【向量值函数和空间曲线】图解高等数学-下 06

2017 年 12 月 18 日 遇见数学 李想

10.5 向量值函数和空间曲线

就想平面曲线那样, 为研究空间中质点的运动轨迹, 研究从原点到质点的向量 r 变化. 这里假定质点的位置坐标是时间 t 的二次可微函数.

空间曲线

当一个质点在时间区间 I 在空间内运动时, 可以把质点的坐标看做在 I 上的函数:

点 (x,y) = (f(t), g(t)) 形成空间上的曲线, 称它为质点的路径. 从原点到质点在时刻 t 的位置 P(f(t),g(t),h(t)) 的向量:

是质点的位置向量, 函数 f 和 g 是位置向量的分量函数(分量). 质点的路径是在时间区间 I 由 r 绘制的曲线. 观察下面的空间曲线:

极限和连续

相同方式来定义空间向量函数的极限.

导数和运动

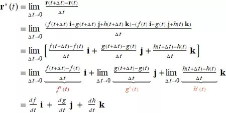
空间向量函数的导数与平面向量函数同样方式定义, 无非现在多了第三个分量.

导数定义的几何意义跟平面曲线一样, 观察下图 r'(t) 为点 P 的切向量.

圆柱螺线

向量函数 r 描绘的曲线是绕在圆柱上的螺线(Helix).

对光滑曲线要求 dr/dt != 0 是为了保证曲线在每点有连续转动的切线, 在光滑曲线上没有拐角和尖角. 现在观察有尖拐角的空间曲线情况.

速度, 加速度, 运动方向

微分法则

微分法则与平面向量函数相同, 无非现在多了第三个分量.


登录查看更多
2

相关内容

Python地理数据处理,362页pdf,Geoprocessing with Python
专知会员服务
116+阅读 · 2020年5月24日
【经典书】机器学习高斯过程,266页pdf
专知会员服务
200+阅读 · 2020年5月2日
机器学习速查手册,135页pdf
专知会员服务
345+阅读 · 2020年3月15日
 第八届中国科技大学《计算机图形学》暑期课程课件
专知会员服务
62+阅读 · 2020年3月4日
小孩都看得懂的主成分分析
平均机器
4+阅读 · 2019年9月22日
特征方程的物理意义
算法与数学之美
6+阅读 · 2019年5月13日
BAT机器学习面试题1000题(331~335题)
七月在线实验室
12+阅读 · 2018年8月13日
条件概率和贝叶斯公式 - 图解概率 03
遇见数学
10+阅读 · 2018年6月5日
入门 | 这是一份文科生都能看懂的线性代数简介
机器之心
14+阅读 · 2018年3月31日
【干货】​深度学习中的线性代数
专知
21+阅读 · 2018年3月30日
傅里叶变换和拉普拉斯变换的物理解释及区别
算法与数学之美
11+阅读 · 2018年2月5日
图解高等数学|线性代数
遇见数学
39+阅读 · 2017年10月18日
BAT机器学习面试1000题系列(第51~55题)
七月在线实验室
10+阅读 · 2017年10月8日
BAT机器学习面试1000题系列(第36~40题)
七月在线实验室
8+阅读 · 2017年10月3日
Generating Rationales in Visual Question Answering
Arxiv
5+阅读 · 2020年4月4日
Learning Implicit Fields for Generative Shape Modeling
Arxiv
11+阅读 · 2018年12月6日
Arxiv
6+阅读 · 2018年4月4日
VIP会员
相关资讯
小孩都看得懂的主成分分析
平均机器
4+阅读 · 2019年9月22日
特征方程的物理意义
算法与数学之美
6+阅读 · 2019年5月13日
BAT机器学习面试题1000题(331~335题)
七月在线实验室
12+阅读 · 2018年8月13日
条件概率和贝叶斯公式 - 图解概率 03
遇见数学
10+阅读 · 2018年6月5日
入门 | 这是一份文科生都能看懂的线性代数简介
机器之心
14+阅读 · 2018年3月31日
【干货】​深度学习中的线性代数
专知
21+阅读 · 2018年3月30日
傅里叶变换和拉普拉斯变换的物理解释及区别
算法与数学之美
11+阅读 · 2018年2月5日
图解高等数学|线性代数
遇见数学
39+阅读 · 2017年10月18日
BAT机器学习面试1000题系列(第51~55题)
七月在线实验室
10+阅读 · 2017年10月8日
BAT机器学习面试1000题系列(第36~40题)
七月在线实验室
8+阅读 · 2017年10月3日
Top
微信扫码咨询专知VIP会员