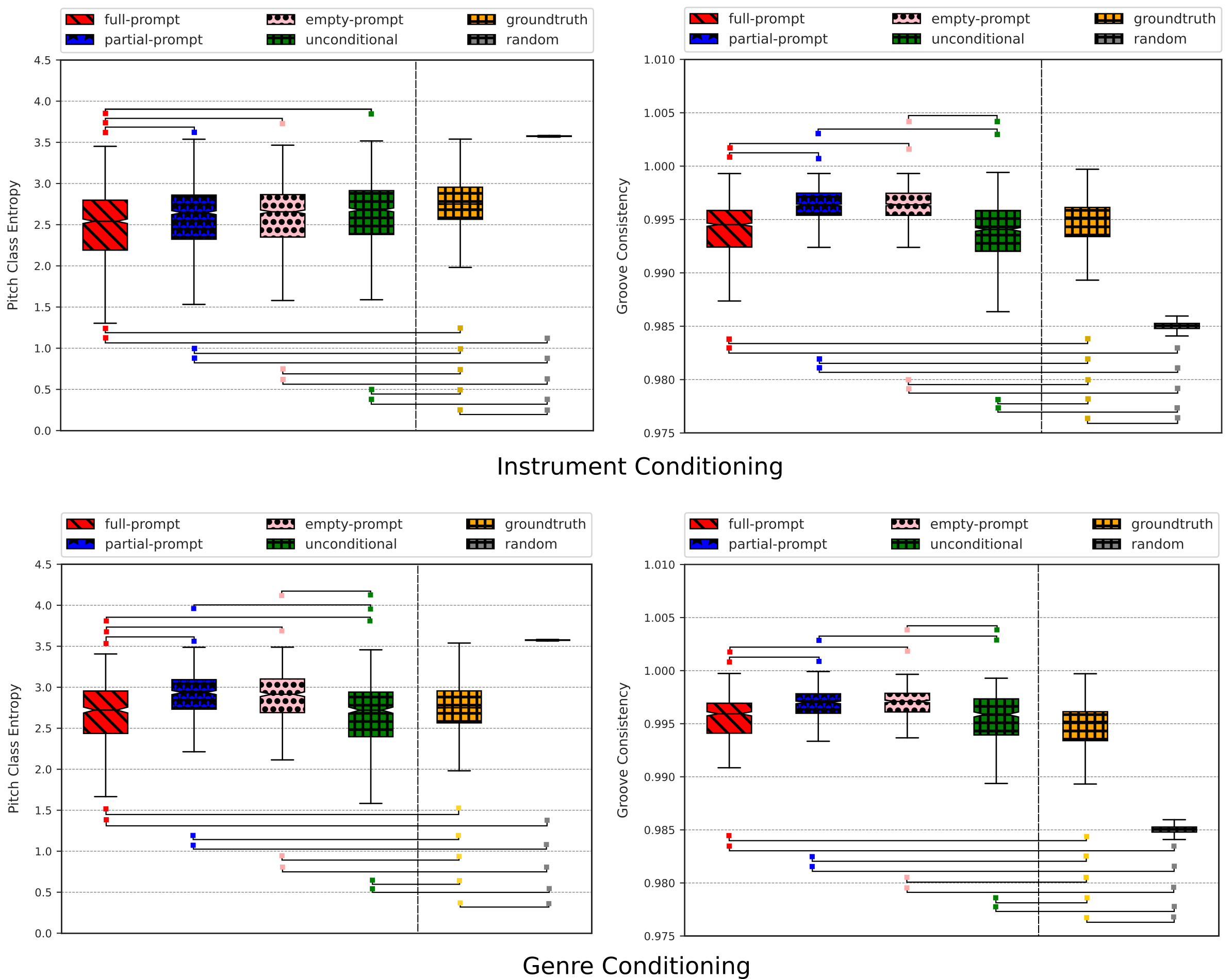
Recently, symbolic music generation with deep learning techniques has witnessed steady improvements. Most works on this topic focus on MIDI representations, but less attention has been paid to symbolic music generation using guitar tablatures (tabs) which can be used to encode multiple instruments. Tabs include information on expressive techniques and fingerings for fretted string instruments in addition to rhythm and pitch. In this work, we use the DadaGP dataset for guitar tab music generation, a corpus of over 26k songs in GuitarPro and token formats. We introduce methods to condition a Transformer-XL deep learning model to generate guitar tabs (GTR-CTRL) based on desired instrumentation (inst-CTRL) and genre (genre-CTRL). Special control tokens are appended at the beginning of each song in the training corpus. We assess the performance of the model with and without conditioning. We propose instrument presence metrics to assess the inst-CTRL model's response to a given instrumentation prompt. We trained a BERT model for downstream genre classification and used it to assess the results obtained with the genre-CTRL model. Statistical analyses evidence significant differences between the conditioned and unconditioned models. Overall, results indicate that the GTR-CTRL methods provide more flexibility and control for guitar-focused symbolic music generation than an unconditioned model.


翻译:最近,具有深层学习技巧的象征性音乐生成稳步改善。关于这个主题的多数工作侧重于MIDI的演示,但较少注意使用吉他塔板(tabs)来编码多种仪器的象征性音乐生成。标签包括了除节奏和音调外,对疲软字符串工具的表达技巧和指头的信息。在这项工作中,我们使用DadaGP数据集来制作吉他标签,在GuitarPro和象征性格式中堆放26k的歌曲。我们引入了一些方法,以设置一个变异器-XL深层学习模型,以根据理想的仪表(Int-CTRL)和genre(gend-CTRL)制作吉他标签(GTR-C)来制作吉他标签(GTR-C)和吉他(genle)来生成吉他。特别控制符号被附在每首歌曲的开始处,我们用且不设任何限制地评估模型的性能。我们提出了仪器存在量度指标来评估Sto-CTRL模型对特定仪表的响应速度。我们训练了下方的模型模型,用一个模型来进行分类,并用它用来评估了下游的模型,用它来评估了下游的模型的模型来评估结果,并且用模型来评估了GTRTRTRL的模型,用模型来评估了G-C的模型的模型的模型的模型,用一个显著的模型,并用了一个基础分析。提供了一个基础的模型的模型的模型的模型,提供了一种不精确的模型。

0
下载
关闭预览

相关内容

ACM/IEEE第23届模型驱动工程语言和系统国际会议,是模型驱动软件和系统工程的首要会议系列,由ACM-SIGSOFT和IEEE-TCSE支持组织。自1998年以来,模型涵盖了建模的各个方面,从语言和方法到工具和应用程序。模特的参加者来自不同的背景,包括研究人员、学者、工程师和工业专业人士。MODELS 2019是一个论坛,参与者可以围绕建模和模型驱动的软件和系统交流前沿研究成果和创新实践经验。今年的版本将为建模社区提供进一步推进建模基础的机会,并在网络物理系统、嵌入式系统、社会技术系统、云计算、大数据、机器学习、安全、开源等新兴领域提出建模的创新应用以及可持续性。 官网链接:http://www.modelsconference.org/
Stabilizing Transformers for Reinforcement Learning
专知会员服务
60+阅读 · 2019年10月17日
强化学习最新教程,17页pdf
专知会员服务
182+阅读 · 2019年10月11日
[综述]深度学习下的场景文本检测与识别
专知会员服务
78+阅读 · 2019年10月10日
【哈佛大学商学院课程Fall 2019】机器学习可解释性
专知会员服务
105+阅读 · 2019年10月9日
【SIGGRAPH2019】TensorFlow 2.0深度学习计算机图形学应用
专知会员服务
41+阅读 · 2019年10月9日
VCIP 2022 Call for Demos
CCF多媒体专委会
1+阅读 · 2022年6月6日
Hierarchically Structured Meta-learning
CreateAMind
27+阅读 · 2019年5月22日
Transferring Knowledge across Learning Processes
CreateAMind
29+阅读 · 2019年5月18日
强化学习的Unsupervised Meta-Learning
CreateAMind
18+阅读 · 2019年1月7日
Unsupervised Learning via Meta-Learning
CreateAMind
43+阅读 · 2019年1月3日
A Technical Overview of AI & ML in 2018 & Trends for 2019
待字闺中
18+阅读 · 2018年12月24日
disentangled-representation-papers
CreateAMind
26+阅读 · 2018年9月12日
【论文】变分推断(Variational inference)的总结
机器学习研究会
39+阅读 · 2017年11月16日
国家自然科学基金
0+阅读 · 2015年12月31日
国家自然科学基金
1+阅读 · 2015年12月31日
国家自然科学基金
0+阅读 · 2013年12月31日
国家自然科学基金
0+阅读 · 2012年12月31日
国家自然科学基金
0+阅读 · 2012年12月31日
国家自然科学基金
0+阅读 · 2011年12月31日
国家自然科学基金
0+阅读 · 2011年12月31日
国家自然科学基金
0+阅读 · 2009年12月31日
国家自然科学基金
0+阅读 · 2009年12月31日
国家自然科学基金
0+阅读 · 2008年12月31日
Arxiv
0+阅读 · 2023年3月31日
VIP会员
相关资讯
VCIP 2022 Call for Demos
CCF多媒体专委会
1+阅读 · 2022年6月6日
Hierarchically Structured Meta-learning
CreateAMind
27+阅读 · 2019年5月22日
Transferring Knowledge across Learning Processes
CreateAMind
29+阅读 · 2019年5月18日
强化学习的Unsupervised Meta-Learning
CreateAMind
18+阅读 · 2019年1月7日
Unsupervised Learning via Meta-Learning
CreateAMind
43+阅读 · 2019年1月3日
A Technical Overview of AI & ML in 2018 & Trends for 2019
待字闺中
18+阅读 · 2018年12月24日
disentangled-representation-papers
CreateAMind
26+阅读 · 2018年9月12日
【论文】变分推断(Variational inference)的总结
机器学习研究会
39+阅读 · 2017年11月16日
相关基金
国家自然科学基金
0+阅读 · 2015年12月31日
国家自然科学基金
1+阅读 · 2015年12月31日
国家自然科学基金
0+阅读 · 2013年12月31日
国家自然科学基金
0+阅读 · 2012年12月31日
国家自然科学基金
0+阅读 · 2012年12月31日
国家自然科学基金
0+阅读 · 2011年12月31日
国家自然科学基金
0+阅读 · 2011年12月31日
国家自然科学基金
0+阅读 · 2009年12月31日
国家自然科学基金
0+阅读 · 2009年12月31日
国家自然科学基金
0+阅读 · 2008年12月31日
Top
微信扫码咨询专知VIP会员