北大新研究用数学模型揭网红崛起奥秘!登上Nature子刊

2021 年 12 月 6 日 新智元



  新智元报道  

编辑:David

【新智元导读】社交媒体上的「网红」是怎样产生的?在一项发表于《自然·通讯》的研究中,北京大学与瑞士苏黎世联邦理工大学领导的研究团队合作,通过数学模型揭示了「网红」崛起之路。

社交网络对我们生活的影响越来越广:在信息传播、新技术应用、舆论营造和形成中都发挥着关键作用。2020 年,推特用户每天发送 5 亿条推文,超过 8000 万张图片通过Instagram发布。
 
这些基于 UGC 的定向在线平台在很大程度上影响了社会,社交网络用户所能接触到的信息和受众,远远超出现实生活中的朋友。在这个过程中,一些用户迅速获得人气,成为所谓的「网红」。
 

这些追随者众多的「网红」的社会影响力不可小觑。,已经深刻影响了消费者和公司在市场中的行为,2017 年,超过 70% 的美国企业聘请 Instagram 网红来推广产品。
 
网红是如何产生的?背后的机制究竟是什么?这些问题引发了越来越多学者的关注。
 
 
论文链接:
https://www.nature.com/articles/s41467-021-27089-8.pdf
 
近日,由北京大学、瑞士苏黎世联邦理工大学领导的研究团队就从数学模型角度,对社交网络上的「显著影响者」,即「网红」的产生和被用户关注的机制进行了分析。
 
这篇文章发表在近日出版的《自然·通信》上。
 

与 21 世纪头十年蓬勃发展的 Facebook 和 LinkedIn 相比,当今最流行的平台,例如 Twitter、Instagram 或 TikTok,表现出一些其他明显的特征。

最明显的区别之一是,这些新的在线社交平台属于定向网络,也就是说,不需要双方同意,也可以按照算法推荐建立关系。
 

新网红是如何产生的?


从直观上,质量更好的 UGC 更有可能吸引用户,情感价值更高,更容易成为「网红」。 但研究表明,除了少数模型之外,其他领域的「网红」产生规模效应的研究更加集中社会经济方面,忽略了 UGC 的影响。
 
之前阐释网红诞生机制的模型,基于「优先依恋」模型。不过这种「富人会越来越富」的理论,并不能证明新的 Instagram网红崛起的原因,很多网红在成功之前都是没什么名气的。
 

「内容为王」:生成内容质量更高


文章提出了一种简单但可预测的网络形成机制,结合了功利原则和 UGC 质量。 研究假设用户有共同的兴趣,并将他们与定义其 UGC 质量的属性相关联。
 
 
为了定义基于 UGC 的形成过程,研究人员收集了Twitter 数据集,分析连接的时间序列,发现有证据表明,网红的形成过程源于个人对更好质量的 UGC 的不断搜索,并与关注者的兴趣出现了「对齐」,即网红与粉丝的兴趣同质性。
 
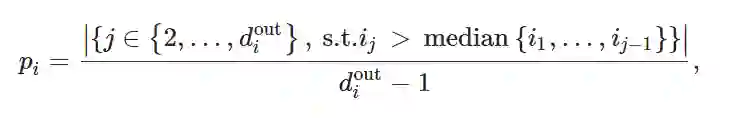
关注者的数量可以被视为网红UGC质量的agent。按照UGC质量降序给agent进行编号。agent1被视作UGC质量最高,agent2质量次之,以此类推。
 
对于agent i,计算出新连接比之前连接的中位数排名更高(在排名中)的可能性。
 
研究结果与假设吻合,按照被关注可能性评估,关注者始终在追寻UGC质量更好的网红。
 
 
研究数据与纯随机结果(浅蓝色)的比较,二者在统计学上差异显著。
 

齐夫定律


 
齐夫定律(Zipf's law)是由哈佛大学的语言学家乔治·金斯利·齐夫于1949年发表的实验定律。它可以表述为:在自然语言的语料库里,一个单词出现的频率与它在频率表里的排名成反比。
 
所以,频率最高的单词出现的频率大约是出现频率第二位的单词的2倍,而出现频率第二位的单词则是出现频率第四位的单词的2倍。
 
实验证明,本研究中的模型也遵循这一缩放定律。
 
 

网红粉丝的「重叠」


分析两个网红被同一个第三个用户关注的概率也是一个有趣的问题。 换句话说,目标是研究不同agent的粉丝集合之间的相似性。 这个相似性揭示了粉丝的共同兴趣的存在。
 
 
为了验证模型,研究人员在Twitch上收集了三个数据集,这是一个流行的在线游戏平台,并成功验证了模型的正确性。
 
这表明,本文中的模型尽管形式简单,但已经得出了几个现实世界中影响「网红」崛起的属性。
 
 
如上图所示,agent的粉丝在前 15 个节点之间的重叠结果和验证数据集对照。a图平均数值结果是从模拟中获得的,当达到平衡时,有 10^5 个代理。b图来自与国际象棋类别相关的 Twitch 数据集结果。
 

未来方向


许多当今最流行的在线社交网络都在很大程度上基于 UGC。 此文分析了基于 UGC 的在线社交网络的几个宏观特征。
 
此外,由于简单,该模型可以向不同方向扩展,例如通过考虑不同的更新规则和社会学激励加以丰富。另一种可能是引入多维质量属性,来应对多种兴趣的可能性。
 
该模型还可以适应不断增长的网络形成模型,用户可以在不同时间加入,研究一些网红的崛起和。在理想情况下,这些研究可以与不同平台的实证分析相结合,比如在新一代中占主导地位的 Instagram 或 TikTok等。
 
未来,关于推荐系统在社交媒体平台上的作用,及其对用户行为的影响的初步结果,可能进一步扩展。用户行为与平台机制之间的相互作用,属于一个广泛、未探索的研究方向,可能会进一步阐明数字化大趋势对我们社会的影响。
 

参考资料:

 

https://www.nature.com/articles/s41467-021-27089-8#Sec2

https://www.groovypost.com/howto/instagram-tips-tricks


登录查看更多
0

相关内容

Instagram 是一款运行在 iPhone 和 Android 平台上的应用程序,允许用户在任何环境下抓拍下自己的生活记忆,选择图片的滤镜样式,一键分享至社会化平台上。Instagram 在移动端融入了很多社会化元素,包括好友关系的建立、回复、分享等,这是Instagram 作为服务存在而非应用存在最大的价值。 instagram.com/ 
【Nature. Mach. Intell. 】图神经网络论文汇集
专知会员服务
47+阅读 · 2022年3月26日
MIT设计深度学习框架登Nature封面,预测非编码区DNA突变
专知会员服务
15+阅读 · 2022年3月18日
Nature论文: DeepMind用AI引导直觉解决数学猜想难题
专知会员服务
31+阅读 · 2021年12月2日
人工智能顶会WSDM2021优秀论文奖(Best Paper Award Runner-Up)出炉
【Nature通讯】深度神经网络模型中的个体差异
专知会员服务
14+阅读 · 2020年11月16日
【Twitter】时序图神经网络
专知会员服务
95+阅读 · 2020年10月15日
来看看几篇Nature上的GNN吧~
图与推荐
2+阅读 · 2022年3月25日
最新研究:怎样才算一见钟情?
学术头条
0+阅读 · 2021年11月9日
2019,再不做私域流量就晚了?
互联网er的早读课
16+阅读 · 2019年4月10日
国家自然科学基金
3+阅读 · 2015年12月31日
国家自然科学基金
1+阅读 · 2014年12月31日
国家自然科学基金
0+阅读 · 2014年12月31日
国家自然科学基金
0+阅读 · 2014年12月31日
国家自然科学基金
1+阅读 · 2013年12月31日
国家自然科学基金
0+阅读 · 2011年12月31日
国家自然科学基金
1+阅读 · 2009年12月31日
Arxiv
0+阅读 · 2022年4月16日
Arxiv
19+阅读 · 2020年7月13日
VIP会员
相关VIP内容
相关基金
国家自然科学基金
3+阅读 · 2015年12月31日
国家自然科学基金
1+阅读 · 2014年12月31日
国家自然科学基金
0+阅读 · 2014年12月31日
国家自然科学基金
0+阅读 · 2014年12月31日
国家自然科学基金
1+阅读 · 2013年12月31日
国家自然科学基金
0+阅读 · 2011年12月31日
国家自然科学基金
1+阅读 · 2009年12月31日
Top
微信扫码咨询专知VIP会员