【2019ASCO】brentuximab vedotin治疗淋巴瘤优势显著,不受CD30表达限制

2019 年 6 月 7 日 肿瘤资讯

2019年美国肿瘤学(ASCO)年会于美国东部时间5月31日—6月4日在芝加哥举办。作为全球肿瘤领域最为期待的盛会,每年的ASCO年会都会公布多项肿瘤领域重磅研究,讨论当前国际先进的治疗方式和治疗方法。brentuximab vedotin(以下简称“BV”)是新型靶向CD30的抗体-药物偶联物,研究证实其在多种血液肿瘤中疗效显著。本次ASCO年会公布了两项研究结果,探讨了CD30表达水平与BV治疗CD30+淋巴瘤疗效关系。

ECHELON-2 (E-2)研究:CD30表达水平与A+CHP疗效

背景与方法:ECHELON-2 (E-2)研究结果显示,在CD30+的外周T细胞淋巴瘤(PTCL)患者一线治疗中,BV联合环磷酰胺、阿霉素、泼尼松(A+CHP)比CHOP方案显示出明显的无进展生存(PFS)和总生存(OS)优势,同时显著提高了完全缓解率和客观缓解率(CR,68% vs. 56%;ORR,83% vs. 72%)。CD30在系统性间变性大细胞淋巴瘤(sALCL)中普遍表达,但是在non-sALCL亚型中表达具有多变性。由于客观缓解率(ORR)是肿瘤治疗效果评价的直接指标,因此研究人员通过检测CD30表达水平评估A+CHP方案疗效。E-2研究纳入CD30+(局部评估≥10%)的PTCL患者,患者病理亚型包括:ALK+ sALCL(IPI评分≥2分),ALK- sALCL,其他未特指的PTCL(PTCL NOS),血管免疫母性T细胞淋巴瘤(AITL),成人T细胞淋巴瘤/白血病,肠病型T细胞淋巴瘤和肝脾T细胞淋巴瘤。采用免疫组化技术(Ber-H2抗体)分析在接受A+CHP方案治疗的血管免疫母细胞性T细胞淋巴瘤(AITL)和PTCL-NOS患者中CD30表达水平高于或低于中位值(中位CD30=18% PTCL-NOS;25% AITL)与CR率、ORR及CR持续时间(DOCR)之间的关系。

结果:AITL患者中CD30表达水平在10%~30%的占90%(26/29),PTCL-NOS患者中CD30表达水平多在10%~100%。CD30表达水平与AITL和PTCL-NOS患者的DOCR均无明显相关性(P=0.30 AITL;P=0.90 PTCL-NOS,log-rank检验,图1、2),CD30表达水平与AITL患者反应率不存在明显相关性(表1)

图1. A+CHP治疗组每例AITL患者的DOCR

图2. A+CHP治疗组每例PTCL-NOS 患者的DOCR

表1. AITL或PTCL-NOS患者中通过CD30亚组分析的CR和PR率

结论:在E-2研究中,由于不同CD30表达水平之间的患者均达到缓解,这就表明无论CD30表达水平高于或低于中间值(或至少10%),A+CHP方案均能有效治疗non-ALCL患者的。研究人员猜想这个结果可能与细胞内和细胞间CD30表达水平的异质性、CD30存在于细胞表面、免疫组化技术限制和BV作用机制复杂有关。后续将在CD30<10%的PTCL患者中进一步评价CD30表达-反应关系。

5项临床试验:CD30表达水平与BV疗效

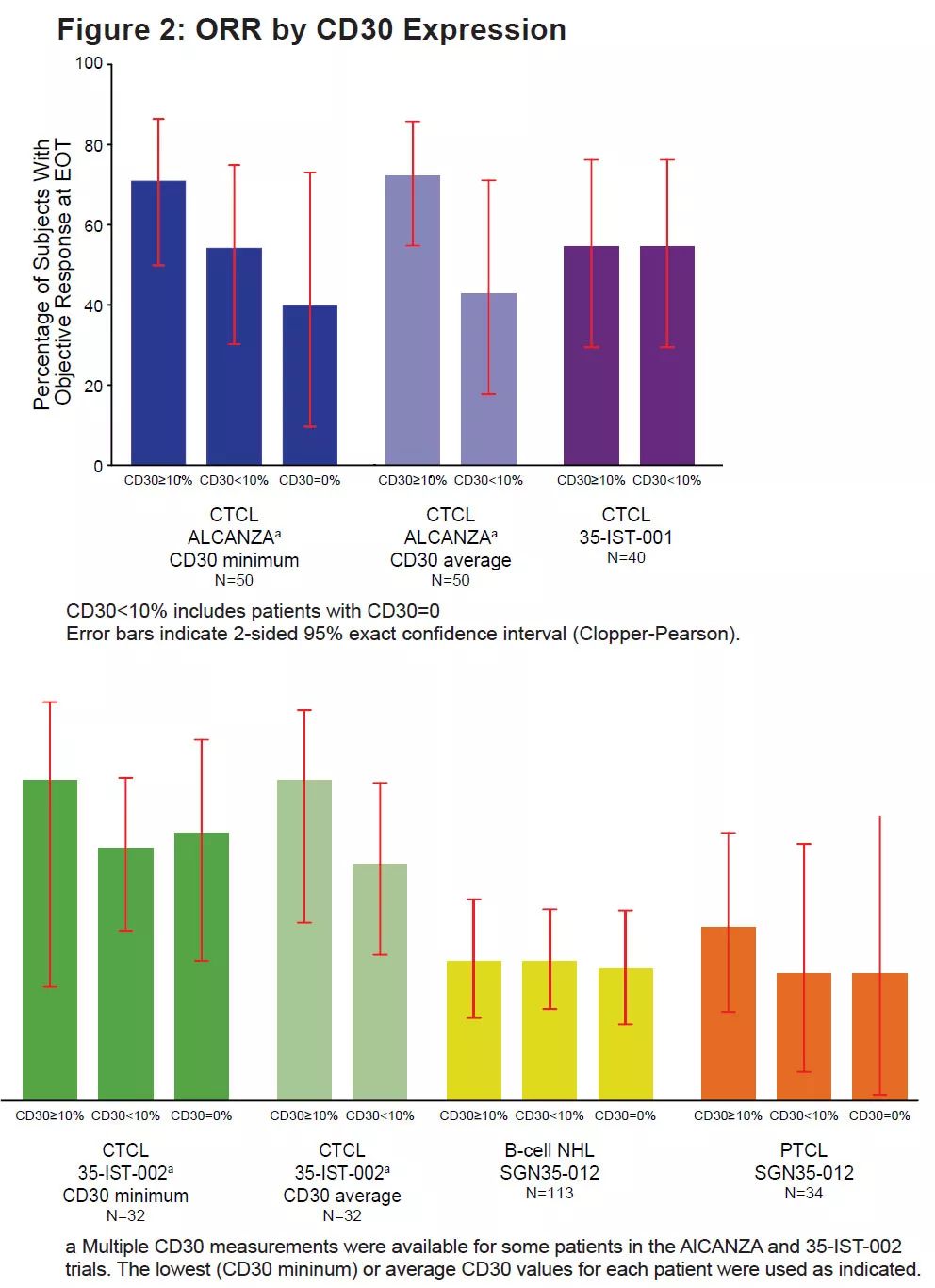
背景与方法:BV是靶向CD30的抗体-药物偶联物,在PTCL、皮肤T细胞淋巴瘤(CTCL)以及B细胞淋巴瘤的多项临床试验中均取得良好疗效。本研究通过分析CD30表达水平以预测BV在上述患者中的疗效。本研究收集来自5项前瞻性临床试验的275例接受BV治疗的PTCL、CTCL和B细胞淋巴瘤患者资料。SGN35-012是一项评估BV联合利妥昔单抗或BV单药治疗难治/复发非霍奇金淋巴瘤(NHL)的临床试验,ALCANZA试验对比了BV和甲氨蝶呤或贝沙罗汀治疗蕈样真菌病(MF)、原发ALCL(pcALCL)疗效。另外3项研究者赞助的临床试验评估了BV单药治疗复发的PTCL、MF和pcALCL疗效(临床试验编号:35-IST-030,35-IST-001,35-IST-002)。采用免疫组化法(肿瘤细胞或淋巴浸润;局部评估)检测CD30表达≥10%,<10%或不可测(0%)的患者CD30表达水平和ORR之间的关系。

结果:143例患者CD30表达水平<10%,其中58/143例患者CD30水平未测出。包括CD30水平未测出的患者在内,所有CD30表达水平的患者接受BV治疗后均达到了持续缓解。BV治疗后患者CD30表达水平和反应率之间的关系如图3所示,CD30表达水平和反应持续时间关系如表2所示。

图3. 基于CD30表达的总反应率

表2. 基于CD30表达的反应持续时间

结论:BV治疗T细胞非霍奇金淋巴瘤、B细胞非霍奇金淋巴瘤的上述多项研究结果显示,包括表达水平极低或未测出在内的不同CD30表达水平的淋巴瘤患者接受BV治疗均可达到缓解或持续缓解。无论患者CD30表达水平高低(≥10%、<10%或未测出),BV均表现出良好疗效,这可能与细胞表面CD30表达的动态本质和异质性、免疫组化技术限制以及BV抗肿瘤作用机制复杂有关。

BV治疗淋巴瘤疗效显著,深究其作用机制可为单药或联合用药提供新思路

BV在血液肿瘤中的研究进展非常迅速,在CD30表达的PTCL、CTCL及B细胞淋巴瘤等多种血液肿瘤中均取得良好疗效,并且研究显示CD30表达水平不影响其疗效。截至目前,美国FDA已经批准了BV在霍奇金淋巴瘤和外周T细胞淋巴瘤中的6类适应证。未来通过进一步探索BV作用机制可为选择BV单药或联合应用治疗淋巴瘤提供思路。随着更多研究的开展及深入探索,我们期望BV能带来更多的好消息,造福更多的淋巴瘤患者。

参考文献

[1]Advani RH, Horwitz SM,  Iyer SP,et al.Response to A+CHP by CD30 expression in the ECHELON-2 trial[J].J Clin Oncol , 2019,37 (suppl; abstr 7538).

[2]Jagadeesh D,Horwitz SM, Bartlett NL,et al.Response to brentuximab vedotin by CD30 expression: Results from five trials in PTCL, CTCL, and B-cell lymphomas[J].J Clin Oncol , 2019,37 (suppl; abstr 7543).

登录查看更多
0

相关内容

专知会员服务
29+阅读 · 2020年3月6日
【学科交叉】抗生素发现的深度学习方法
专知会员服务
25+阅读 · 2020年2月23日
【CCL 2019】结合规则蒸馏的情感原因发现方法
专知会员服务
23+阅读 · 2019年11月27日
Implicit Maximum Likelihood Estimation
Arxiv
7+阅读 · 2018年9月24日
Arxiv
4+阅读 · 2018年5月24日
Arxiv
3+阅读 · 2017年10月1日
Arxiv
3+阅读 · 2017年7月6日
VIP会员
相关VIP内容
专知会员服务
29+阅读 · 2020年3月6日
【学科交叉】抗生素发现的深度学习方法
专知会员服务
25+阅读 · 2020年2月23日
【CCL 2019】结合规则蒸馏的情感原因发现方法
专知会员服务
23+阅读 · 2019年11月27日
Top
微信扫码咨询专知VIP会员