肥胖、抑郁、厌食、焦虑:到底什么控制着女性的情绪和身体?

2017 年 11 月 14 日 转化医学网 Juka,John

点击上方“转化医学网”订阅我们!

干货 | 靠谱 | 实用  

全世界的肥胖一样

导  读


抑郁症已经是现代社会的一个重大社会难题。据世界卫生组织统计,全球抑郁症发病率约为11%,全球约有3.4亿抑郁症患者。当前抑郁症已经成为世界第四大疾病,预计到2020年可能将成为仅次于心脏病的人类第二大疾患。抑郁症到底是怎么发生的呢?近日,一篇发表在《Neuropsychopharmacology》上的文章为我们揭开了厌食症患者和肥胖人群抑郁症的一角。


不同的人群抑郁程度不同。调查发现,神经厌食症女性超过50%都患有不同程度的抑郁或焦虑,而43%的肥胖患者也存在抑郁症。也即是说:在这两类人群中,几乎一半人都存在抑郁。


这到底是为什么呢?


发表在《Nature》子刊题为“Neuroactive Steroids and Affective Symptoms in Women Across the Weight Spectrum”的文章,揭示了神经性厌食症患者和肥胖患者女性为什么更加容易发生抑郁症。



这篇研究报道发现神经厌食症或肥胖女性体内的一种激素水平较低,从而更加容易致抑郁等疾病的发生。


在女性体内有一种很重要的激素,名字叫做黄体酮,是卵巢分泌的具有生物活性的主要孕激素。而黄体酮的代谢产物,被称为四氢孕酮(Allo),而在神经性厌食症和肥胖患者,Allo含量普遍较低,这使得这两类患者患抑郁和叫焦虑的概率大大增加。


在本次研究中,研究人员一共选取了36名参与研究的女性,包括12名厌食症女性患者,她们都存在闭经的情况且她们的身体质量指数(BMI)低于18.5;12名正常体重患者,她们的BMI介于19和24之间; 12名肥胖妇女,BMI≥ 25。


研究中,研究人员使用气相色谱和质谱来监测此类浓度非常小的化合物在血清、唾液和脑组织中的含量。



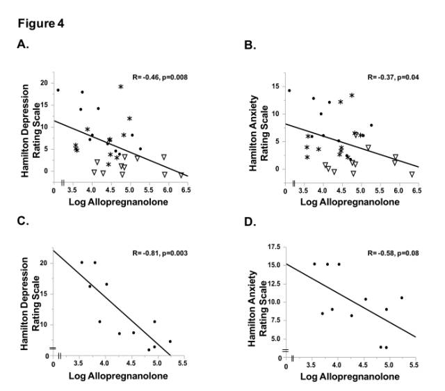
研究人员发现在神经性厌食症妇女和肥胖妇女的血液中,allo水平比正常体重的女性要低50%,在临床确诊的肥胖患者体中, allo水平比正常女性低60%。


Allo水平越低,患者抑郁和焦虑的情况越严重



研究人员还发现,所有参与者都存在同种程度的抑郁和焦虑症状。Allo含量较低的参与者有更严重的抑郁症状。



Allo能与脑中的γ-氨基丁酸受体相结合,这些受体也是抗焦虑药物如苯二氮卓类药物的靶点,当γ-氨基丁酸与它的受体相结合时,allo通过增强其产生的信号,从而产生令人愉悦的情绪。而当Allo含量较低的时候,人就更容易焦虑和抑郁。


“越来越多的证据证明,低水平的allo与抑郁、焦虑、创伤后应激障碍和其他精神障碍有关。” 芝加哥医学院的神经病学教授Graziano Pinna指出:“神经厌食症和肥胖女性的allo水平较低,增加了allo在情绪障碍中的作用。”


所有参与的人员都显示孕酮含量较低,这暗示了神经性厌食和肥胖患者allo的降低可能是孕酮代谢allo的相关酶系的功能异常导致的。


“神经性厌食症的女性孕酮水平较低,这是因为他们现在是闭经状态,其他两组孕酮水平也较低,因为血液进入卵泡期时孕酮自然状态下就会低。”Pinna说道,“肥胖患者与正常患者相比具有更低的allo,更加说明了抑郁和焦虑与Allo有关,与孕激素含量无关”。


“抑郁症是一个非常普遍的问题,特别对厌食或肥胖的女性而言。”Miller感叹道:“希望未来能彻底弄清它的机制。”


参考资料:Laura E Dichtel et al, Neuroactive Steroids and Affective Symptoms in Women Across the Weight Spectrum, Neuropsychopharmacology (2017). DOI: 10.1038/npp.2017.269


END

会议推荐

2017现代临床分子诊断研讨会

(中国·上海    2017年12月9日-10日)

嘉宾阵容(左右滑动查看更多)


点击图片,看会议详情!

点击阅读原文,填写表单,报名参加!


登录查看更多
1

相关内容

【ICMR2020】持续健康状态接口事件检索
专知会员服务
18+阅读 · 2020年4月18日
专知会员服务
29+阅读 · 2020年3月6日
《代码整洁之道》:5大基本要点
专知会员服务
50+阅读 · 2020年3月3日
【学科交叉】抗生素发现的深度学习方法
专知会员服务
25+阅读 · 2020年2月23日
2019必读的十大深度强化学习论文
专知会员服务
59+阅读 · 2020年1月16日
见字如面:二十年,终于等到你
肿瘤资讯
7+阅读 · 2019年6月19日
教辅巨头沉浮录(1978-2018)
创业家
3+阅读 · 2019年1月8日
【Blood】去甲基化治疗失败后,MDS应如何治疗?
浅谈外泌体抑制剂——鞘磷脂酶抑制剂GW4869
外泌体之家
8+阅读 · 2018年12月19日
AI情绪识别技术背后:一场悄然来袭的“暴政”
大数据文摘
7+阅读 · 2018年10月11日
当我们在读书时,我们在读什么?
互联网er的早读课
3+阅读 · 2018年3月19日
Self-Attention Graph Pooling
Arxiv
5+阅读 · 2019年4月17日
Arxiv
3+阅读 · 2018年10月18日
VIP会员
相关VIP内容
【ICMR2020】持续健康状态接口事件检索
专知会员服务
18+阅读 · 2020年4月18日
专知会员服务
29+阅读 · 2020年3月6日
《代码整洁之道》:5大基本要点
专知会员服务
50+阅读 · 2020年3月3日
【学科交叉】抗生素发现的深度学习方法
专知会员服务
25+阅读 · 2020年2月23日
2019必读的十大深度强化学习论文
专知会员服务
59+阅读 · 2020年1月16日
Top
微信扫码咨询专知VIP会员