KDD’20 | 解决会话(session)推荐中图神经网络的信息损失问题

2020 年 11 月 29 日 图与推荐

Handling Information Loss of Graph Neural Networks for Session-based Recommendation, KDD 2020


引言



       会话(session)推荐是指预测用户在一段相对较短的时间(会话)会接触哪些商品。因为用户的会话记录是按时间排列的,所以过去很多方法是基于序列推荐方法来进行预测。随着图神经网络的兴起,最近有一些工作是将会话记录构建成图来建模商品之间的跳转关系,本文主要是针对过去的方法进行优化,去解决之前使用图神经网络时的存在的信息损失问题。



背景




       在互联网服务中,用户的行为是天然地按照实际排列。为了预测用户未来的行为,序列推荐系统通过从用户的历史行为中学习用户的偏好。会话推荐就是序列推荐的一个特例。不同于传统的序列推荐系统,会话推荐将用户的行为记录分成多个会话,每一个会话中商品间的时间间隔都较短。因此,会话推荐能更好的发掘用户当下的兴趣并进行准确的推荐。
       过去,基于循环神经网络(RNN)的会话推荐算法成为了将深度学习应用在推荐系统上的一个典范[1]。RNN在处理序列数据上有着独特的优势,因此在类似的会话推荐问题上取得了很好的效果。在此之后,一些基于RNN并融合了注意力和记忆力机制的算法对这个算法进行了完善[2], [3]。2019年,SR-GNN [4] 首先将图神经网络(GNN)应用在会话推荐算法上,因为会话中的商品经常会有重复,因此这些商品可以构建出一个有向图。通过将GNN用在构建出的图上,我们可以利用图结构学习到商品之间的跳转关系从而更好的去理解商品。
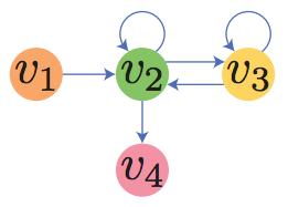
       然而,之前的在会话推荐上使用GNN的方法存在着一些问题。第一,会话的商品序列和构建出的有向图不是一一对应的。如图1所示,(v1, v2, v3, v3, v2, v2, v4) 和 (v1, v2, v2, v3, v3, v2, v4)这两个序列可以都用这一个图来表示,而这两个序列存在着明显差别,因此说明在构建图时存在着信息损失。损失的信息是每个边存在的顺序,因为每一个边都是用户在特定时刻与商品产生的交互,而图中的环形结构会模糊交互发生的时间。

图1、传统会话图


       第二,目前的GNN没有办法解决长序列问题。由于存在过度平滑(over-smoothing)的问题,GNN一般无法考虑超过三阶的邻居,所以在GNN中我们无法考虑相距较远的商品。而RNN可以考虑到序列整体,并且可以加入长短时记忆(LSTM)来记忆最早出现在会话里的商品,因此GNN在这方面存在劣势。


模型




       本文基于上述这些问题,提出了LESSR模型,该模型主要有两个模块构成:边顺序保留聚合层(edge-order preserving aggregation, EOPA)和直连图注意力层 (shortcut graph attention, SGAT)。

EOPA层

       EOPA层是将原本的有向图转化为保留边顺序的图,具体策略是对于图中的每一个点,我们对它的入度的边按出现时间进行排序,从而对每个边加入一个序号。对于会话(v1, v2, v3, v3, v2, v2, v4),图2中左图是用过去方法所构建的图,而右图是保留边顺序的图。在右图中,根据会话的记录,点v2入度为3,分别是(v1,v2), (v3,v2), (v2,v2),因此我们按顺序给这些边标一个序号,这样我们就能在图中表达出边出现的顺序。

图2、边顺序保留图


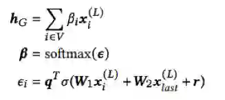
        针对图(b)表示的保留边顺序的图,本文提出了EOPA层。它的主要想法是通过GNN的一个分支GRU模型来对每个点的邻居按标好的顺序进行聚合。具体公式如下:


在此公式中,xi表示目标节点,xj表示xi的邻居,di代表xi序号排最后的邻居,hdi是用GRU聚合之后的邻居表达,||表示将两个向量相连。通过这种方法我们就可以在GNN的框架下将邻居按顺序聚合,从而表示会话中商品的序列关系。


SGAT层


       为了解决长序列的问题,本文采取的方法是将相距较远的邻居用一条额外引入的边连接起来。如图3所示,左图依然是用过去方法基于会话(v1, v2, v3, v3, v2, v2, v4)构建的图,右图则是新构建的直连图。直连图将一些经过一个或几个连续节点可以相连的点用一条额外的直连边连接起来。例如v1和v3通过v2相连,我们就可以加入一条新的边把v1和v3连接起来。


图3、直连图


      对于直连图,本文提出了SGAT层来学习点的表达。基于自注意力(self-attention)的方法,我们可以学出每条边的注意力权重α,然后在聚合时我们用得到的节点表达乘上注意力权重就可以算出目标节点的表达。


       模型的整体结构如图4所示。我们将原本的会话序列转化成边顺序保留图和直连图。通过将EOPA和SGAT层穿插着堆叠起来,我们可以构建出一个多层的神经网络模型。
图4、本文所提出的LESSR模型

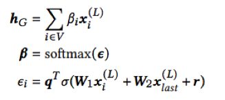
       在用GNN得到每个节点的表达后,我们再加入一个readout函数来得到这个会话的整体表达。本文的readout函数首先是将会话中最后一个商品与所有其他商品算self-attention然后加权求和,具体如下公式:

       x i是会话中的各个商品,x last是其中最后一个商品。在会话推荐中,最后一个商品往往能更准确的表达用户当前的兴趣(详细原因点击 这里)。之后如以下公式我们将最后一个商品的表达与self-attention之后的表达相连从而得到会话的表达。

       在预测层中,本文用了传统的softmax函数来预测用户未来可能喜欢的商品。


实验



      本文用的数据集是三个会话推荐中常用的数据集。具体数据的统计如表1所示。

表1、数据集


      本文的实验结果和8个过去已发表的会话推荐的模型进行对比,如表2所示,整体而言相较过去的模型有所提升,在LastFM上较为显著。

表2、实验结果


 

译者总结



       本文描述了一些在用图神经网络进行会话推荐时存在的问题,并给出了一些解决方法,作者从信息损失和长序列这两个问题出发,分别设计了两个模块来解决这个问题。但其中我个人认为直连图的方法存在问题,他们将两个实际上并不直接相连的连接起来,这样相当于额外引入了不存在的信息,这种方法会对模型产生误导,引来不必要的误差。整体而言,本文依然有着不错的切入角度,并且本文的写作也能让读者很容易理解他们为什么要这么设计模型。



参考文献:

[1] Session-based Recommendation with Recurrent Neural Networks, ICLR 2016

[2] Neural Attentive Session-based Recommendation, CIKM 2017

[3] Self-Attentive Sequential Recommendation, ICDM 2018

[4] Session-based Recommendation with Graph Neural Networks, AAAI 2018


往期文章:



登录查看更多
8

相关内容

【WSDM2021】多交互注意力网络细粒度特征学习的CTR预测
专知会员服务
25+阅读 · 2020年12月27日
【KDD2020】 解决基于图神经网络的会话推荐中的信息损失
专知会员服务
32+阅读 · 2020年10月29日
【KDD 2020】基于互信息最大化的多知识图谱语义融合
专知会员服务
43+阅读 · 2020年9月7日
SIGIR2020 | 一种新颖的推荐系统重训练技巧
机器学习与推荐算法
6+阅读 · 2020年9月7日
“推荐系统”加上“图神经网络”
机器学习与推荐算法
12+阅读 · 2020年3月23日
【推荐系统】16篇最新推荐系统论文送你
深度学习自然语言处理
3+阅读 · 2020年3月7日
推荐系统(一):推荐系统基础
菜鸟的机器学习
25+阅读 · 2019年9月2日
推荐系统概述
Python开发者
11+阅读 · 2018年9月27日
Arxiv
92+阅读 · 2020年2月28日
Arxiv
20+阅读 · 2019年11月23日
Next Item Recommendation with Self-Attention
Arxiv
5+阅读 · 2018年8月25日
Arxiv
12+阅读 · 2018年1月28日
Arxiv
5+阅读 · 2017年11月13日
VIP会员
相关VIP内容
【WSDM2021】多交互注意力网络细粒度特征学习的CTR预测
专知会员服务
25+阅读 · 2020年12月27日
【KDD2020】 解决基于图神经网络的会话推荐中的信息损失
专知会员服务
32+阅读 · 2020年10月29日
【KDD 2020】基于互信息最大化的多知识图谱语义融合
专知会员服务
43+阅读 · 2020年9月7日
相关资讯
SIGIR2020 | 一种新颖的推荐系统重训练技巧
机器学习与推荐算法
6+阅读 · 2020年9月7日
“推荐系统”加上“图神经网络”
机器学习与推荐算法
12+阅读 · 2020年3月23日
【推荐系统】16篇最新推荐系统论文送你
深度学习自然语言处理
3+阅读 · 2020年3月7日
推荐系统(一):推荐系统基础
菜鸟的机器学习
25+阅读 · 2019年9月2日
推荐系统概述
Python开发者
11+阅读 · 2018年9月27日
Top
微信扫码咨询专知VIP会员