【学界】AAAI 2019 论文解读 | 基于区域分解集成的目标检测

2019 年 3 月 4 日 GAN生成式对抗网络

来源: PaperWeekly


本文解读的是一篇发表于 AAAI 2019 的 paper,文章提出了一种 R-DAD 的方法来对 RCNN 系列的目标检测方法进行改进。



研究动机


目前主流的目标检测算法分为 1 stage 和 2 stage 的,而 2 stage 的目标检测方法以 Faster-RCNN 为代表是需要 RPN(Region Proposals Network)生成 RoI(Region of Interests,感兴趣区域)的,文章认为正是因为被遮挡了的或者不精确的 Region Proposals 导致目标检测算法的不准确。


作者的想法动机其实很简单,就是假如一辆车的左边被人遮挡了,那么这辆车的右边带来的信息其实才是更可信的。基于这个想法,文章提出 R-DAD(Region Decomposition and Assembly Detector),即区域分解组装检测器,来改善生成的 Region Proposals。


R-DAD的网络结构


文章以 Faster-RCNN 的网络结构为例,修改成它提出的 R-DAD 结构:



R-DAD 网络架构主要分成两个模块 MRP 和 RDA:


1. MRP(Multi-Scale Region Proposal)模块,用来改善 RPN 生成的 Region Proposals 的准确率。


 图1. MRP模块,框内分别对应S=0.7,1,1.2的Region Proposals


MRP 表面意思就是生成多尺度的 Region Proposal,方法很简单,就是使用传统的 RPN 生成一些建议框,然后用不同的缩放因子(文章使用了 5 种缩放因子作为一组 s=[0.5,0.7,1,1.2,1.5])对生成出的建议框进行不同比例的缩小放大,从而提高 Region Proposals 的多样性。


如图一,生成了不同尺度的区域,有一些仅仅是局部有一些是大于目标本身的,但是这也带来了一个问题,就是原来的 Region Proposals 已经可以说是极大的数量了,再乘以五倍,想要网络能够完全利用这些建议框是不切实际的,作者最后还添加了 RoI 的采样层,对分数低的和跟 ground truth 重叠率低的进行了筛选。 


由 MRP 网络生成的各种 Region Proposals 可以进一步适应目标之间因为空间变化所导致的特征变化,提高结构的鲁棒性。 


2. RDA(Region Decomposition and Assembly)模块,作者也称它为 mutil-region-based appearance model,即基于多区域的外观模型,它可以同时描述一个物体的全局外观和局部外观,RDA 分为目标分解和目标区域集成的两部分,目标分解如图二所示,把一个目标分为上下左右四个方向的分解部分。



一般会先用线性插值两倍上采样之后再分解,后面作者给出了表格表示这样效果更好。左右刚好是特征图的左右一半,上下也同理,都会送入 RAB 模块,RAB 模块如图三所示:


 图3. RAB模块


其实就是下面这个函数:




其中 p 代表着上下左右的每一个部分或者组合后的部分如左-右 (l/r)、下-上 (b/u) 和 comb(l/r 与 b/u 的组合),*是卷积操作,f() 是 ReLU 单元。最后再取 max,是为了融合的信息,生成同样大小的


最后就是代表着全局信息的 scale 为 1 生成的 Region Proposals,一起送进 RAB 模块。这样整个网络结构就可以做到既捕捉到局部信息的同时,也不丢失全局信息。 


RAB 模块是一个类似 maxout 的单元,理论上它可以逼近任何连续的函数,所以我们使用 RAB 而不是直接使用 ReLU。这表明可以通过配置不同的分层地组合 RAB 模块来表示各种各样的目标特征。


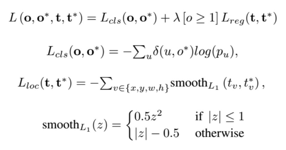
损失函数


对每一个框 (box) d,我们都会通过 IoU 筛选出跟 GT (ground truth) 最匹配的 d*,如果 d 跟任何的 d* 的 IoU 超过 0.5,给予正标签,若在 0.1 到 0.5 之间的,给予负标签。R-DAD 的输出层对每一个框 d 都有四个参数化坐标和一个分类标签。对于 box regression 来说,我们与以往目标检测的参数化一致如下:



同理,是用来评估预测框和 GT 的差距的。 


跟训练 RPN 网络相似,R-DAD 也需要最小化分类损失和回归损失,如下:



实验结果


文章中做了各种设置的组合,关于 MRP 里缩放因子的组合、是否有 RDA 模块以及是否上采样,得分如下表所示:



与 Faster-RCNN 对比,作者使用了 VOC07trainval 和 VOC12trainval 数据集训练,再在 VOC07test 上测试,并且用了不同的特征提取器(VGG、ZF、Res101),得分均比 Faster-RCNN 高。



在速度方面均比 Faster-RCNN 慢。



与没有上下区域分解集成的 R-DAD 对比,有上下分解集成的误判率低很多,因为它在复杂情形下被遮挡物体会更有选择地相信得到的信息。




R-DAD的优点


1. 文章提出因为我们最大化目标在横向空间位置上局部特征的语义响应,与使用支持小区域的最大池化相比,在没有深层次结构的情况下,我们可以改善特征位置的空间不变性。我的理解就是作者取了上下左右四个方向的特征模板,最后对四个方向进行了融合语义信息,利用了横向空间上的空间不变性,揭示了不同方向上的语义关系。 


2. 在复杂场景下,如有目标对象被另一目标对象遮挡时,通过左右上下模板筛选出来的特征是更符合真实场景的,这样的 Region Proposals 也更加可信。 


3. 同时描述了全局特征和局部特征的语义信息,在 RAB 的组装上具有很强的可操作性,通过配置分层式地组装 RAB 模块,以及修改特征模板,特征的表达会更加灵活。


点评


这个区域分解集成的算法令我觉得跟以前传统的人脸识别算法提取 Haar-like 特征有点异曲同工之处,同样都是把特征图分成上下两部分,然后做特征提取操作,都是定义了特定的特征模板,这就很容易理解为什么作者要做 multi scale 的操作了,因为在以前使用 Haar/SIFT/HoG 的时候,往往都需要使用 muti scale 来检测。 


但是 R-DAD 为什么对特征只分成上下各一半,左右各一半这种特征模板,文章并没有给出令人信服的理由。尽管如此,这也是一个对目标检测的改进方向,通过 MRP 和 RDA 模块代替了之前的单纯的 RPN 网络,而且在不使用 FPN (Feature Pyramid Networks) 的情况下取得了不错的 mAP,这样看来 R-DAD 是 2 stage 目标检测系列的另一种技巧,综合了横向空间上的语义信息。



高质量延伸阅读

☞ OpenPV平台发布在线的ParallelEye视觉任务挑战赛

【学界】第1届“智能车辆中的平行视觉”研讨会成功举行

【学界】生成式对抗网络:从生成数据到创造智能

【学界】OpenPV:中科院研究人员建立开源的平行视觉研究平台

【学界】基于平行视觉的特定场景下行人检测

【学界】ParallelEye:面向交通视觉研究构建的大规模虚拟图像集

【CFP】Virtual Images for Visual Artificial Intelligence

【最详尽的GAN介绍】王飞跃等:生成式对抗网络 GAN 的研究进展与展望

【智能自动化学科前沿讲习班第1期】王飞跃教授:生成式对抗网络GAN的研究进展与展望

【智能自动化学科前沿讲习班第1期】王坤峰副研究员:GAN与平行视觉

【重磅】平行将成为一种常态:从SimGAN获得CVPR 2017最佳论文奖说起

【平行讲坛】平行图像:图像生成的一个新型理论框架

【学界】基于生成对抗网络的低秩图像生成方法

【学界】Ian Goodfellow等人提出对抗重编程,让神经网络执行其他任务

【学界】六种GAN评估指标的综合评估实验,迈向定量评估GAN的重要一步

【资源】T2T:利用StackGAN和ProGAN从文本生成人脸

【学界】 CVPR 2018最佳论文作者亲笔解读:研究视觉任务关联性的Taskonomy

【业界】英特尔OpenVINO™工具包为创新智能视觉提供更多可能

【学界】ECCV 2018: 对抗深度学习: 鱼 (模型准确性) 与熊掌 (模型鲁棒性) 能否兼得 

【学界】何恺明组又出神作!最新论文提出全景分割新方法

登录查看更多
8

相关内容

目标检测,也叫目标提取,是一种与计算机视觉和图像处理有关的计算机技术,用于检测数字图像和视频中特定类别的语义对象(例如人,建筑物或汽车)的实例。深入研究的对象检测领域包括面部检测和行人检测。 对象检测在计算机视觉的许多领域都有应用,包括图像检索和视频监视。

知识荟萃

精品入门和进阶教程、论文和代码整理等

更多

查看相关VIP内容、论文、资讯等
深度学习目标检测方法及其主流框架综述
专知会员服务
148+阅读 · 2020年6月26日
【文献综述】深度学习目标检测方法及其主流框架综述
专知会员服务
119+阅读 · 2020年6月26日
【CVPR2020】跨模态哈希的无监督知识蒸馏
专知会员服务
61+阅读 · 2020年6月25日
3D目标检测进展综述
专知会员服务
193+阅读 · 2020年4月24日
专知会员服务
164+阅读 · 2020年4月21日
CVPR2020 | 商汤-港中文等提出PV-RCNN:3D目标检测新网络
专知会员服务
45+阅读 · 2020年4月17日
知识图谱本体结构构建论文合集
专知会员服务
110+阅读 · 2019年10月9日
基础知识 | 目标检测中Anchor的认识及理解
计算机视觉战队
35+阅读 · 2019年3月5日
目标检测论文阅读:DetNet
极市平台
9+阅读 · 2019年1月28日
CVPR2018 目标检测算法总览(最新的目标检测论文)
极市平台
21+阅读 · 2018年12月21日
Cascade R-CNN 论文笔记
统计学习与视觉计算组
8+阅读 · 2018年6月28日
Faster R-CNN
数据挖掘入门与实战
4+阅读 · 2018年4月20日
Fast R-CNN
数据挖掘入门与实战
3+阅读 · 2018年4月20日
基于区域的目标检测——细粒度
计算机视觉战队
14+阅读 · 2018年2月1日
论文 | 基于CNN的目标检测算法
七月在线实验室
9+阅读 · 2017年12月7日
Self-Attention Graph Pooling
Arxiv
5+阅读 · 2019年4月17日
Factor Graph Attention
Arxiv
6+阅读 · 2019年4月11日
Arxiv
5+阅读 · 2019年4月8日
Arxiv
26+阅读 · 2018年9月21日
Arxiv
19+阅读 · 2018年5月17日
Arxiv
11+阅读 · 2018年4月8日
VIP会员
相关VIP内容
深度学习目标检测方法及其主流框架综述
专知会员服务
148+阅读 · 2020年6月26日
【文献综述】深度学习目标检测方法及其主流框架综述
专知会员服务
119+阅读 · 2020年6月26日
【CVPR2020】跨模态哈希的无监督知识蒸馏
专知会员服务
61+阅读 · 2020年6月25日
3D目标检测进展综述
专知会员服务
193+阅读 · 2020年4月24日
专知会员服务
164+阅读 · 2020年4月21日
CVPR2020 | 商汤-港中文等提出PV-RCNN:3D目标检测新网络
专知会员服务
45+阅读 · 2020年4月17日
知识图谱本体结构构建论文合集
专知会员服务
110+阅读 · 2019年10月9日
相关资讯
基础知识 | 目标检测中Anchor的认识及理解
计算机视觉战队
35+阅读 · 2019年3月5日
目标检测论文阅读:DetNet
极市平台
9+阅读 · 2019年1月28日
CVPR2018 目标检测算法总览(最新的目标检测论文)
极市平台
21+阅读 · 2018年12月21日
Cascade R-CNN 论文笔记
统计学习与视觉计算组
8+阅读 · 2018年6月28日
Faster R-CNN
数据挖掘入门与实战
4+阅读 · 2018年4月20日
Fast R-CNN
数据挖掘入门与实战
3+阅读 · 2018年4月20日
基于区域的目标检测——细粒度
计算机视觉战队
14+阅读 · 2018年2月1日
论文 | 基于CNN的目标检测算法
七月在线实验室
9+阅读 · 2017年12月7日
相关论文
Self-Attention Graph Pooling
Arxiv
5+阅读 · 2019年4月17日
Factor Graph Attention
Arxiv
6+阅读 · 2019年4月11日
Arxiv
5+阅读 · 2019年4月8日
Arxiv
26+阅读 · 2018年9月21日
Arxiv
19+阅读 · 2018年5月17日
Arxiv
11+阅读 · 2018年4月8日
Top
微信扫码咨询专知VIP会员