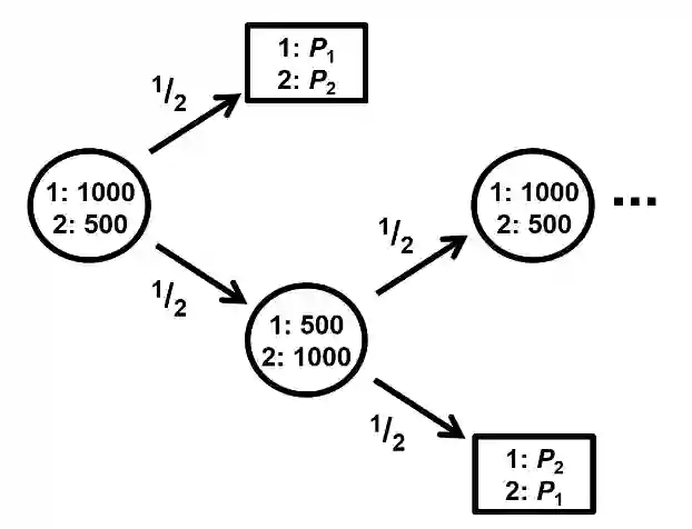
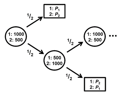
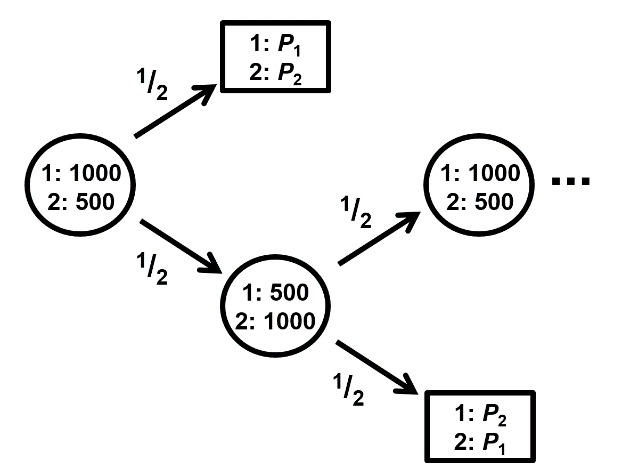
The Dependent Chip Model (DCM) is proposed as an alternative to the Independent Chip Model (ICM) usually employed in poker tournament negotiations. DCM constitutes a recursive exploration of a multiplayer Texas hold'em poker game tree tracking. The DCM procedure considers all players as having exactly the same playing skills and probabilities to win a single poker hand, but submitted to their stacks in order to survive along the successive hands. So, the final differences among bestowed prizes arise purely from the initial chip amounts, hence the name of this new proposed procedure. By considering DCM, the first podium positions usually collect more money than the amount granted by ICM. Conversely, the last podium positions receive less money than the quantities proposed by ICM. The differences among both methods sometimes lead to take distinct actions in tournaments. This can lead to very important monetary implications for professional players.


翻译:独立芯片模型(DCM)是作为通常在扑克比赛谈判中使用的独立芯片模型(ICM)的替代物而提出的。DCM是对一个多玩家德克萨斯州握着他们的扑克树追踪的反复探索。DCM程序认为所有玩家都有完全相同的游戏技巧和概率来赢得一支扑克手,但为了在连续的手中生存下去,都提交了他们的书架。因此,被授予的奖项之间的最后差异纯粹来自最初的芯片数量,因此也属于这一新提议的程序的名称。考虑到DCM,第一位讲台职位通常收集的钱比ICM批准的数额多。相反,最后一位讲台职位获得的钱少于ICM提议的数额。这两种方法之间的差异有时导致在比赛中采取不同的行动。这可能导致对专业玩家产生非常重要的金钱影响。

0
下载
关闭预览

相关内容

专知会员服务
41+阅读 · 2020年9月6日
Stabilizing Transformers for Reinforcement Learning
专知会员服务
60+阅读 · 2019年10月17日
《DeepGCNs: Making GCNs Go as Deep as CNNs》
专知会员服务
31+阅读 · 2019年10月17日
机器学习入门的经验与建议
专知会员服务
94+阅读 · 2019年10月10日
最新BERT相关论文清单,BERT-related Papers
专知会员服务
53+阅读 · 2019年9月29日
Hierarchically Structured Meta-learning
CreateAMind
27+阅读 · 2019年5月22日
【TED】什么让我们生病
英语演讲视频每日一推
7+阅读 · 2019年1月23日
无监督元学习表示学习
CreateAMind
27+阅读 · 2019年1月4日
A Technical Overview of AI & ML in 2018 & Trends for 2019
待字闺中
18+阅读 · 2018年12月24日
Hierarchical Imitation - Reinforcement Learning
CreateAMind
19+阅读 · 2018年5月25日
Hierarchical Disentangled Representations
CreateAMind
4+阅读 · 2018年4月15日
分布式TensorFlow入门指南
机器学习研究会
4+阅读 · 2017年11月28日
Capsule Networks解析
机器学习研究会
11+阅读 · 2017年11月12日
【推荐】RNN/LSTM时序预测
机器学习研究会
25+阅读 · 2017年9月8日
【学习】Hierarchical Softmax
机器学习研究会
4+阅读 · 2017年8月6日
Arxiv
0+阅读 · 2021年4月9日
Logically-Constrained Reinforcement Learning
Arxiv
3+阅读 · 2018年12月6日
Efficient and Effective $L_0$ Feature Selection
Arxiv
5+阅读 · 2018年8月7日
VIP会员
相关资讯
Hierarchically Structured Meta-learning
CreateAMind
27+阅读 · 2019年5月22日
【TED】什么让我们生病
英语演讲视频每日一推
7+阅读 · 2019年1月23日
无监督元学习表示学习
CreateAMind
27+阅读 · 2019年1月4日
A Technical Overview of AI & ML in 2018 & Trends for 2019
待字闺中
18+阅读 · 2018年12月24日
Hierarchical Imitation - Reinforcement Learning
CreateAMind
19+阅读 · 2018年5月25日
Hierarchical Disentangled Representations
CreateAMind
4+阅读 · 2018年4月15日
分布式TensorFlow入门指南
机器学习研究会
4+阅读 · 2017年11月28日
Capsule Networks解析
机器学习研究会
11+阅读 · 2017年11月12日
【推荐】RNN/LSTM时序预测
机器学习研究会
25+阅读 · 2017年9月8日
【学习】Hierarchical Softmax
机器学习研究会
4+阅读 · 2017年8月6日
Top
微信扫码咨询专知VIP会员