【二重积分】图解高等数学-下 17

2018 年 1 月 28 日 遇见数学 公理

12.1 二重积分

将一元函数积分推广来看对于连续函数 f(x,y) 如何求二重积分. 每个二重积分都可以方便地用定积分的方法分步进行计算.

矩形区域上的二重积分

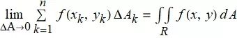
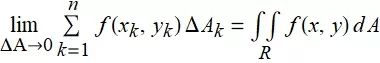
设 f(x,y) 在矩形区域 R: a<=x<=b, c<=y<=d 上有定义. 如果 R 被分别平行于 x 轴和 y 轴的直线网格所划分成许多小块面积 ∆ A="∆ x∆ y" . 如下动画所示

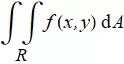
当网格不断进行细分使 ∆x 和 ∆y 都趋近零时, 则趋于 R 的面积趋近于极限值, 则称该极限值为 f 在 R 上的二重积分, 记为:

值得注意的是 f 函数的连续性是二重积分存在的一个充分条件, 对于许多不连续的函数, 该极限也存在.

二重积分的性质

连续函数的二重积分也有一些代数性质:

作为体积的二重积分

当 f(x,y) 为正函数时, 则可以把矩形区域 R 上的 f 函数二重积积分视为曲面为 z=f(x,y) 的棱柱体的体积.

计算二重积分的 Fubini 定理

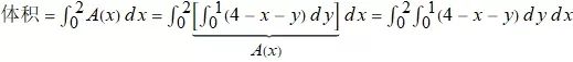
现在 计算 xy 平面内矩形区域 R : 0<=x<=2, 0<=y<=1 在平面 z=4-x-y 下面的体积。 求其二重积分的过程请看下面的动画。

也就是说体积可以这样计算出来: 先固定 x, 将 4-xy 先关于 y 从 y=0 到 y=1, 然后再对所得 x 的表达式关于 x 从 x=0 到 x=2 积分. 则体积可以写成表达式:

上述表达式称为二重积分或累次积分(iterated integral).

Guido Fubini(圭多.富比尼) 在1907年证明了矩形域上任意一个连续函数的二重积分都可以用两种累次积分的任一种次序计算.

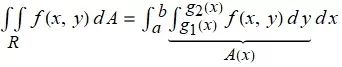
有界非矩形区域上的二重积分

函数 f(x,y) 在非矩形区域 R 上的二重积分, 设想被网格覆盖, 不过在 R 内的小块面积为红色, 如下图所示:可以看到随着网格不断细分, R内包含的小矩形方块越来越趋于零时, S 就会有极限, 则称该极限为 f 在 R 上的二重积分:

如果 f(x,y) 为正, 且在 R 上连续, 则曲面 z=f(x,y) 与 R 之间的立体趋于的体积为:

观看下面的动画:

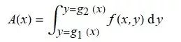
在 xy 平面内, 如果 R 是一个由两条曲线 g1(x) 和 g2(x) 围城的区域. 则也可以用切片法来求体积. 先计算截面面积 A(x):

然后再对 A(x) 从 x=a 到 x=b 作积分可以求得体积:

观察下面动画 A(x) 从 x=a 到 x=b 作积分的过程:

登录查看更多
0

相关内容

通常认为,高等数学是由微积分学,较深入的代数学、几何学以及它们之间的交叉内容所形成的一门基础学科。
【UCLA】基于深度神经网络的工业大模型预测控制,36页ppt
【圣经书】《强化学习导论(2nd)》电子书与代码,548页pdf
专知会员服务
208+阅读 · 2020年5月22日
自回归模型:PixelCNN
专知会员服务
27+阅读 · 2020年3月21日
特征方程的物理意义
算法与数学之美
6+阅读 · 2019年5月13日
博客 | MIT—线性代数(下)
AI研习社
6+阅读 · 2018年12月20日
博客 | MIT—线性代数(上)
AI研习社
9+阅读 · 2018年12月18日
条件概率和贝叶斯公式 - 图解概率 03
遇见数学
10+阅读 · 2018年6月5日
入门 | 这是一份文科生都能看懂的线性代数简介
机器之心
14+阅读 · 2018年3月31日
【机器学习数学基础】动图解释泰勒级数(一)
机器学习研究会
6+阅读 · 2018年2月25日
图解高等数学|线性代数
遇见数学
39+阅读 · 2017年10月18日
蒙特卡罗方法入门
算法与数学之美
7+阅读 · 2017年9月26日
机器学习(13)之最大熵模型详解
机器学习算法与Python学习
7+阅读 · 2017年8月24日
【基础数学】- 01
遇见数学
20+阅读 · 2017年7月25日
Arxiv
4+阅读 · 2018年9月6日
Arxiv
3+阅读 · 2018年4月18日
Arxiv
3+阅读 · 2017年12月23日
Arxiv
3+阅读 · 2017年12月18日
VIP会员
相关VIP内容
【UCLA】基于深度神经网络的工业大模型预测控制,36页ppt
【圣经书】《强化学习导论(2nd)》电子书与代码,548页pdf
专知会员服务
208+阅读 · 2020年5月22日
自回归模型:PixelCNN
专知会员服务
27+阅读 · 2020年3月21日
相关资讯
特征方程的物理意义
算法与数学之美
6+阅读 · 2019年5月13日
博客 | MIT—线性代数(下)
AI研习社
6+阅读 · 2018年12月20日
博客 | MIT—线性代数(上)
AI研习社
9+阅读 · 2018年12月18日
条件概率和贝叶斯公式 - 图解概率 03
遇见数学
10+阅读 · 2018年6月5日
入门 | 这是一份文科生都能看懂的线性代数简介
机器之心
14+阅读 · 2018年3月31日
【机器学习数学基础】动图解释泰勒级数(一)
机器学习研究会
6+阅读 · 2018年2月25日
图解高等数学|线性代数
遇见数学
39+阅读 · 2017年10月18日
蒙特卡罗方法入门
算法与数学之美
7+阅读 · 2017年9月26日
机器学习(13)之最大熵模型详解
机器学习算法与Python学习
7+阅读 · 2017年8月24日
【基础数学】- 01
遇见数学
20+阅读 · 2017年7月25日
Top
微信扫码咨询专知VIP会员