搜出来的文本:从文本生成到搜索采样

2021 年 1 月 25 日 PaperWeekly


©PaperWeekly 原创 · 作者|苏剑林

单位|追一科技

研究方向|NLP、神经网络


最近,笔者入了一个新坑:基于离散优化的思想做一些文本生成任务。简单来说,就是把我们要生成文本的目标量化地写下来,构建一个分布,然后搜索这个分布的最大值点或者从这个分布中进行采样,这个过程通常不需要标签数据的训练。

由于语言是离散的,因此梯度下降之类的连续函数优化方法不可用,并且由于这个分布通常没有容易采样的形式,直接采样也不可行,因此需要一些特别设计的采样算法,比如拒绝采样(Rejection Sampling)、MCMC(Markov Chain Monte Carlo)、MH 采样(Metropolis-Hastings Sampling)、吉布斯采样(Gibbs Sampling),等等。

有些读者可能会觉得有些眼熟,似乎回到了让人头大的学习 LDA(Latent Dirichlet Allocation)的那些年?没错,上述采样算法其实也是理解 LDA 模型的必备基础。本文我们就来回顾这些形形色色的采样算法,它们将会出现在后面要介绍的丰富的文本生成应用中。


明确目标

很多时候,我们需要根据一些特定的信息 来生成目标文本 ,用数学的话说就是条件语言模型 ,不过我们无法得到足够多的语料对 去直接监督训练一个条件语言模型,而是只能训练一个无条件的语言模型 ,但我们又可以人为地设计一个指标来定量描述 之间的联系。
那么在这种情况下,如何根据无条件的语言模型 之间的联系来做有条件的文本生成,便成为了我们的研究对象。我们可以称之为“受限文本生成(Constrained Text Generation)”
举例来说,用关键词造句,那么 就是关键词的集合,我们可以定义示性函数:

继而定义:

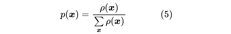
保证了生成句子的流畅性, 保证了生成句子包含所要求的关键词,那么问题就可以变成最大化操作 或采样操作 。当然,这里的 还不是概率分布,要完成归一化后才是真正的概率分布:

但分母通常是难以显式计算出来的。那也就是说,我们对待采样分布也只了解到它正比于某个函数 ,而不知道精确的分布表达式。
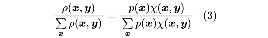
类似的例子并不少,比如说文本摘要。什么是文本摘要呢?其实就是用更少的文字 尽可能表达出跟原文 一样的意思,这时候我们可以定义:

这里的 是某个文本相似度函数,而 是长度的示性函数,即 的长度在某个范围(可能依赖于 )内,它就为 1,否则为 0。此时我们同样得到了一个未归一化的概率分布 ,需要最大化它或者从它里边采样。
很明显,这个目标就意味着我们要得到一段跟原文语义尽可能相似的、长度满足一定约束的文字,这不就是摘要的存在意义吗?所以,这套思路的核心出发点就在于:我们要把自己要生成的目标定量地捋清楚,然后再去执行下一步操作。


困难分析
所以,抛开前面的背景不说,现在我们面临的问题就是有一个分布 ,我们只知道 ,即:

中的分母我们无法显式计算出来。在本系列文章中, 代表文本,即一个离散元素的序列,但后面的推论同样也适用于 是连续型向量的场景。现在我们要搜索最大位置 或进行采样 ,后面我们将会看到,搜索最大值其实也可以看成是采样的特例,因此我们主要关心采样方式。
前面说了,之所以需要设计一些特别的算法来完成采样,是因为直接从 中采样是困难的,而我们需要理解采样的困难所在,才能真正理解后面所设计的采样算法的关键之处。困难在哪?
如果 的候选值空间不大,哪怕有 100 万个候选值,我们都可以把每个 都算出来,然后按照普通的类别采样来进行。然而,一般 的候选值空间远远不止 100 万,假如 有 10 个分量,每个分量有 1 万个选择(对应于候选字数目),那么总的排列就有 种了,不可能事先算好每一种排列的概率然后依概率采样。
那怎么办呢?所谓“不积硅步,无以至千里”,那就只能一步步来了,也就是说,我没法直接实现 选 1,那我做 10 次“ 选 1”可以吗?这就对应着所谓的“自回归生成”:

这样我们就可以先从 采样一个 ,然后从 中采样一个 ,依此递归了。但是,自回归生成只是对应于无条件的语言模型或者是有监督训练的 Seq2Seq 模型,而如果希望像前面举的例子那样,往无条件语言模型的生成过程中加点约束,那么对应出来的模型就不再是自回归的了,也就无法按照这样的递归采样了。
所以,我们就不得不需要后面介绍的各种采样算法了,它也是“一步步来”的思想,但所使用的分布形式更加广泛一些。


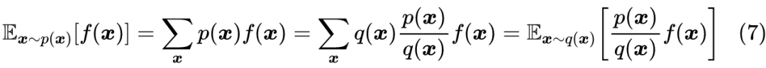
重要采样

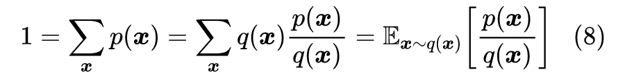
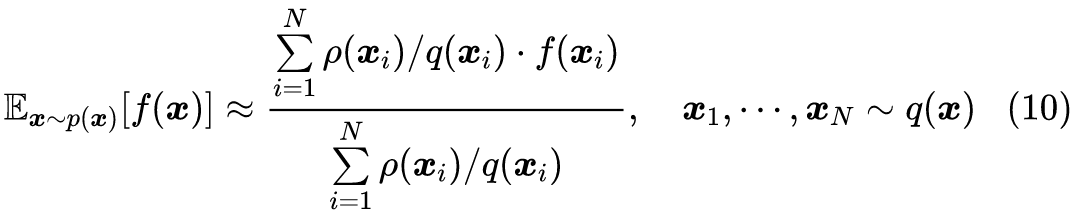
在《从采样看优化:可导优化与不可导优化的统一视角》 [1] 、《如何划分一个跟测试集更接近的验证集?》 [2] 等文章里,我们介绍过“重要性采样”的概念,即如果我们想估计期望 ,但是 又不是易于采样的分布,那么我们可以找一个跟 相近的、易于采样的分布 ,然后根据下述变换:

转化为从 采样来算 的期望了,也就是用 对每个样本进行加权,所以它被称为“重要性采样(Importance Sampling)”。如果只知道 ,那么重要性采样也是可以进行的,这是因为:

所以:

这样一来,我们发现上式只依赖于 的相对值,不依赖于它的绝对值,所以把 换成跟它成正比的 也是可以的,最终简化成:


拒绝采样

上一节的重要性采样实现了将复杂分布期望转化为简单分布期望,但这还不是我们的真正目的,我们要实现的是把样本从分布 中采样出来,而不是估算它的某个期望。思想依然跟重要性采样一样,引入易于采样的分布 ,然后从中随机地筛掉某些样本,使得剩下的样本服从分布
具体来说,假设有函数 ,我们按照如下流程进行采样(即“拒绝采样”):
采样一个样本 ,从 中采样一个随机数 ,若 则接受该样本,否则拒绝并重新按照此流程采样。
那么,此时采样出来的 真正的概率分布是什么呢?其实也不难,由于样本 被保留下来的概率是 ,因此它的相对概率就是 ,我们只需要将它重新归一化:

就得到拒绝采样对应的真正的概率分布了,从这个形式也可以看出,将接受率乘以一个 0 到 1 之间的数,理论上拒绝采样对应的分布是不变的。

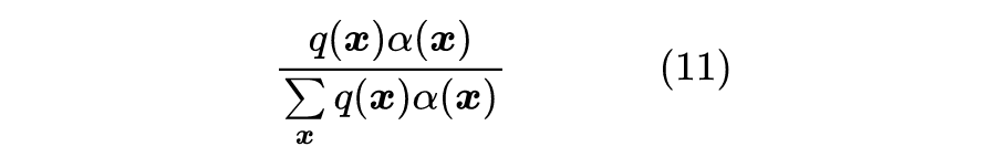
这个过程启示我们,拒绝采样可以让我们实现从正比于 的分布中采样,那么根据 ,我们可以让 作为接受概率,来进行从 出发的拒绝采样,结果就相当于从 采样了。
当然,还没那么简单,根据概率的归一化性质,除非 恒等于 ,否则 不可能一直都在 内。但这不要紧,只要 有上界,那么我们就可以选择一个足够大的常数 M,使得 ,此时以 为接受概率即可,刚才我们说了,乘以一个常数不会影响拒绝采样对应的分布。换句话说,也就是这个过程同样不依赖于完全精确的 ,可以将 换成跟它成正比的
关于接受率 ,尽管理论上只要求它 就行了,但实际上还是以 为好,这是因为过小的接受率会导致拒绝太多(几乎来一个拒绝一个),采样效率太低,生成一个合理的样本的成本过大了。
类似地,尽管理论上对 的要求只是易于采样并且 有上界,但实际上 仍然是越相近越好,否则依然可能造成接受率过低而导致采样成本大到难以接受。所以,尽管拒绝采样看上去提供了一种几乎能从任意分布 中进行采样的方案,但实际应用时近似分布 的设计依然是一个不小的难题。


本文小结

从本文开始,我们开了个新坑,试图从离散优化的角度来完成某些文本生成任务(受限文本生成)。它通过确定一个定量的评估目标,然后通过最大化这个目标或者从中采样就可以得到我们想要的输出,而不需要标签数据监督训练新模型。

在这个过程中,所要用到的工具是一些主要是采样算法,本文先介绍了其中很基本的重要性采样和拒绝采样,后面将会继续完善该系列文章,敬请大家期待。

参考文献

[1] https://kexue.fm/archives/7521
[2] https://kexue.fm/archives/7805

更多阅读




#投 稿 通 道#

 让你的论文被更多人看到 



如何才能让更多的优质内容以更短路径到达读者群体,缩短读者寻找优质内容的成本呢?答案就是:你不认识的人。


总有一些你不认识的人,知道你想知道的东西。PaperWeekly 或许可以成为一座桥梁,促使不同背景、不同方向的学者和学术灵感相互碰撞,迸发出更多的可能性。 


PaperWeekly 鼓励高校实验室或个人,在我们的平台上分享各类优质内容,可以是最新论文解读,也可以是学习心得技术干货。我们的目的只有一个,让知识真正流动起来。


📝 来稿标准:

• 稿件确系个人原创作品,来稿需注明作者个人信息(姓名+学校/工作单位+学历/职位+研究方向) 

• 如果文章并非首发,请在投稿时提醒并附上所有已发布链接 

• PaperWeekly 默认每篇文章都是首发,均会添加“原创”标志


📬 投稿邮箱:

• 投稿邮箱:hr@paperweekly.site 

• 所有文章配图,请单独在附件中发送 

• 请留下即时联系方式(微信或手机),以便我们在编辑发布时和作者沟通



🔍


现在,在「知乎」也能找到我们了

进入知乎首页搜索「PaperWeekly」

点击「关注」订阅我们的专栏吧



关于PaperWeekly


PaperWeekly 是一个推荐、解读、讨论、报道人工智能前沿论文成果的学术平台。如果你研究或从事 AI 领域,欢迎在公众号后台点击「交流群」,小助手将把你带入 PaperWeekly 的交流群里。



登录查看更多
0

相关内容

专知会员服务
43+阅读 · 2021年4月23日
【CVPR2021】面向视频动作分割的高效网络结构搜索
专知会员服务
14+阅读 · 2021年3月14日
少即是多?非参数语言模型,68页ppt
专知会员服务
24+阅读 · 2020年11月22日
最新《知识驱动的文本生成》综述论文,44页pdf
专知会员服务
78+阅读 · 2020年10月13日
【文本生成现代方法】Modern Methods for Text Generation
专知会员服务
44+阅读 · 2020年9月11日
【神经语言生成:形式化,方法与评价,70页pdf】
专知会员服务
37+阅读 · 2020年8月8日
【ICML2020】统一预训练伪掩码语言模型
专知会员服务
27+阅读 · 2020年7月23日
【WWW2020-UIUC】为新闻故事生成具有代表性的标题
专知会员服务
27+阅读 · 2020年3月18日
五千字全面梳理文本匹配
AINLP
5+阅读 · 2020年10月3日
一文超详细讲解文本风格迁移
深度学习自然语言处理
8+阅读 · 2020年6月27日
基于知识图谱的文本挖掘 - 超越文本挖掘
专知
40+阅读 · 2019年8月18日
一文了解采样方法
AI100
5+阅读 · 2018年7月6日
再谈变分自编码器VAE:从贝叶斯观点出发
PaperWeekly
13+阅读 · 2018年4月2日
干货 | 自然语言处理(1)之聊一聊分词原理
机器学习算法与Python学习
5+阅读 · 2017年12月7日
专栏 | 技术干货:一文详解LDA主题模型
机器之心
28+阅读 · 2017年12月1日
基于LDA的主题模型实践(二 )MCMC--吉布斯采样
机器学习深度学习实战原创交流
25+阅读 · 2015年9月17日
Teacher-Student Training for Robust Tacotron-based TTS
VIP会员
相关VIP内容
专知会员服务
43+阅读 · 2021年4月23日
【CVPR2021】面向视频动作分割的高效网络结构搜索
专知会员服务
14+阅读 · 2021年3月14日
少即是多?非参数语言模型,68页ppt
专知会员服务
24+阅读 · 2020年11月22日
最新《知识驱动的文本生成》综述论文,44页pdf
专知会员服务
78+阅读 · 2020年10月13日
【文本生成现代方法】Modern Methods for Text Generation
专知会员服务
44+阅读 · 2020年9月11日
【神经语言生成:形式化,方法与评价,70页pdf】
专知会员服务
37+阅读 · 2020年8月8日
【ICML2020】统一预训练伪掩码语言模型
专知会员服务
27+阅读 · 2020年7月23日
【WWW2020-UIUC】为新闻故事生成具有代表性的标题
专知会员服务
27+阅读 · 2020年3月18日
相关资讯
五千字全面梳理文本匹配
AINLP
5+阅读 · 2020年10月3日
一文超详细讲解文本风格迁移
深度学习自然语言处理
8+阅读 · 2020年6月27日
基于知识图谱的文本挖掘 - 超越文本挖掘
专知
40+阅读 · 2019年8月18日
一文了解采样方法
AI100
5+阅读 · 2018年7月6日
再谈变分自编码器VAE:从贝叶斯观点出发
PaperWeekly
13+阅读 · 2018年4月2日
干货 | 自然语言处理(1)之聊一聊分词原理
机器学习算法与Python学习
5+阅读 · 2017年12月7日
专栏 | 技术干货:一文详解LDA主题模型
机器之心
28+阅读 · 2017年12月1日
基于LDA的主题模型实践(二 )MCMC--吉布斯采样
机器学习深度学习实战原创交流
25+阅读 · 2015年9月17日
Top
微信扫码咨询专知VIP会员