基于图卷积(GCN)和规则卷积(CNN)的情绪识别

2019 年 12 月 6 日 PaperWeekly


作者丨张玮玮

学校丨东北大学硕士生

研究方向丨情绪识别






引言


论文动机


脑电信号因其易辨伪性、准确性高而被广泛应用于情绪识别。如何描述脑电信号与大脑活动区域之间的关系以及构建脑电情绪识别模型仍然是基于脑电图数据的情绪识别具有挑战性的课题。

基于以往的研究内容可知,CNN 可以利用卷积核提取抽象高层次特征,适用于 1D,2D,3D 规则网格数据。但是脑电通道的分布结构是不规则的,脑电数据并不是规则的欧几里德结构数据。

图卷积对非欧几里德结构数据处理有极大优势,仅需几个层就足以学习图结构的拓扑特征,但是过多的图卷积层可能得不到更多的辨别能力的特征。本文提出了一种兼顾抽象深层特征和拓扑特征的提取方法。


论文工作


本文设计了一个图卷积宽度网络(GCB-Net)来研究脑电图结构数据更深层次的信息。它利用图卷积层来提取图结构输入的特征,并叠加多个规则卷积层来提取相对抽象的特征。最后的连接使用了广义的概念,保留了所有层的输出,允许模型在广阔的空间中搜索特性。为了提高 GCB-Net 的性能,应用了广义宽度系统(BLS)来增强其特性。

GCB-Net知识基础


图卷积神经网络

▲ 图1. 图卷积框架


在图 *G 上,x 和 y 两个信号的卷积表示为:



U 是图的拉普拉斯矩阵 L 的特征矩阵,⊙ 表示 hadamard product,对于两个向量,就是进行内积运算;对于维度相同的两个矩阵,就是对应元素的乘积运算。 


将卷积核的图傅里叶变换以对角矩阵的形式表示,其中是对角矩阵,其对角线元素是拉普拉斯矩阵 L 的特征值。



则信号 x 经过卷积核的卷积输出 y 可表示为 


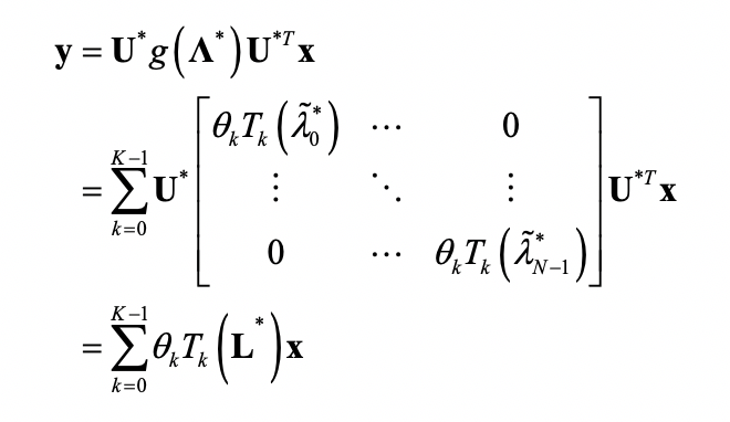
表示要学习的最优邻接矩阵,信号 x 的图卷积输出为 


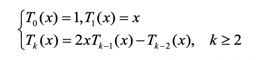
采用 K 阶切比雪夫多项式(Chebyshev polynomials)来代替卷积核的图傅里叶变换,以简化计算复杂度。基于 K 阶切比雪夫多项式,可以近似为:



SP-Length 表示从一个节点到另一个节点必须遍历的最小边数。



其中,为切比雪夫多项式系数,是标准化的,标准化后,其对角线元素取值在 [-1,1],中最大的元素,是 N 阶单位阵。可按以下递推公式计算得到:



即有:



其中,


上式表示计算 x 的图卷积可以表示为 x 与切比雪夫多项式各分量卷积结果的组合。 


利用交叉熵计算的损失函数为:



其中,Θ 是模型参数矩阵,α 是一个正则化系数。模型可以通过以下公式更新 A:



ρ 是模型的学习速率。


宽度学习系统


▲ 图2. 宽度学习系统框架


BLS 提供了一种可选的学习结构,通过随机方法将特性扩展到广阔的空间。网络主要由特征节点和增强节点构成。 


输入数据集和标签矩阵表示为,其中,N 是样本的数量,M 是特征的维数,C 是类的数量。


特征节点可以生成为:



所有特征节点的集合表示为:



同样,增强节点的定义可以写成如下公式:



所有增强节点的集合表示为:



将特征节点与增强节点集成,最终输出可计算为:



论文方法


Original GCB-Net


▲ 图3. GCB-Net框架


如图 3 所示,该网络首先利用切比雪夫图卷积来处理不规则网格数据。然后利用正则卷积提取更高层次的特征。在所有的卷积之后,不同层的输出被平铺成一维向量并连接在一起。然后,对网络进行全连通层预测,并利用 softmax 函数进行预测。Original GCB-net 伪代码如图 4 所示。


▲ 图4. Original GCB-Net伪代码


▲ 图5. GCB-net with BLS伪代码


GCB-net with BLS


▲ 图6. GCB-net with BLS过程


为了提高 GCB-net 的性能,可以使用 BLS 来增强 GCB-net 的特征。首先通过特征映射和增强映射将 GCB 特征扩展到随机的广义空间,然后通过特征节点和增强节点的连接对输出进行预测。GCB-net with BLS 伪代码与示意图如图 5 和图 6 所示。


结果


为了评估本文方法的性能,本文在两个基准的情绪数据库上进行了实验,即 DREAMER 和 SEED。SEED 数据集实验结果如图 7 所示。可以发现,所有模型的识别精度在 β 和 γ 频段都远远高于其他的频段,这与之前的脑电情绪识别研究结果一致。


▲ 图7. SEED数据集实验结果


GCB-net with BLS 取得了最好的效果,验证了模型的有效性。DREAMER 数据集实验结果如图 8 所示,可以观察到,大部分方法在 Dominance 维度识别效果较好,虽然 GCB-net+BLS 的性能相对于 GCB-net 并没有得到提升,但其准确性仍优于或接近 DGCNN 的结果,说明了 GCB 模型的有效性。


▲ 图8. DREAMER数据集实验结果

结论


本文将 GCB-net 引入到情绪识别中,利用 EEG-channel 信号识别情绪,构建了可以探索图结构数据更深层次信息的网络。在这项工作中,首先使用图卷积层来处理图结构输入,然后堆叠多个规则 CNN 层来抽象深层特征。最后,将各个层次的输出连接起来,为模型提供广阔的搜索空间。




点击以下标题查看更多往期内容: 





#投 稿 通 道#

 让你的论文被更多人看到 



如何才能让更多的优质内容以更短路径到达读者群体,缩短读者寻找优质内容的成本呢?答案就是:你不认识的人。


总有一些你不认识的人,知道你想知道的东西。PaperWeekly 或许可以成为一座桥梁,促使不同背景、不同方向的学者和学术灵感相互碰撞,迸发出更多的可能性。 


PaperWeekly 鼓励高校实验室或个人,在我们的平台上分享各类优质内容,可以是最新论文解读,也可以是学习心得技术干货。我们的目的只有一个,让知识真正流动起来。


📝 来稿标准:

• 稿件确系个人原创作品,来稿需注明作者个人信息(姓名+学校/工作单位+学历/职位+研究方向) 

• 如果文章并非首发,请在投稿时提醒并附上所有已发布链接 

• PaperWeekly 默认每篇文章都是首发,均会添加“原创”标志


📬 投稿邮箱:

• 投稿邮箱:hr@paperweekly.site 

• 所有文章配图,请单独在附件中发送 

• 请留下即时联系方式(微信或手机),以便我们在编辑发布时和作者沟通




🔍


现在,在「知乎」也能找到我们了

进入知乎首页搜索「PaperWeekly」

点击「关注」订阅我们的专栏吧



关于PaperWeekly


PaperWeekly 是一个推荐、解读、讨论、报道人工智能前沿论文成果的学术平台。如果你研究或从事 AI 领域,欢迎在公众号后台点击「交流群」,小助手将把你带入 PaperWeekly 的交流群里。


▽ 点击 | 阅读原文 | 下载论文

登录查看更多
5

相关内容

【KDD2020】自适应多通道图卷积神经网络
专知会员服务
121+阅读 · 2020年7月9日
【CVPR2020-百度】用于视觉识别的门控信道变换
专知会员服务
13+阅读 · 2020年3月30日
注意力图神经网络的多标签文本分类
专知会员服务
112+阅读 · 2020年3月28日
【ICLR2020-】基于记忆的图网络,MEMORY-BASED GRAPH NETWORKS
专知会员服务
110+阅读 · 2020年2月22日
KGCN:使用TensorFlow进行知识图谱的机器学习
专知会员服务
83+阅读 · 2020年1月13日
一文读懂图卷积GCN
计算机视觉life
21+阅读 · 2019年12月21日
手把手解释实现频谱图卷积
AI科技评论
9+阅读 · 2019年9月9日
卷积神经网络四种卷积类型
炼数成金订阅号
18+阅读 · 2019年4月16日
图卷积神经网络(GCN)文本分类详述
专知
280+阅读 · 2019年4月5日
图卷积网络到底怎么做,这是一份极简的Numpy实现
图卷积网络介绍及进展【附PPT与视频资料】
人工智能前沿讲习班
24+阅读 · 2019年1月3日
什么是深度学习的卷积?
论智
18+阅读 · 2018年8月14日
CNN 反向传播算法推导
统计学习与视觉计算组
30+阅读 · 2017年12月29日
干货 | 深度学习之卷积神经网络(CNN)的前向传播算法详解
机器学习算法与Python学习
9+阅读 · 2017年11月17日
语音识别之--CNN在语音识别中的应用
微信AI
9+阅读 · 2017年8月16日
Arxiv
6+阅读 · 2019年4月8日
Neural Approaches to Conversational AI
Arxiv
8+阅读 · 2018年12月13日
Arxiv
29+阅读 · 2018年4月6日
Arxiv
8+阅读 · 2018年1月25日
Arxiv
7+阅读 · 2018年1月24日
VIP会员
相关资讯
一文读懂图卷积GCN
计算机视觉life
21+阅读 · 2019年12月21日
手把手解释实现频谱图卷积
AI科技评论
9+阅读 · 2019年9月9日
卷积神经网络四种卷积类型
炼数成金订阅号
18+阅读 · 2019年4月16日
图卷积神经网络(GCN)文本分类详述
专知
280+阅读 · 2019年4月5日
图卷积网络到底怎么做,这是一份极简的Numpy实现
图卷积网络介绍及进展【附PPT与视频资料】
人工智能前沿讲习班
24+阅读 · 2019年1月3日
什么是深度学习的卷积?
论智
18+阅读 · 2018年8月14日
CNN 反向传播算法推导
统计学习与视觉计算组
30+阅读 · 2017年12月29日
干货 | 深度学习之卷积神经网络(CNN)的前向传播算法详解
机器学习算法与Python学习
9+阅读 · 2017年11月17日
语音识别之--CNN在语音识别中的应用
微信AI
9+阅读 · 2017年8月16日
相关论文
Arxiv
6+阅读 · 2019年4月8日
Neural Approaches to Conversational AI
Arxiv
8+阅读 · 2018年12月13日
Arxiv
29+阅读 · 2018年4月6日
Arxiv
8+阅读 · 2018年1月25日
Arxiv
7+阅读 · 2018年1月24日
Top
微信扫码咨询专知VIP会员