【机器学习】三层神经网络

2019 年 11 月 21 日 AINLP




本文介绍了传统的三层神经网络模型,首先介绍了网络中的神经单元概念,将一个神经单元视为一个逻辑回归模型。因此,神经网络可以看作是逻辑回归在(宽度,深度)上的延伸;然后,前向传播是一个复合函数不断传播的过程,最终视目标而定损失函数;最后,反向传播则是对复合函数求导的过程。当然三层神经网络只是深度学习的雏形,如今深度学习已经包罗万象。


作者 | 文杰

编辑 | yuquanle




三层神经网络


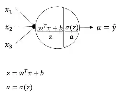
A、神经单元


深度学习的发展一般分为三个阶段,感知机-->三层神经网络-->深度学习(表示学习)。早先的感知机由于采用线性模型,无法解决异或问题,表示能力受到限制。为此三层神经网络放弃了感知机良好的解释性,而引入非线性激活函数来增加模型的表示能力。三层神经网络与感知机的两点不同:

1)非线性激活函数的引入,使得模型能解决非线性问题。

2)引入激活函数之后,不再会有 损失的情况,损失函数采用对数损失,这也使得三层神经网络更像是三层多元(神经单元)逻辑回归的复合。


神经网络中每一个神经元都可以看作是一个逻辑回归模型,三层神经网络就是三层逻辑回归模型的复合,只是不像逻辑回归中只有一个神经元,一般输入层和隐藏层都是具有多个神经元,而输出层对应一个logistic回归单元或者softmax单元,或者一个线性回归模型。

这里对一些常用的非线性激活函数做一些简单的介绍(图像,性质,导数):











性质对于以上几个非线性激活函数都可以看作是

的一个近似。采用近似的一个重要原因是为了求导,早起常采用平滑的sigmoid和tanh函数,然而我们可以发现这两个函数在两端都存在导数极小的情况,这使得多层神经网络在训练时梯度消失,难以训练。而Relu函数则很好的解决两端导数极小的问题,也是解决神经网络梯度消失问题的一种方法。

导数








B、前向传播


前向传播是一个复合函数的过程,每一个神经元都是一个线性函数加一个非线性函数的复合,整个网络的结构如下:其中上标表示网络层,所以 表示输出层。

向量形式:



矩阵形式:



其中线性函数还是 ,不过要注意的是这里由于每一层不仅一个神经元,所以逻辑回归中的向量 则扩展为矩阵,表示有多个神经元(也正是因为多个神经元,导致神经网络具有提取特征的能力)。非线性函数则可以有以下选择,目前来看Relu函数具有一定的优势。

其中值得注意的是矩阵的行列,深度学习常采用一列表示一个样本,所以网络中数据矩阵的大小如下:







损失函数同样采用对数损失(二分类):



C、反向传播


由于神经网络是一个多层的复合函数,前向传播就是在计算复合函数,所以反向传播就是一个链式求导过程,确定所有参数的负梯度方向,采用梯度下降的方法来更行每一层网络的参数。

1.损失函数:



2.激活函数:




3.线性函数:




对于损失函数直接对各个变量求导如下:





值得注意的是激活函数是一个数值操作,不涉及矩阵求导,线性函数中 是因为 是作用于 个样本,所以在确定负梯度方向时需要 个样本取均值,而对 求导则不需要求均值。



代码实战




int trainDNN()
{
    Matrix x;
    char file[20]="data\\train.txt";
    x.LoadData(file);
    x = x.transposeMatrix();
    cout<<"x,y"<<endl;
    cout<<"----------------------"<<endl;
    Matrix y;
    cout<<x.row<<endl;
    y=x.getOneRow(x.row-1);
    x.deleteOneRow(x.row-1);
    y=one_hot(y,2);
    cout<<x.row<<"*"<<x.col<<endl;
    cout<<y.row<<"*"<<y.col<<endl;
    const char *initialization="he";
    double learn_rateing=0.1;
    int iter=1000;
    double lambd=0.1;
    double keep_prob=0.5;
    bool print_cost=true;
    const char *optimizer="gd";
    int mini_batch_size=64;
    double beta1=0.9;
    double beta2=0.999;
    double epsilon=0.00000001;

    DNN(x,y,optimizer="gd",learn_rateing=0.001,initialization="he",lambd=0.001,keep_prob = 1,mini_batch_size=64, \
        beta1=0.9, beta2=0.999, epsilon=0.00000001, iter=5000, print_cost=true);
    predict(x,y);
    return 0;
}




int DNN(Matrix X,Matrix Y,const char *optimizer,double learn_rateing,const char *initialization, double lambd, double keep_prob, \
        int mini_batch_size,double beta1, double beta2, double epsilon, int iter, bool print_cost)

{
    /**
    初始化参数
    **/

    int i=0,k=0;
    int lay_dim=3;
    int lay_n[3]= {0,3,1};
    lay_n[0]=X.row;
    string lay_active[3]= {"relu","relu","sigmoid"};
    sup_par.layer_dims=lay_dim;
    for(i=0; i<lay_dim; i++)
    {
        sup_par.layer_n[i]=lay_n[i];
        sup_par.layer_active[i]=lay_active[i];
    }
    init_parameters(X,initialization);
    double loss;

    Matrix AL(Y.row,Y.col,0,"ss");
    double *keep_probs;
    if(keep_prob==1)
    {
        keep_probs=new double (sup_par.layer_dims);
        for(k=0;k<sup_par.layer_dims;k++)
        {
            keep_probs[k]=1;
        }
    }
    else if (keep_prob<1)
    {
        keep_probs=new double (sup_par.layer_dims);
        for(k=0;k<sup_par.layer_dims;k++)
        {
            if(k==0 || k==sup_par.layer_dims-1)
            {
                keep_probs[k]=1;
            }
            else
            {
                keep_probs[k]=1;
            }
        }
    }
    for(i=0; i<iter; i++)
    {
        //cout<<"-----------forward------------"<<"i="<<i<<endl;
        AL=model_forward(X,keep_probs);
        //cout<<"-----------loss--------------"<<endl;
        loss=cost_cumpter(AL,Y,lambd);
        if(i%100==0)
            cout<<"loss="<<loss<<endl;
        //cout<<"-----------backword-----------"<<endl;
        model_backword(AL,Y,lambd,keep_probs);

        //cout<<"-----------update--------------"<<endl;
        updata_parameters(learn_rateing,i+1,optimizer,beta1,beta2,epsilon);
    }
    predict(X,Y);
    return 0;
}




int predict(Matrix X,Matrix Y)
{
    int i,k;
    parameters *p;
    p=&par;
    p->A = X.copyMatrix();
    Matrix AL;
    double *keep_probs=new double [sup_par.layer_dims];
    for(k=0;k<sup_par.layer_dims;k++)
    {
        keep_probs[k]=1;
    }
    AL=model_forward(X,keep_probs);
    for(i=0;i<Y.col;i++)
    {
        if(AL.data[0][i]>0.5)
            AL.data[0][i]=1;
        else
            AL.data[0][i]=0;
    }
    double pre=0;
    for(i=0;i<Y.col;i++)
    {
        if((AL.data[0][i]==1 && Y.data[0][i]==1)||(AL.data[0][i]==0 && Y.data[0][i]==0))
            pre+=1;
    }
    pre/=Y.col;
    cout<<"pre="<<pre<<endl;
    return 0;
}






本文转载自公众号:AI小白入门,作者:文杰

推荐阅读


SemBERT: BERT 的语义知识增强


BERT fintune 的艺术


子词技巧:The Tricks of Subword


T5 模型:NLP Text-to-Text 预训练模型超大规模探索

BERT 瘦身之路:Distillation,Quantization,Pruning

Transformer (变形金刚,大雾) 三部曲:RNN 的继承者


关于AINLP


AINLP 是一个有趣有AI的自然语言处理社区,专注于 AI、NLP、机器学习、深度学习、推荐算法等相关技术的分享,主题包括文本摘要、智能问答、聊天机器人、机器翻译、自动生成、知识图谱、预训练模型、推荐系统、计算广告、招聘信息、求职经验分享等,欢迎关注!加技术交流群请添加AINLP君微信(id:AINLP2),备注工作/研究方向+加群目的。


登录查看更多
0

相关内容

逻辑回归(也称“对数几率回归”)(英语:Logistic regression 或logit regression),即逻辑模型(英语:Logit model,也译作“评定模型”、“分类评定模型”)是离散选择法模型之一,属于多重变量分析范畴,是社会学、生物统计学、临床、数量心理学、计量经济学、市场营销等统计实证分析的常用方法。在统计学中,logistic模型(或logit模型)用于对存在的某个类或事件的概率建模,例如通过/失败、赢/输、活着/死了或健康/生病。这可以扩展到建模若干类事件,如确定一个图像是否包含猫、狗、狮子等。图像中检测到的每个物体的概率都在0到1之间,其和为1。
专知会员服务
74+阅读 · 2020年5月21日
Sklearn 与 TensorFlow 机器学习实用指南,385页pdf
专知会员服务
131+阅读 · 2020年3月15日
机器学习速查手册,135页pdf
专知会员服务
345+阅读 · 2020年3月15日
谷歌机器学习速成课程中文版pdf
专知会员服务
147+阅读 · 2019年12月4日
激活函数初学者指南
论智
6+阅读 · 2018年5月15日
机器学习必知的8大神经网络架构
七月在线实验室
7+阅读 · 2018年4月26日
吴恩达机器学习课程
平均机器
9+阅读 · 2018年2月5日
理解神经网络的激活函数
论智
7+阅读 · 2018年1月8日
神经网络bp算法推导
统计学习与视觉计算组
11+阅读 · 2017年11月17日
干货|浅谈神经网络中激活函数的设计
机器学习研究会
5+阅读 · 2017年10月28日
机器学习(7)之感知机python实现
机器学习算法与Python学习
4+阅读 · 2017年7月23日
Do RNN and LSTM have Long Memory?
Arxiv
19+阅读 · 2020年6月10日
Arxiv
5+阅读 · 2018年5月28日
Arxiv
3+阅读 · 2018年5月28日
Arxiv
25+阅读 · 2018年1月24日
Arxiv
10+阅读 · 2017年12月29日
Arxiv
5+阅读 · 2015年9月14日
VIP会员
相关VIP内容
专知会员服务
74+阅读 · 2020年5月21日
Sklearn 与 TensorFlow 机器学习实用指南,385页pdf
专知会员服务
131+阅读 · 2020年3月15日
机器学习速查手册,135页pdf
专知会员服务
345+阅读 · 2020年3月15日
谷歌机器学习速成课程中文版pdf
专知会员服务
147+阅读 · 2019年12月4日
相关资讯
激活函数初学者指南
论智
6+阅读 · 2018年5月15日
机器学习必知的8大神经网络架构
七月在线实验室
7+阅读 · 2018年4月26日
吴恩达机器学习课程
平均机器
9+阅读 · 2018年2月5日
理解神经网络的激活函数
论智
7+阅读 · 2018年1月8日
神经网络bp算法推导
统计学习与视觉计算组
11+阅读 · 2017年11月17日
干货|浅谈神经网络中激活函数的设计
机器学习研究会
5+阅读 · 2017年10月28日
机器学习(7)之感知机python实现
机器学习算法与Python学习
4+阅读 · 2017年7月23日
相关论文
Do RNN and LSTM have Long Memory?
Arxiv
19+阅读 · 2020年6月10日
Arxiv
5+阅读 · 2018年5月28日
Arxiv
3+阅读 · 2018年5月28日
Arxiv
25+阅读 · 2018年1月24日
Arxiv
10+阅读 · 2017年12月29日
Arxiv
5+阅读 · 2015年9月14日
Top
微信扫码咨询专知VIP会员