踪算法,这个算法最早是有Bruce D. Lucas and Takeo Kanade两位作者提出来的,所以又被称为KLT。KLT算法工作有三个假设前提条件:

  • 亮度恒定

  • 短距离移动

  • 空间一致性


亮度恒定
对象中任意像素点p(x,y)亮度值,在t-1时候的值,在t时刻移动(u, v)之后亮度值保持不变



空间一致性
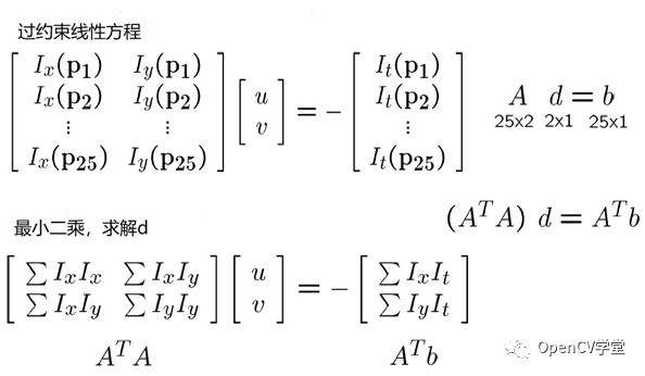
假设对像素点p(x, y)来说,周围的像素点都保持相同的移动距离(u, v) 假设窗口大小为5x5,则对于25个窗口内的像素点来说,就会如下等式成立:



得到下面的过约束等式,根据最小二乘可以求解(u, v):



这样我们就得到了KLT光流等式与该窗口的的Hessian矩阵




空间尺度不变性
通过建立每一帧的图像金字塔,实现尺度空间窗口目标对象搜索



OpenCV中KLT演示代码实现

OpenCV中KLT算法API及其参数解释如下:

void cv::calcOpticalFlowPyrLK(
InputArray     prevImg, // 前一帧图像
InputArray     nextImg, // 后一帧图像
InputArray     prevPts, // 前一帧的稀疏光流点
InputOutputArray     nextPts, // 后一帧光流点
OutputArray     status, // 输出状态,1 表示正常该点保留,否则丢弃
OutputArray     err, // 表示错误
Size winSize = Size(2121), // 光流法对象窗口大小
int maxLevel = 3// 金字塔层数,0表示只检测当前图像,不构建金字塔图像
TermCriteria     criteria = TermCriteria(TermCriteria::COUNT+TermCriteria::EPS, 300.01), // 窗口搜索时候停止条件
int flags = 0// 操作标志
double     minEigThreshold = 1e-4 // 最小特征值响应,低于最小值不做处理
)


特征点检测与绘制的代码实现如下:

// detect first frame and find corners in it
Mat old_frame, old_gray;
capture.read(old_frame);
cvtColor(old_frame, old_gray, COLOR_BGR2GRAY);
goodFeaturesToTrack(old_gray, featurePoints, maxCorners, qualityLevel, minDistance, Mat(), blockSize, useHarrisDetector, k);


特征点绘制

void draw_goodFeatures(Mat &image, vector<Point2f> goodFeatures) {
    for (size_t t = 0; t < goodFeatures.size(); t++) {
        circle(image, goodFeatures[t], 2, Scalar(02550), 280);
    }
}


KLT跟踪代码如下

TermCriteria criteria = TermCriteria(TermCriteria::COUNT + TermCriteria::EPS, 300.01);
double derivlambda = 0.5;
int flags = 0;

bool ret = capture.read(frame);
if (!ret) break;
imshow("frame", frame);
roi.x = 0;
frame.copyTo(result(roi));
cvtColor(frame, gray, COLOR_BGR2GRAY);

// calculate optical flow
calcOpticalFlowPyrLK(old_gray, gray, pts[0], pts[1], status, err, Size(3131), 3, criteria, derivlambda, flags);


特征点状态检查与匹配的代码如下

size_t i, k;
for (i = k = 0; i pts[1].size(); i++)
{
    // 距离与状态测量
    double dist = abs(pts[0][i].x - pts[1][i].x) + abs(pts[0][i].y - pts[1][i].y);
    if (status[i] && dist >
 2) {
        pts[0][k] = pts[0][i];
        initPoints[k] = initPoints[i];
        pts[1][k++] = pts[1][i];
        circle(frame, pts[1][i], 3, Scalar(0, 255, 0), -1, 8);
    }
}
// resize 有用特征点
pts[1].resize(k);
pts[0].resize(k);
initPoints.resize(k);


绘制跟踪轨迹的代码如下

// 绘制跟踪轨迹
draw_lines(frame, initPoints, pts[1]);


该方法实现如下:

void draw_lines(Mat &image, vector<Point2f> pt1, vector<Point2f> pt2) {
    if (color_lut.size() < pt1.size()) {
        for (size_t t = 0; t < pt1.size(); t++) {
            color_lut.push_back(Scalar(rng.uniform(0255), rng.uniform(0255), rng.uniform(0255)));
        }
    }
    for (size_t t = 0; t < pt1.size(); t++) {
        line(image, pt1[t], pt2[t], color_lut[t], 280);
    }
}


运行效果

左侧是视频的原始每一帧、右侧视频是每一帧中KLT算法实时轨迹绘制


车辆运行轨迹跟踪








*推荐阅读*

多目标追踪器:用 OpenCV 实现多目标追踪(C++/Python)

用OpenCV实现八种不同的目标跟踪算法


杨强教授、俞扬教授等大牛嘉宾评审团,万元大奖,丰富资源,助力您的计算机视觉工程化能力认证,点击阅读原文即可报名“2018计算机视觉最具潜力开发者榜单”~


登录查看更多
3

相关内容

一个跨平台的计算机视觉处理库,全称是Open Source Computer Vision。
【CMU】基于图神经网络的联合检测与多目标跟踪
专知会员服务
59+阅读 · 2020年6月24日
【ICLR2020】图神经网络与图像处理,微分方程,27页ppt
专知会员服务
48+阅读 · 2020年6月6日
【人大】图实现算法综述与评测分析
专知会员服务
38+阅读 · 2020年4月28日
【CVPR2020】图神经网络中的几何原理连接
专知会员服务
57+阅读 · 2020年4月8日
《深度学习》圣经花书的数学推导、原理与Python代码实现
专知会员服务
42+阅读 · 2020年2月20日
【GitHub实战】Pytorch实现的小样本逼真的视频到视频转换
专知会员服务
36+阅读 · 2019年12月15日
计算机视觉最佳实践、代码示例和相关文档
专知会员服务
20+阅读 · 2019年10月9日
多目标追踪器:用 OpenCV 实现多目标追踪(C++/Python)
OpenCV特征提取与图像检索实现(附代码)
用 Python 和 OpenCV 来测量相机到目标的距离
炼数成金订阅号
5+阅读 · 2018年1月16日
【每月好书】OpenCV算法精解
Python程序员
10+阅读 · 2017年11月21日
目标跟踪的一篇论文及代码视频
CreateAMind
8+阅读 · 2017年9月7日
干货|全景视频拼接的关键技术分析
全球人工智能
13+阅读 · 2017年7月15日
Arxiv
3+阅读 · 2018年3月14日
Arxiv
5+阅读 · 2018年2月26日
Arxiv
6+阅读 · 2018年2月8日
VIP会员
相关VIP内容
【CMU】基于图神经网络的联合检测与多目标跟踪
专知会员服务
59+阅读 · 2020年6月24日
【ICLR2020】图神经网络与图像处理,微分方程,27页ppt
专知会员服务
48+阅读 · 2020年6月6日
【人大】图实现算法综述与评测分析
专知会员服务
38+阅读 · 2020年4月28日
【CVPR2020】图神经网络中的几何原理连接
专知会员服务
57+阅读 · 2020年4月8日
《深度学习》圣经花书的数学推导、原理与Python代码实现
专知会员服务
42+阅读 · 2020年2月20日
【GitHub实战】Pytorch实现的小样本逼真的视频到视频转换
专知会员服务
36+阅读 · 2019年12月15日
计算机视觉最佳实践、代码示例和相关文档
专知会员服务
20+阅读 · 2019年10月9日
相关资讯
多目标追踪器:用 OpenCV 实现多目标追踪(C++/Python)
OpenCV特征提取与图像检索实现(附代码)
用 Python 和 OpenCV 来测量相机到目标的距离
炼数成金订阅号
5+阅读 · 2018年1月16日
【每月好书】OpenCV算法精解
Python程序员
10+阅读 · 2017年11月21日
目标跟踪的一篇论文及代码视频
CreateAMind
8+阅读 · 2017年9月7日
干货|全景视频拼接的关键技术分析
全球人工智能
13+阅读 · 2017年7月15日
Top
微信扫码咨询专知VIP会员