WWW2022 | 基于交叉成对排序的无偏推荐算法

2022 年 4 月 20 日 机器学习与推荐算法
嘿,记得给“机器学习与推荐算法”添加星标

现有大多数推荐系统都是对观测到的交互数据进行优化,而这些数据受到之前曝光机制的影响,会表现出许多偏差,比如流行偏差。经常使用的基于pointwise的二元交叉熵和pairwise的贝叶斯个性化排序损失函数,并不是专门设计来考虑观测数据的偏差的。因此,对损失进行优化的模型仍然会存在数据偏差,甚至会放大数据偏差。例如,少数受欢迎的商品占据了越来越多的曝光机会,严重损害了小众物品的推荐质量。

在接下来介绍的这篇工作中,其开发了一种新的学习范式CPR,全称为Cross Pairwise Ranking,其实现了在不知道曝光机制的情况下不带偏见的推荐。与反倾向评分(IPS)不同,该工作改变了样本的损失项,并创新性地对多次观察到的交互作用进行抽样,并将其作为预测的组合形成损失。另外还在理论上证明了这种方法抵消了用户/物品倾向对学习的影响,消除了曝光机制引起的数据偏差的影响。对IPS有利的是,所提出的CPR确保每个训练实例的无偏学习,而不需要设置倾向分数。实验结果表明,该方法在模型泛化和训练效率方面均优于最新的去偏方法。

论文地址: http://staff.ustc.edu.cn/~hexn/papers/www22-cpr.pdf

Github地址: https://github.com/Qcactus/CPR

1 Motivation

现有方法的损失函数(例如最常用的二元交叉熵和成对贝叶斯个性化排名)并非旨在考虑观测数据中的偏差。因此,针对这类损失进行优化的模型将继承数据偏差,甚至会放大偏差。因此,作者设计了一种新的学习范式命名为,从而在不知道曝光机制的同时实现无偏推荐。

2 Preliminaries

2.1 Biasedness of Pointwise and Pairwise Loss

作者指出了现有的pointwise损失和pairwise损失都是有偏的。

论文中以二元交叉熵为例。
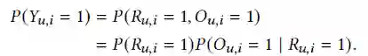
其中 是观测到的交互和未观测到的交互的总集合, 表示用户 对物品 有过交互,反之 表示用户 和物品 之间的预测分数。当 时, 越大越好,相反, 越小越好,即:
为了极大化观测 的概率,作者对 按照以下条件排序:

由于

因此上述公式改写为:

通过对比可发现,pointwise损失实际上是用 去拟合,而越流行的物品 越大,因为流行物品曝光机率更高。因此pointwise损失是有偏的。

证明pairwise损失有偏与pointwise类似,具体细节可参照原文。

3 Method

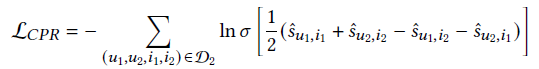
3.1 CPR Loss

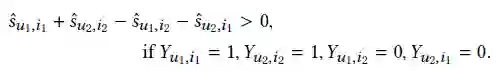
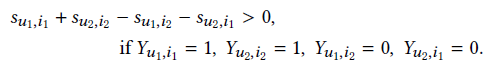
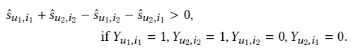
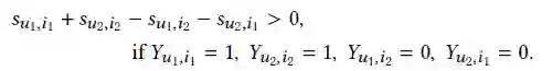
其中为训练数据。CPR损失鼓励两个正样本的预测分数之和高于两个负样本的预测分数之和,即:
作者基于曝光概率可以分解为用户倾向,物品倾向和用户-物品相关性这一假设,证明了CPR损失的无偏性。这一假设可形式化的表述为
基于这一假设,期望的排序可以改写为:
因此,
通过对上述四项的组合得到
因此CPR损失是无偏的。

3.2 Extending to More Interactions

上述对于CPR损失的讨论仅限于包含两组观测到的正样本,以下将其拓展到多组正样本:

作者提出了以一种动态采样方法去构建样本集合 ,具体流程如下:

3.3 Discussion

作者在论文中还讨论了CPR与基于IPS的方法,setwise排序的不同,具体细节参照论文。

4 Experiments

Datasets

Metrics

Recall@K, NDCG@K and ARP@K

Baselines

BPR, Multi-VAE, CausE, Rel-MF, UBPR, DICE

Results

可以看出,在三个数据集上,CPR都取得了明显的性能提升。

CPR方法相较于其他方法能够更早收敛到最优,训练时间也相较于baseline更短。

可以看出物品被推荐的概率随着组ID的增大而减小,说明流行物品被推荐的概率逐渐降低。

可以看出CPR损失不论应用在哪些backbone上,都明显优于baseline。

更多实验细节参考原文。

欢迎干货投稿 \ 论文宣传 \ 合作交流

推荐阅读

论文周报 | 推荐系统领域最新研究进展
SIGIR2022 | 推荐系统论文集锦
当推荐系统遇上多模态Embedding

由于公众号试行乱序推送,您可能不再准时收到机器学习与推荐算法的推送。为了第一时间收到本号的干货内容, 请将本号设为星标,以及常点文末右下角的“在看”。

喜欢的话点个在看吧👇
登录查看更多
0

相关内容

【WWW2022】用于分布外推荐的因果表征学习
专知会员服务
20+阅读 · 2022年5月11日
WWW 2022 :基于纯MLP架构的序列推荐模型
专知会员服务
16+阅读 · 2022年3月20日
【AAAI2022】多任务推荐中的跨任务知识提炼
专知会员服务
25+阅读 · 2022年2月22日
专知会员服务
44+阅读 · 2021年5月26日
【WWW2021】 大规模组合K推荐
专知会员服务
44+阅读 · 2021年5月3日
专知会员服务
37+阅读 · 2021年4月18日
【WWW2021】场矩阵分解机推荐系统
专知会员服务
33+阅读 · 2021年2月27日
【WWW2021】兴趣感知消息传递图卷积神经网络的推荐
专知会员服务
45+阅读 · 2021年2月23日
专知会员服务
30+阅读 · 2021年2月21日
WWW2022@教程 | 基于对比学习的推荐系统
机器学习与推荐算法
4+阅读 · 2022年4月26日
基于图的推荐中的负采样原则 | 论文荐读
学术头条
1+阅读 · 2022年3月15日
最全推荐系统传统算法合集
机器学习与推荐算法
0+阅读 · 2022年1月24日
WWW'21 | 基于图的视角学习推荐系统的公平表征
图与推荐
0+阅读 · 2021年12月11日
SIGIR2021 | 基于排序的推荐系统度量优化新视角
机器学习与推荐算法
1+阅读 · 2021年12月6日
KDD21 | 如何纠正推荐系统中的流行度偏差
图与推荐
1+阅读 · 2021年11月25日
基于对比学习的推荐算法总结
机器学习与推荐算法
1+阅读 · 2021年9月16日
国家自然科学基金
1+阅读 · 2015年12月31日
国家自然科学基金
0+阅读 · 2015年12月31日
国家自然科学基金
1+阅读 · 2015年12月31日
国家自然科学基金
4+阅读 · 2014年12月31日
国家自然科学基金
1+阅读 · 2013年12月31日
国家自然科学基金
1+阅读 · 2013年12月31日
国家自然科学基金
0+阅读 · 2012年12月31日
国家自然科学基金
1+阅读 · 2012年12月31日
国家自然科学基金
0+阅读 · 2012年12月31日
Arxiv
13+阅读 · 2021年5月3日
Disentangled Information Bottleneck
Arxiv
12+阅读 · 2020年12月22日
Cold-start Sequential Recommendation via Meta Learner
Arxiv
15+阅读 · 2020年12月10日
Arxiv
23+阅读 · 2018年8月3日
VIP会员
相关VIP内容
【WWW2022】用于分布外推荐的因果表征学习
专知会员服务
20+阅读 · 2022年5月11日
WWW 2022 :基于纯MLP架构的序列推荐模型
专知会员服务
16+阅读 · 2022年3月20日
【AAAI2022】多任务推荐中的跨任务知识提炼
专知会员服务
25+阅读 · 2022年2月22日
专知会员服务
44+阅读 · 2021年5月26日
【WWW2021】 大规模组合K推荐
专知会员服务
44+阅读 · 2021年5月3日
专知会员服务
37+阅读 · 2021年4月18日
【WWW2021】场矩阵分解机推荐系统
专知会员服务
33+阅读 · 2021年2月27日
【WWW2021】兴趣感知消息传递图卷积神经网络的推荐
专知会员服务
45+阅读 · 2021年2月23日
专知会员服务
30+阅读 · 2021年2月21日
相关资讯
WWW2022@教程 | 基于对比学习的推荐系统
机器学习与推荐算法
4+阅读 · 2022年4月26日
基于图的推荐中的负采样原则 | 论文荐读
学术头条
1+阅读 · 2022年3月15日
最全推荐系统传统算法合集
机器学习与推荐算法
0+阅读 · 2022年1月24日
WWW'21 | 基于图的视角学习推荐系统的公平表征
图与推荐
0+阅读 · 2021年12月11日
SIGIR2021 | 基于排序的推荐系统度量优化新视角
机器学习与推荐算法
1+阅读 · 2021年12月6日
KDD21 | 如何纠正推荐系统中的流行度偏差
图与推荐
1+阅读 · 2021年11月25日
基于对比学习的推荐算法总结
机器学习与推荐算法
1+阅读 · 2021年9月16日
相关基金
国家自然科学基金
1+阅读 · 2015年12月31日
国家自然科学基金
0+阅读 · 2015年12月31日
国家自然科学基金
1+阅读 · 2015年12月31日
国家自然科学基金
4+阅读 · 2014年12月31日
国家自然科学基金
1+阅读 · 2013年12月31日
国家自然科学基金
1+阅读 · 2013年12月31日
国家自然科学基金
0+阅读 · 2012年12月31日
国家自然科学基金
1+阅读 · 2012年12月31日
国家自然科学基金
0+阅读 · 2012年12月31日
Top
微信扫码咨询专知VIP会员