物理学咬文嚼字之一百:万物皆旋(上)

2018 年 8 月 20 日 中国物理学会期刊网

作者:曹则贤 (中国科学院物理研究所)


左旋右转不知疲,千匝万周无已时。

——[唐]白居易《胡旋女》

我以旋转的方式向你靠近,如激流上的花朵,如花朵下的漩涡……

——余秀华《辨认》

We live on a spinning planet in a world of spin1).

——Christopher Buckley


运动总可以分解为平动(translation)与转动(rotation)。这话的意思,对应的是矢量的算法不过是加法和乘法(分为内积和外积)。平动是平凡的,而转动则花样翻新、名目繁多。如果细究起来,处理转动问题的数学足以让大部分号称学过数学和物理的人后悔自己的年少轻狂。反过来看,一个人若能学会理解转动,恐怕物理世界在他眼前会一时清朗起来也未可知。


本篇讲转动,涉及到的词汇包括但不限于circle (circulate),turn,gyrate (swive,trundle),rotate,precede,nutate,volve (convolve,devolve,evolve, involve, revolve),spin (spinor), whirl (whorl, swirl,twirl), spiral, vortex, helicity,chirality 及其各种衍生词。由于内容太过繁杂,本篇大致按照如下章节组织:

1 引言

2 Rotation

2.1 Rotate这个词

2.2 转动的简单数学

2.3 转动的四元数表示

2.4 Planetary rotation

2.5 量子力学的转动

2.6 相对论作为转动

2.7 分子转动

2.8 有转动意思的一些通俗用语

3 Gyration

3.1 Gyrate这个词

3.2 Gyration 这种运动

3.3 Gyroscope

3.4 Magnetogyratic ratio

4 Spiral

5 Spin & spinor

5.1 Spin 这个词

5.2 Spin 的经典物理意义

5.3 近代物理意义下的spin

5.4 质子与中子的自旋

5.5 Isospin

5.6 Spin 的数学描述

5.7 Spinor

5.8 类转动特征

6 Vortex

7 Volvo

7.1 Convolve

7.2 Devolve

7.3 Evolve

7.4 Involve

7.5 Revolve

7.6 Vernation

8 结语


尽管如此,各个表示转动的不同词汇依然会交替出现,显得乱了章法。面对这样的文章,叔本华在《作为意志与表象》一书的前言中建议读者要读两遍,而且是以极大的耐心去读第一遍,“这种耐心也只能从一种自愿培养起来的信心中获得……”


1 引言


牛顿第一定律宣称完全由着自己性子来的物体保持静止或者作匀速直线运动。这实际上是伽利略的惯性定律,它是一个抽象而来的结论,别指望能有任何严格的观测事实。我们实际观察到的运动,抛开星云、洋流这样的大尺度多体体系,哪怕是单个质点的运动,都必有转弯(turning)的迹象。有限空间内的持续运动,转弯是必然的。这就决定了舞蹈——人在小范围内的活动—— 总表现为转动(rotation)。观察我国西南诸少数民族的集体舞,会发现舞蹈者的运动不外乎绕着某个中心——白天也许没有实在的中心,晚上估计是一堆篝火——的公转(revolution),绕自身中心轴的自转(spinning,rotation),身体绕重力方向的摆动(进动,precession)2),加上身体有韵律的前仰后合(章动,nutation)。西藏的山地集体舞和阿尔卑斯山地舞蹈是一样的,不是什么文化的同一性,而是因为舞蹈不过是人的运动形式而已,运动定律,包括空间结构和运动主体的自由度(对称性),决定了舞蹈只能有那么几个动作。舞蹈的编排,永远是这种旋转结合(做乘法)那种旋转。偶尔也有纯的平动,不过纯平动必须不时flip (翻转),这样总和才会为零,否则舞蹈者会出圈的。


舞蹈大体上不过是转动,所以西方有华尔兹(Waltz, 动词walzen),西域有胡旋舞。大唐时期西域人来长安谋生,胡旋舞是最撩人心魄的,由此产生了许多动人的诗篇,而且似乎也注意到了其中的物理。元稹《胡旋女》中的“寄言旋目与旋心……”提供了旋转特征的初步描述。看唐人的双人胡旋舞壁画(图1),可见舞者的自旋。三维空间的定轴转动,还真分左旋(laevorotatory)与右旋(dextrorotatory)啊。


图1 双人胡旋舞


有时候,我们希望一些物体飞出去能自己再回来。镖这种兵器,以平动的方式飞出去,自己是回不来了,所以中国的镖会拴上绳子,谓之绳镖。非洲人希望打猎时镖能自己飞回来,就制作出了回旋镖(boomerang, 飞去来器), 见图2,我怀疑是从某种大树的豆荚得到的启发。


图2 形状各异的Boomerang


快速旋转,有炫目的效果,人看旋转的东西会眼晕。有个关于旋转门(the revolving door)的故事,表明转动是一种能把人弄晕的变换。说一老农在某大城市初见旋转门,未识为何物。忽见一老太太从门的一侧进去,不旋踵从门的另一侧出来了个大姑娘。老农感叹:“乖乖,what a fantastic transformation!” 教过经典力学和量子力学的老头儿,应能轻松理解这个科学笑话的严肃。人大体是一种平动的物种,人如果自己转,会晕。转动的人如果停下来,十有八九会脚步踉跄。刚刚习惯用转动的眼光看世界的大脑,如今依然把世界诠释为旋转的。人的大脑如果接受了一些冲击性的信息,也会感到天旋地转——The world began to spin when he realized……。让某人转起来,法语为prendere qlcu in giro,那就是把人弄晕乎了然后骗。安史之乱,唐人当时就怪罪转动了。元稹《胡旋女》写道“旋得明王不觉迷,妖胡奄到长生殿”,白居易《胡旋女》则写道“禄山胡旋迷君眼,兵过黄河疑未反”,都是这个调调儿。转动的东西估计都有迷惑的本领,千回百转的声音也迷人,鸟啭莺啼,啭,那也是转。元稹说“胡旋之义世莫知,胡旋之容我能传”,那是吹牛,转之容可不易理解。汉语的旋,似乎是用来描述快速转动的,有快的意思。旋即,即马上、立刻。英文中转动swivel 的同源形容词swift,就是快速的意思。2015 年,科学家将激光穿过4 微米大小的碳酸钙小球,光偏振的改变对小球施加了一个扭矩从而使其旋转起来(spinning it)。因为在真空中没有摩擦和拖曳,该实验实现了高达6 亿转每分钟(revolutions per minute)的高速旋转,打破了转动(spinning)的记录。


Rotation 转出闭合的路径(orbit,loop), 就成了recurrent revolution,recycling, 就有周期。Circulatingmotion 也叫转动,与revolution 的意思差不多。总觉得转(rotate)经的仪式必然关联着轮回(recycling)的观念。来自各地的人们默默地围绕着冈仁波齐转(revolve)山,已经延续了千年。任何旋转(revolution)都创造自己的中心。血肉之躯无休无止的转动,创造出了藏传佛教的精神世界之轴。


2 Rotation



2.1 Rotate这个词


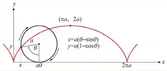
Rotate,来自拉丁语动词rotare,to turn,to roll,to go around。转动是to turn,to roll,基于turn 的衍生词很容易辨认出来。比如tornado(龙卷风),来自tonare,whirling violently(图3)。谈论转动体,别光想着用rotating body,太土,可以说corps tournants。To roll,汉语会译成滚动。一个圆,在平面上无滑动滚动,其上一点划过的曲线是摆轮线 cycloid,其参数方程为 x(θ) =a(θ - sin θ) , y(θ) = a(1 - cos θ) (图4)。Rotate 的衍生词rotating,rotative,rotatory 都是形容词,但其实rotate 本身就是形容词。Rotate 作为及物动词是让别的物体转起来,作为不及物动词是绕着自己的轴转,与spin 同义。Rotation,希腊语是περιστροφή,rotate,希腊语是περιστρέφομαι, 它们的前缀是peri-,around,绕着而且还贴着。Perihelion, around the sun, 近日点,而aphelion,apo+helios,fromthe sun,远日点也。


图3 Tornado,转得快的气旋


图4 摆轮线是沿直线滚动的圆上一点的轨迹


在高维空间里的单联通运动轨迹,本质上是一条(直)线,其上的运动本质上还是一维的。一维空间里,运动只有前行和掉头。前行是平移, 掉头是个非连续的操作,flip。Flip, to make a sudden change, to turn or turn over, 见于to flip pages in a book (翻页)。据说量子意义下的spin (自旋)在一个抽象空间里会这么干,但是宏观的车不会。假如你开车沿着一个窄巷子行驶, flip 这个操作是没法执行的,你只能倒车——高铁是两端都有头。Flip 可以看做是1D空间中的转动。如果不把它看成转动,一维空间里就没有转动,转动是高维空间里的奢侈。


二维空间里就可以有转动,相应地是有了数学的乘法操作了。容易证明任何二维的direct motion,要么是平移,要么是转动。转动太普遍了, 各个物理分支都是在用转动的语言谈论问题。1861 年, 麦克斯韦发表了题为on physicallines of force 的论文, 其中有电磁感应的概念模型, 是由磁通的自转小格子(tiny spinning cells) 组成的。1862 年他又增补了两部分, 在第一部分中讨论了位移电流, 第二部分讨论了法拉第效应, 即磁场造成的光偏振方向的转动(rotation)。法国物理学家François Jean Dominique Arago 发现一些石英晶体能够连续地转动(rotate,使转过去)光的电矢量。他还发现转动的金属盘会和磁铁发生联动,他称之为magnetism of rotation,今天我们知道是因为在磁场中转动的金属里面产生了涡流(eddy current)。


规则的rotation 常会画出闭合的曲线,loop。Circle 是圆,circumference,圆周,circumrotate (to turn like a wheel,rotate),是绕着圈地转动,估计是转上不止一圈。Circumgyrate(to turn like a wheel,rotate),是绕着圈地回旋。描述circumgyration要用三个自由度: roll, pitchand yaw attitude angles。飞机在空中飞行,其姿态就有这三个自由度,绕自己中心轴的roll (翻滚);鼻头上下绕从翅膀到翅膀的轴的转动是pitch (俯仰),鼻头左右绕垂直轴的转动为yaw(偏航)。三个转轴分别为longitudinal (纵向的)3),vertical (垂直的) 和lateral (侧向的)。下面我们还会谈到。


按说咬文嚼字是要力求避免数学的,但是关于旋、转若没有严格的数学表达,任何文字叙述只会造成误解,所以我将不得不纳入一点数学。Then to not know mathematics is as severe limitation in understanding the world (不懂数学那对于理解世界来说是个严重的限制)。费曼在访谈“the pleasure of finding things out” 中如是说。


2.2 转动的简单数学


二维空间里的定点转动,和三维空间里的定轴转动,都好描述,只用一个参数转动角θ , ω = dθ/dt是角速度。其实,用转动角描述转动,转动角是个多值函数,即对应一个构型的角度为θ + 2nπ ,n 是任意整数,这事儿就有点麻烦。进一步地,有角动量被定义为J=r×p。这是个乘法,叉乘,结果为那两个矢量所张平行四边形的面积。它告诉我们的是位置和速度(动量)是矢量,但角动量不是。还有点乘r·p,那是virial,这个和做功有关,经典力学里有virial 定理。不同于(x,p)坐标系,作用量—角坐标系可以在不解运动方程的情况下得到转动或者振荡的频率。平动对应加法。加法与乘法能定义矢量的代数,看样子可以从关于位置和速度(动量)的矢量代数的角度看待转动问题。还可以反过来理解,叉乘和rotation 有关。那么,别的抽象的乘法呢?比如在代数方程的根号可解问题中,有阿贝尔引理,设 f (x)∈k[x] ,θ1,θ2,…,θn 是在k 的扩展域上的根。假设θi 是θ1 的函数,θi = Ri 1 ) , Ri (x)∈k[x]。进一步假设对任意一对i,j,有Ri (Rj (θ1)) =Rj (Ri1) ) ,则方程 f (x) = 0 是用根号可解的。这里涉及的是个函数的乘法,从积到因子,就有根号的问题。这些不论, 只看Ri (Rj (θ1)) =Rj (Ri1) )的形式,它和转动有关。


牛顿第二定律是局域的,collinear的,而转动是较大范围内才能确立或完全刻画的一种运动模式,它的局域性表现在于存在r ^ v 。但是,速度、加速度有参照系,而位置是要有参照点的,所以转动会表现出复杂性。任何三维空间的流的守恒都会给出平方反比率,比如熟悉的牛顿万有引力定律和库伦定律;而这个结论是因为空间的各向同性(isotropy)才得到的。因为空间是各向同性的, 所以角动量一定是守恒的。空间的isometry (等度规)决定了它有自己的代数,空间结构的isometry 决定了它的转动群。


如何表示三维的转动? 有1) 转轴—转角表示法,即确定转动轴取向和绕轴转动的转角;2) Euler angles法。用三个欧拉角表示。一种方式 (φ,θ,ψ) 按照 z-x-z的转动轴序列选取(图5)。当然也可以是(z-x-z, x-y-x, y-z-y, z-y-z, x-z-x,y-x-y)序列中的任一个。另有Tait—Bryan angles, 可以按照(x-y-z,y-z-x,z-x-y,x-z-y,z-y-x,y-x-z) 等序列中的任一个选取;3) 用四元数(quaternion)。具体方法如下:一个单位四元数, 有文献称为versor,有3 自由参数,把矢量x 写成0-标量的四元数, x′= qxq-1 就表示转动(见下)。只从一侧加上四元数乘法也是转动,但是是四维空间的转动。


图5 转轴—转角和欧拉角表示转动


用数学的话说,转动是球到球的线性映射。转动构成一个群,n-维实空间的情形,群是O(n)群;n-维复空间的情形,群是U(n)群。如果表示转动的矩阵的值为1,则群分别是SO(n)群和SU(n)群。群变换就是一种抽象转动。SU(3) 的一个不可约表示是八维的;转动一个维度上的粒子会把它变成另一个维度上的粒子,由此有了粒子物理中八正态的概念。为了理解转动,转动群的表示知识就显得很重要了。Generators of rotations ( 转动生成元),infinitesimal rotations(无穷小转动), infinitesimal rotation tensor( 无穷小转动张量)都是重要的概念。群论发掘出了太多我们不易认识到的关于转动的知识, 关于这一点,Hermann Weyl 居功厥伟。一个物理系统的动理学结构可表达为系统空间中的射线酉转动的不可约阿贝尔群。这个群的代数的实元素对应系统的物理量。以系统空间的转动对抽象群的表示,将每一个那样的 (物理)量同一个表示了它的厄米形式相联系。Casimir 坦诚其1931 年的论文Rotation of a Rigid Body inQuantum Mechanics 受到了外尔工作的启发。


欧拉力学提供了刚体转动的力学理论,拉格朗日力学似乎责难欧拉力学的刚体转动运动方程。C.Truesdell 分析发现欧拉力学的缺陷在于对连续介质一般转动的无能为力。或许更高深的数学,比如Clifford 代数,能带来完备的关于转动的描述? The operations of geometric algebra have the effect of mirroring, rotating, translating,and mapping the geometric objects that are being modelled to new positions(几何代数(克利福德代数的特例)的操作具有镜面反射、转动、平移的效果,能将几何对象映射到新位置)。Rotation 之于平动,是乘积,是混合。但是对于各项同性的空间,或者同样的对象,这混合就没有多大的意义。混合不同的东西,比如克利福德代数那样其加法可以混合不同质的对象,那才更有意义。


2.3 转动的四元数表示


平面内的转动可用复数表示。任意一个复数表示的矢量,乘上单位复数z0 = cos θ + i sin θ , 即表示转动了θ 角。x′+ iy′=(cos θ + i sin θ)(x + iy) , 得 到 转 动的常见矩阵表示



三维空间的转动没有三元数的表示。Sir William Rowan Hamilton发展了四元数,q=a+bi+cj+dk,其中i2 = j2 = k2 = ijk = -1 。把四元数分成标量部分和三维矢量部分,q = (r,v) ,其加法和乘法公式为(r1,v1) + (r2, v2) = (r1 + r2,v1 + v2 ),(r1,v1) (r2,v2) = (r1r2 - v1 ⋅ v2,r1v2 +r2v1 + v1× v2) 。这里面有点乘和叉乘。注意,叉乘只在三维空间成立,或者说叉乘出现在四元数的乘法中。不要求唯一性,叉乘也存在于七维空间的情形,那是八元数的乘法。


用非零四元数乘法来表示实部为零的四元数所构成之三维空间的转动,算法是求共轭v′= uvu-1 。一个单位四元数共轭的效果,若其实部为 cos(θ),则是绕其虚部所确定的矢量转动了2θ 角。这里的基础是,三维的转动可以分解为两个反射。任何三维空间中的定点转动都可以表述为一个矢量u (转动轴)和一个标量θ (转动角)的组合。考察沿一个三维空间单位矢量u= uxi + uyj + uzk 转过θ 角的转动,由欧拉公式q = e1/2θ(uxi + uy j + uzk)=cos θ/2+ (uxi + uyj + uzk)  sin θ/2, 共轭算法保证了其是转动θ 角。举例来说,绕正方形对角线转动120 度,转动轴为矢量v= i + j + k , 计算得到转动对应的四元数u =(1 + i + j + k)/2, u-1 =(1 - i - j - k)/2。转动对应变换, f (ai + bj + ck) ↦u(ai + bj + ck)u-1 。计算可得u(ai + bj + ck)u-1 = (ci + aj + bk) , 就是顶角的置换。可见对角线120 度转动保持正方形位置不变。注意,四元数操作的对象是旋量(spinor),其比四元数晚生了60 年。更多的内容,容作者日后补充。


用四元数描述三维转动,有诸多优点:1) 比矩阵表示紧凑;2) 比矩阵表示容易快速计算;3) 一对单位四元数可以表示四维空间的转动;4) 没有奇点的问题。欧拉角就有这个问题,即所谓的gimbal-lock(方向支架锁定)现象,出现于比如pitch~yaw~roll (俯仰-偏航-翻滚)这样的转动系统。当pitch 上下转了90°时,yaw and roll 对应的是同样的运动,有一个自由度丢了。在基于万向节的惯性导航系统中,当飞机垂直俯冲或上升时,pitch为90°,gimbal lock 会造成灾难性后果。


关于转动的群表示,在On quaternions and octonions: their geometry,arithmetic,and symmetry一书中,有holo-icosahedral group,chiroicosahedral group; holo-octahedral group, chiro-octahedral group; holotetrahedral group, chiro-tetrahedral group; holopyramidal group, chiropyramidal group; holo-prismatic group,chiro-prismatic group 等诸概念,这些对量子力学视角下的晶体学的深入理解估计会有帮助,可惜笔者未曾深入学习过不论。有心人可参照三维空间的点群一起修习。在经典力学中, 转动表述为r × (ω× r) 的形式,有点不对劲儿,应该表述成四元数——Clifford 代数。这些知识笔者没系统学过,怪不得David Hestenes 都说他做不动了。


2.4 Planetary rotation


我们的家园是由太阳—地球—月亮组成的三体体系,当然还有几大行星作邻居,遵从平方反比律的万有引力联系着远方。有心引力场——来自外部的和自身的——之下的星体做着各种复杂的转动。我们的地球自转着(rotate),所以我们看到天上的星星自东向西运动着,几乎每天都能看到月落日升的场面。大约在1500—1528 年间,阿拉伯人Al-Birjandi 发展了“circular inertia”4)理论解释地球的转动。哥白尼(Nicolaus Copernicus) 1543 年出版了De revolutionibus orbium coelestium (On the Revolutions of the Celestial Spheres) ,汉译为《天体运行论》,此处的revolution 应是关于太阳的公转。这是科学史上的大事件,引发了Copernican Revolution,对后来所谓的Scientific Revolution(科学革命)做出了重要贡献。这里的revolution 都是观点的大变动而已。所谓科学革命的说法,是一些研究科学但不做科学研究的学者的论调,即便在西语语境中也都饱受讥讽。马赫认为如果一个人在科学发展中看到了革命,那一定是因为知道的太少。诚哉斯言!牛顿1684年出版了De motu corporum in gyrum(论转动物体的运动)一书,此处用的是gyrum,因为没看过这本书的拉丁文本,拿不准gyrum 到底指的是什么。


对星体转动的认识是一个自发的、漫长的过程。唐诗有“地轴天维转”,天旋地转不知何时已进入我们的日常表达,可见老祖宗对这问题认识已久。笛卡尔提议行星或许是被绕着太阳的一个巨大涡旋(vortex)所拖曳着的。如果涡旋里的流体速度与其离中心的距离成反比,牛顿发现则行星的公转周期(period of revolution)同其离开太阳的距离平方成反比。Revolution 就是所谓的公转,理解这个词的关键在于re-,back。


地球是个绕着一颗恒星太阳revolving 的一大块物质,可按照刚体来处理其运动问题。如果把revolution 理解为滚动(to turn,to roll)的话,那行星要自转简直就是必然。太阳和地球revolve about each other。同时,地球rotate about its axis,spin about its axis。行星的公转(revolving),也是orbiting(the star)。开普勒的行星运动三定律都是关于轨道(orbit)的特征的,描述的是revolution。地球公转一周是365 天,这是用自转周期去标定其公转周期。再强调一遍,所谓的时间,就是用一个不断再现的物理事件去标定其它的物理事件。这个抽象的概念作为描述存在的基础,是智慧,是权宜,也冒着走入死胡同的风险。水星公转周期是88 个地球日,自转周期是59 个地球日。或者换个表述,水星的公转周期约为水星天的一天半。金星有退行自转(retrograde rotation)现象。金星绕(orbiting)太阳的周期是224.7 天,但它的自转周期竟然高达243 天,而且跟其它行星反向rotates。怪异的是,月球绕地球的公转和自转的周期都是27 天7 小时43 分。这个现象应该是一个慢慢演化(evolve)而来的局面,月亮的质量分布不对称并不能完全解释这个现象。顺便说一下,太阳也自转。伽利略与塞尔维亚蒂一道观测太阳黑子,他们将太阳的像投射到纸上,发现了太阳黑子及其在太阳表面上的有规律运动,从而判断太阳也在自转。


因为星体所有的转动行为都是由重力(gravity)引起的,有时候人们干脆就用gravitate 这个动词一言以蔽之。原子是个不可见的行星体系(invisible planetary system),虽然其中不是重力当道,人们也会说在原子中electrons gravitate around a nucleus。


太阳—行星体系是质量严重不对称的两体体系。质量差不多的转动(rotating)双星体系会有更有趣的故事发生(图6)。两个大密度的白矮星会orbit each other,当这两个星体spiral closer together ( 螺旋式靠近)时, 其公转周期(period of revolution)会变短。再靠近一点,还可能有吞噬现象发生。


图6 互绕双星体系


转动总意味着加速度的存在。转动快了,啥意外都会发生。脉冲星(pulsar) 是rotating neutron star。其中的射电脉冲星(radio pulsars,rotation-powered)一般是孤立星体,随着辐射它的自转会慢下来,而X-射线脉冲星因为多是双星体系,会从周围吸积物质,因此其周期会变慢但也有时会变快。


谈论刚体的转动,就必然会遭遇到precession。Precession, 动词形式为preced,precess,来自拉丁语praecedere,字面意思是先行(时间、位置、级别、重要性等方面占先),汉译进动。一个自转的(spinning)物体,比如陀螺,当被施加一个扭矩( 比如来自重力) 改变其转动轴时,一般会引起自转轴在与轴和力矩都垂直的方向上转动(turn),划过一个锥面,此之谓precession。这个turn 的动作就是precede。如果陀螺不是处于自转的状态,扭矩会使其绕水平面内的轴rotate,就倒下啦。地球的转动(rotation),包括intrinsic部分,即自转(rotation,spinning)和precession, 还有nutation ( 章动)。Precession 归于自身重力效应,nutation 归于近处其它物体的引力( 图7)。地球的进动也称为precessional movement, 转一整圈(completing a rotation) 的周期约25700年。Nutation,来自nutare,to nod,点头。不知道为啥被译为章动,取章何义?难道是因为小说“章回”,把这里的回当成retrograde,返回、退行,从而将章字也用于描述天体运行了?


图7 地球的Euler rotations。R=rotation, P=precession, N=nutation


原子物理中会提到Larmor precession。磁矩在磁场下会有绕磁场B 方向的进动,进动频率叫Larmor频率, ω = γB ,其中γ =ge/2m为gyromagneticratio (旋磁比), γ 是gyration的希腊语首字母;g 即是所谓的g-factor。计算g-factor 是个艰难的理论问题。Joseph Larmor 爵士(1857—1942)的定理云:恒定磁场对一个带电粒子运动的影响,与从一个以特定频率旋转的坐标系中观察到的一样。Thomas precession 是对粒子自旋或者自转物体的相对论修正,其将自旋角动量同轨道角动量联系起来。


开普勒定律表明行星轨道是个椭圆,但是因为其它星体的扰动,轨道会precess。Pression of orbit 是个普遍性的问题。水星轨道近日点的进动幅度较大(图8),过去被归结为是一个名叫Vulcan 的未知行星的影响,当前的解释是根据爱因斯坦广义相对论,太阳周围的空间是弯曲的。看,我们总是以我们现有的知识去构造最直观的解释,直到这解释不能自圆其说。


图8 行星绕日转动之进动的示意图


行星绕太阳,或者如从前我们认为的那样绕地球revolve,最简单的轨道是圆才好呢。当然实际情况不是这样,于是人们用epicycle(ἐπίκυκλος, upon the cycle) 的概念来构造轨道, 这套理论叫epicycle-on-deferent theory。Deferent 汉译均轮,epicycle 汉译本轮,基本是不顾原词的胡编乱造。Deferent,来自deferre, to carry down or out,承载,如vas deferens 即是输精管。Deferent 就是那个绕地球的大圆,epicycle 就是骑在deferent 的圆(图9)。如果epicycle and deferent 不能很好地近似行星的轨道, 那就在epicycle 上再骑上一个epicycle。这种圆上骑着圆的运动是非常powerful的数学, 实际上它可以轻松地近似三角形甚至线段。其一发展是无处不在的傅里叶分析,其威力由此可见一斑。


图9 Epicycle and deferent 体系


2.5 量子力学的转动


运动,是关于时空的变换也。动力学过程,就是体系随时间的变换。洛仑兹变换,李代数,Dirac 方程不过都是关于转动的学问。量子运动方程是个转动, dA/dt= i(HA - AH) ,A(t) = eiHt A(0)e-iHt , 转动(rotation)是由酉阵eiHt 的共轭算法实现的。相应地, 状态的时间依赖为|ψ(t)> = e-iHt |ψ(0)> 。在转动之下,经典几何对象可以被分为标量、矢量和高阶张量。你看,物理量依据转动下的行为来分类的。量子力学要求希尔伯特空间中的状态无需在转动群的表示下变换,而只需在投影表示下变换。转动群的投影表示之不算表示的那部分是spinor,而量子态可以作为张量和旋量进行变换。


抛开那些绕人的量子力学的诠释,一般量子力学教科书中的数学,其实都是在谈论二阶微分算符在不同对称性下的本征值和本征函数问题。三维空间、球对称,转动部分的解为调和函数,多项式独立解一定是自变量的齐次函数。列举ℓ =0,1,2,3 的情形如下:1) 0 次的,常数(s-轨道);2) 1 次的,x,y,z (p-轨道);3) 2 次的,xy,yz,zx;x2-y2;2z2-x2-y2 (d-轨道);4) 3 次的,xyz;(x2-y2)z;(y2-3x2)y,(x2-3y2)x;(4z2-x2-y2)x,(4z2-x2 - y2)y, (2z2 - 3x2 - 3y2)z(f- 轨道)。也即是ℓ 次描述角动量的函数的独立解有2 ℓ +1 个。这让我想起了量子力学的角动量投影问题。真的有角动量有2 ℓ +1 个分立的投影这件事吗?还是在谈论一件数学的幻影?当然,如果数学真的描述了那个物理,则物理的世界和数学的内蕴应该是统一的了。但即便这样,物理的世界也要独立地被证明其存在吧?一个暂用来描述某物理体系的数学推导出的“事实”,可以毫无保留地看成物理实在吗?真是a spinning question。


2.6 相对论作为转动


四维时空的洛伦兹变换包括三维转动和boost (推进。似乎许多中文文献保持这个英文词不译)。Boost 是具有不同速度的参照框架之间的变换,数学上类似rotationinto time。其实, 就是在坐标(it,x ),时间t 表示为虚数,之间的正常转动(这是洛伦兹1908 年引入的表示)。新的时空(it,x)只有空间型的方向(spatial directions),是欧几里得空间。如果把转动角表示为tg θ = iv/c ,其中v 是参考系间的相对速度,则两次转动的乘积给出速度相加的公式,那公式v =(v1 + v2)/(1 + v1v2 /c2)就是我们中学学过的tg(θ1 + θ2) =(tg θ1 + tg θ2)/(1 - tg θ1 tg θ2)。洛伦兹变换的这种处理, 也被称为是pseuo-euclidean 空间中的转动或者双曲转动(hyperbolic rotations)。如果参照系相对另一参照系转动,狭义相对论得出的结论是转动体系的几何不可能是欧几里得的。这个结论的全部内含不容易在广义相对论下导出。可见,广义相对论从一开始就要严肃对待转动,具体的内容此处不深入讨论。广义相对论的一个伟大胜利是定量地解释了水星的绕日进动问题。注意,讨论相对论语境下的rotation, 坐标系转过一个角度的变换同一个参照框架在转动这种运动过程,是两回事。Penrose 和Terrell 独立认识到以近光速前行(travelling) 的物体, 会遭遇特殊的skewing or rotation。Skewing,歪斜,有skew-symmetry的说法。


2.7 分子转动


分子可看作是具有量子自旋的原子通过化学键连接起来的一个组装体。其运动方式包括平动(translation)、振动(vibration)、转动(rotation)和libration。Libration, 词干就是equilibrium ( 平衡) 中的libra,就是天平的平衡指针。扰动平衡态时这个指针是来回晃的,所以libration是一个物体,比如分子,差不多对固定方向微小偏离的来回晃动(rocking back and forth),分子受扰动后的弛豫过程肯定有这种libration,愚以为译成晃动就挺好,有文献中的译法是天平动。月亮轨道也有librations 的问题,其中之一就是其自转相对于恰当的轨道位置有一个小幅度的libration,这使得月亮对着我们的面看起来有个小的来回晃动。测量vibration—rotation spectra (转动—振动谱)是研究分子结构的有效手段。关于转动的量子化表述,常有角动量J 对应能量正比于J(J+1),简并度2J+1 的说法,此认识来源于二阶微分算符本征问题的解,在球谐函数、贝塞尔函数那里能见到J(J+1)的身影。振动谱和转动谱可以较接近因此会耦合到一起,故有rovibronic,rovibrational( 转动— 振动的) 的说法。In rovibronic transitions, the excited states involve a few wave functions (在转动—振动跃迁中,激发态涉及(绕进去)几个波函数)。为了描述转动量子化, 朗道引入过rotaton 的概念。有趣的是,分子—电子体系也有Coriolis force! 在类似(HOOH) 这样的有互为镜像的构型的分子中,如果有一个电子有绕原子核的角动量,则其镜像构型中电子反向转动,也有相同的能量。因为整个分子可以随意rotate, 则Coriolis force 会引起这两个状态之间的弱耦合。


2.8 有转动意思的一些通俗用语


动词whir, whirl, whorl,swirl,twirl,swivel (swift),来自北欧语言,词源不同,但大体都是to turn, to move rapidly in a circular manner or as in an orbit, 快速转圈、打着旋的意思。字典解释gyrate( 见下) 会用到swive, trundle。Martian air contains only about 1/1,000as much water as our air, but even this small amount can condense out,forming clouds that ride high in the atmosphere or swirl around the slopes of towering volcanoes (火星大气中的水含量只有空气中的1/1000,但这么点水一样能凝结成云,高高飞入大气或者绕着尖尖的火山打旋)。Stacks of plates (in a capacitor) can swivel so that their effective area is variable (电容器中的基板可以转动以改变其有效面积)。花叶序有alternate ( 互生的), opposite ( 对生的), decussate ( 十字的), whorled(轮生的),其中轮生体(whorl) 是多片叶子形成涡状的。Whorls 同样有alternate whorls,即相邻两节上的叶子错过角度π/n , n 是叶子的片数。一般植物学文献不提,但笔者自己就拍到过(图10)。


图10 简单叶序,轮生的、互生的与对生的(左图),轮生也有交替的(右)


3 Gyration



3.1 Gyrate这个词


转动,rotate,希腊语的对应动词为γυρίζω (γύρω από)。Γύρω,gyro-,giro-,以各种变体出现在欧洲的各种语言中。欧洲有一道名吃,Greek gyro or gyros (γύρος),希腊式转(盘),也叫Turkish gyro,土耳其式转(盘),德国、意大利等地也用Gyropanne 一词( 字面是转盘),就是旋转烤肉(图11)。Giropode,字面是转动的足,即代步平衡车(图11)。德语管Girokonto 叫转账户头, 干脆简称Giro。意大利语动词girare,名词giro,girata, 就是转弯,见于如下表述如fare un giro inmachina (坐车兜了一圈), fare una giratain barchetta (划船转一圈), girasóle( 绕太阳转,向日葵), essere ingiro ( 流通), esserenel giro ( 是圈内人),mettere in girouna chiacchiera (传播流言),等等。西班牙语的转动是gire, gire a laderecha ( 右转), gire a la izquierda(左转)。Girar obre sí,对应英文的autogyrate,self-rotation,字面意思都是自转、自旋。牛顿的论文Demotu corporum in gyrum,英文一般译为On the motion of bodies in an orbit,其中拉丁语的in gyrum 被译成了in an orbit。Gyro,gyre 这些词在英文中也一样是转动的意思。英文的gyroplane or gyrocopter,是旋翼飞机,gyre 是洋流的涡流。太平洋上曾出现一个trash vortex (垃圾涡旋), 是a gyre of marine debrisparticles,这意思是说那些垃圾碎片因为洋流的涡流而汇聚成了涡旋状的一块。


图11 Gyropanne (giropanne)与giropode


名词gyration 作日常用语意思就是绕弯子。Euler想得到cosx,sinx的表达式,他从 (cos nθ + i sin nθ) =(cos θ + i sin θ)n 出发,令θ = x/n ,假设n 很大所以可以展开,在展开式中把n-1,n-2,n-3…都用n 代替,然后又取极限,等等。这一套弯弯绕,被讥讽为mathematical gyration。Such mathematical gyration seem,to modern tastes, unorthodox ( 这样的数学绕弯子,以现代的品味而论,看似不是很正统)。


英文gyrate,同rotate 的不同是微妙的。Gyrate, 汉译回旋、旋转,也作形容词用。Rotated的对象,可以用gyrate修饰。比如Johnson 多面体是规则的凸多面体,共92 种,其中就有用gyrate 形容的,比如62面的gyrate rhombicosidodecahedron,trigyrate rhombicosidodecahedron,等等。会摆弄高维的转动折叠多面体并使之是旋转的(gyrating folding polyhedron hypercube and making it gyrate),体现一个人高超的空间想象能力。Alas,俺没有这个能力。


光在某些晶体中传播,其偏振面会转过(rotate)一个与传播距离成正比的角度,这种现象叫光学活性。单位长度上转过的角度正比一个物理量G,就是gyration,这是一个贋矢量。


洛伦兹变换哪怕是只考虑沿同一方向运动的情形,也是一种转动(rotation)。如果空间本身还是转动的,那这变换就要用到gyrovector,gyrogroup 的概念了。Gyrovector,就是双曲几何版的vector (Gyrovector,a hyperbolic geometry version of a vector)。由gyrate,又引入一个词gyr, gyr is the gyrovector space abstraction of the gyroscopic Thomas precession, defined as an operator on a velocity w in terms of velocity addition: for all w。速度u 加转动U 与速度v 加转动V 的两个洛伦兹变换, L(u, U), L(v, V), 其合 并 操 作 为 L(u,U)L(v,V ) =L(u⊕Uv,gyr[u,Uv]UV ) 。 这 些数学太复杂了(参见Lorentz transformation-wiki 和gyrovector space-wiki),不表。


3.2 Gyration这种运动


一个电荷,受磁场影响,其轨迹是螺旋线(helix),这样的运动是gyration, 回旋, 也会被描述为small-scale oscillations,or gyro motion。量ω = eB/m 的量纲是角频率,即磁场强度乘上带电粒子的荷质比,名为gyrofrequency。如果同时存在电场,则电荷会被加速,电场和磁场共同作用会引起电荷的漂移,速度为 E × B/|B|2 (图12)。角进动频率是cyclotron frequency (角回旋频率)。设想等离子体处于静磁场B 下,同时还叠加着一个高频电磁场,这就会发生共振,即所谓的cyclotron resonance。约束在电磁场下的等离子体中,会遇到gyration带来的各种问题,是等离子体物理必须面对的。


图12 磁场下的gyro motion, 不均匀磁场中的bouncemotion (回弹),以及同时存在电场时的漂移


3.3 Gyroscope


有一种利用gyration 物理的设备, 叫gyroscope, 德语为Gyroskop,或者干脆称为Kreiselapparat(回转设备)。Gyroscope 是基于希腊语γῦρος + σκοπέω 造的词,字面看是转动,汉译回转仪、陀螺仪。


陀螺仪就是top+gimbals (陀螺加几个方向支架), rotation on one axis of the turning (spinning) wheel produces rotation of the third axis (一个spinning 的圆盘绕一个轴的转动会产生绕第三个轴的转动,gyroscopic effect),这是陀螺运动的物理基础。Gyroscope 的具体结构是这样的, 中间是一个spinning wheel ordisc (飞旋的轮子),是为rotor (转子),加上两个或者三个gimbals (方向支架),相邻的方向支架的pivotal axes (支撑轴),包括转子spinning 的轴,都是正交的(图13)。最外层的方向支架兼做支撑(gyroscope frame)用。方向支架的支撑轴提供了很多转动自由度(degrees of freedom of rotation),因为角动量守恒,这样就能保证rotor 的取向不变,从而有保持方向的能力。因此,gyroscope 是一种可以保持取向或者测量角速度的设备。各种陀螺仪反映一个国家的基础物理水平和制造水平。Gyrocompass能探测地球自转并搜寻正北方向。Gyrocompass 可用于惯性导航。


图13 由一个转子和三重方向支架组成的陀螺仪


第一个类似gyroscope 的设备是1743 年发明的whirling speculum (转动的镜子)。据说现代意义上的gyroscope是Johann Bohnenberger 于1817 年制作的,中有一个rotating massive sphere (大质量转动球)。之所以用大质量转动球,是因为转动意味着固执,质量越大越固执。将枪炮管内壁刻上膛线,子弹、炮弹出膛是转动的(rotating,spinning),那点儿重力就很难改变其飞行轨迹。1832 年Walter R. Johnson 做出了类似设备,但中间是一个rotating disc。1852 年,法国物理学家傅科( Léon Foucault)把这样的结构用于涉及地球转动的实验里,可以让转动保持大约10 分钟的时间以供观察研究,故名之为gyroscope,看(地球)转。傅科发现高速转动的转子的方向几乎不随外部环境的运动(比如放置陀螺仪的地球的转动)而变。地球是飘在虚空中转动的,在地面上若要用个球或圆盘来演示地球的公转/自转,那就得支撑起来,因此需要gimbals——以马后炮的观点这很容易想到。研究陀螺仪运动特性的理论是绕定点的运动,是刚体动力学的一个分支。


地球自身是个大的陀螺仪。它的角动量指向北极星,但是因为太阳和月亮的引力在地球的非球形身躯上造成的扭矩,地球又一直在进动(precess)着,其周期约为26,000 年。


如今还有利用Sagnac 效应的光学干涉做陀螺仪。Gyrolaser,or laser gyroscopes,基于Sagnac 效应,即沿相反方向通过一转动介质的两束激光会有一个依赖于角速度的相位差。这个效应曾被用来验证以太是否存在,但是因为比没有转动的干涉仪版本(Michelson-Morley 实验)复杂,或者因为实验者Georges Sagnac是法国人而不是美国人,这个有趣且有用的实验在介绍相对论的文献中几乎不被提及——物理学家畏转动如瘟疫、猛虎也。


3.4 Magnetogyratic ratio


Gyromagnetic ratio, 旋磁比,也称magnetogyric ratio,那大约该译成磁旋比,是一个粒子的磁矩同其角动量的比值。一个经典的粒子,假设其电荷和质量都是均匀分布的, 则其gyromagnetic ratioγ = 1q/2m,是荷质比的一半。Gyromagnetic ratio 也被用来指所谓的g-factor。当我们谈论基本粒子的旋磁比时,磁矩和角动量来自内禀的自旋。以电子为例, γe = gμB/ℏ ,其中的g-factor, 按照相对论量子力学, g = 2(1 + α/2π +…) 。狄拉克方程的第一个荣耀, 就是能解释电子的g-factor 应该为2, 大致过程为将自由粒子狄拉克方程iℏγμμψ =mcψ 中的微分符号换成∂μ ↦Dμ = ∂μ - eAμ , 假设弱磁场的情形, 得到形如[ℏ2/2m∇2 + μB(L + 2S) ⋅ B] Ψ= -iℏ ∂Ψ/∂t的方程(把动量形式的量子力学方程转回能量形式的是否是bad move?)。更仔细的解释来自量子电动力学。据说电子的g-factor的实验测量值与量子电动力学计算的结果,符合到小数点后面第12 位。对这种夺人心魄的说法,我只能表示呵呵。若你知道那计算的各种近似,体会过复杂实验存在的各种误差来源,大概对这种表述就不会特别严肃地当真。这种说法有意义的前提是,抛开计算不论,1)那个实验值自己的波动在小数点12 位之后,2) 不同来源的实验值之间的偏差在小数点12 位之后,但这两点都无人提及。最重要的是,如果正确,这用得着靠这个吗?电子的旋磁比还好说, 质子的旋磁比g=5.58, 中子的旋磁比g=- 3.83。如果狄拉克的相对论量子力学是描述所有自旋1/2 粒子的,那这质子与中子的旋磁比就不好解释。后来的理论指向中子、质子是复合粒子而非基本粒子,但似乎没有令人信服的理论。或者有人把理论给做歪了?


1) 我们生活在一个旋转着的星球上、一个满是弯弯绕的世界里。

2) 所谓的回风摆柳,大概是形容这个动作的。这个动作不容易,有时候要借助柱子。

3) 字面意思是长的。

4) 大意是环绕惰性。


本文选自《物理》2018年第8期



十大热门文章

1. 90岁的物理所,依然年轻!

2. 二维超导材料

3. 拓扑相和拓扑相变的量子模拟

4. 物理学咬文嚼字之九十八:Phase:a phenomenon

5. 对大学物理实验教学的思考、改革与实践

6. 物理像什么?

7. 纳维-斯托克斯方程:行到水穷处,坐看云起时

8. 一个物理学家的万米长跑和玻色-爱因斯坦凝聚

9. 相对论天体物理

10. 周末大家谈——从选上学部委员到耄耋之年

END

登录查看更多
0

相关内容

第26届SPIN研讨会旨在将对软件分析和软件模型自动化工具技术感兴趣的研究人员和实践者聚集在一起,以进行验证和确认。研讨会特别关注并发软件,但不排除对顺序软件的分析。提交的资料包括理论结果、新算法、工具开发和经验评估。官网链接:https://conf.researchr.org/track/spin-2019/spin-2019-papers
最新《机器学习理论初探》概述
专知会员服务
48+阅读 · 2020年5月19日
【MIT】Yufei Zhao《图论与加法组合学》,177页pdf
专知会员服务
51+阅读 · 2020年4月27日
【干货书】数值计算C编程,319页pdf,Numerical C
专知会员服务
72+阅读 · 2020年4月7日
机器学习速查手册,135页pdf
专知会员服务
345+阅读 · 2020年3月15日
清华大学两名博士生被开除:你不吃学习的苦,就要吃生活的苦
机器学习算法与Python学习
25+阅读 · 2019年9月16日
特征方程的物理意义
算法与数学之美
6+阅读 · 2019年5月13日
清华美女学霸数学笔记曝光, 精美程度无与伦比
算法与数学之美
7+阅读 · 2019年3月22日
可视化理解四元数,愿你不再掉头发
计算机视觉life
31+阅读 · 2019年1月2日
【趣科研】计算机视觉极简史
中国科学院自动化研究所
9+阅读 · 2018年10月19日
传说中的马尔科夫链到底是个什么鬼?
R语言中文社区
6+阅读 · 2018年2月27日
大学数学不好,或许是数学教材的锅?
算法与数学之美
15+阅读 · 2017年8月1日
Revealing the Dark Secrets of BERT
Arxiv
4+阅读 · 2019年9月11日
Arxiv
7+阅读 · 2018年8月21日
Arxiv
6+阅读 · 2018年4月4日
VIP会员
相关资讯
清华大学两名博士生被开除:你不吃学习的苦,就要吃生活的苦
机器学习算法与Python学习
25+阅读 · 2019年9月16日
特征方程的物理意义
算法与数学之美
6+阅读 · 2019年5月13日
清华美女学霸数学笔记曝光, 精美程度无与伦比
算法与数学之美
7+阅读 · 2019年3月22日
可视化理解四元数,愿你不再掉头发
计算机视觉life
31+阅读 · 2019年1月2日
【趣科研】计算机视觉极简史
中国科学院自动化研究所
9+阅读 · 2018年10月19日
传说中的马尔科夫链到底是个什么鬼?
R语言中文社区
6+阅读 · 2018年2月27日
大学数学不好,或许是数学教材的锅?
算法与数学之美
15+阅读 · 2017年8月1日
Top
微信扫码咨询专知VIP会员