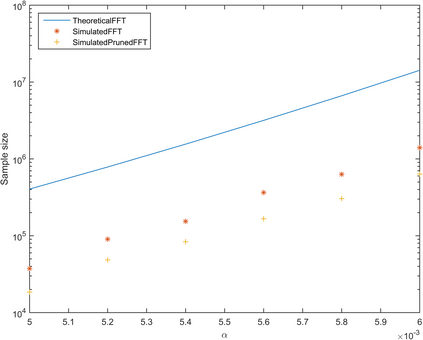
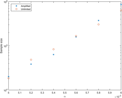
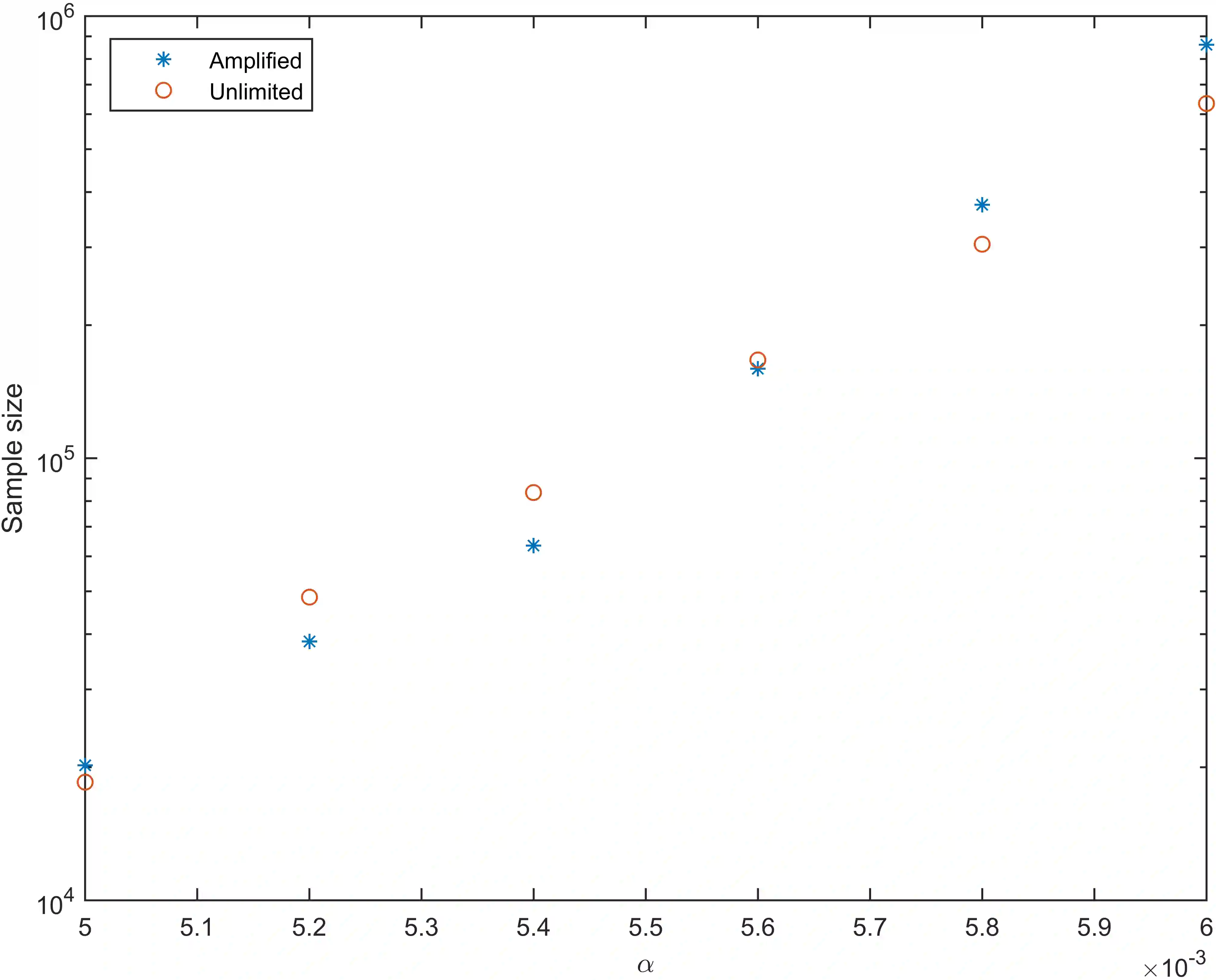
The Learning with Errors (LWE) problem receives much attention in cryptography, mainly due to its fundamental significance in post-quantum cryptography. Among its solving algorithms, the Blum-Kalai-Wasserman (BKW) algorithm, originally proposed for solving the Learning Parity with Noise (LPN) problem, performs well, especially for certain parameter settings with cryptographic importance. The BKW algorithm consists of two phases, the reduction phase and the solving phase. In this work, we study the performance of distinguishers used in the solving phase. We show that the Fast Fourier Transform (FFT) distinguisher from Eurocrypt'15 has the same sample complexity as the optimal distinguisher, when making the same number of hypotheses. We also show that it performs much better than theory predicts and introduce an improvement of it called the pruned FFT distinguisher. Finally, we indicate, via extensive experiments, that the sample dependency due to both LF2 and sample amplification is limited.


翻译:与错误有关的学习问题在加密学学中受到很大重视,这主要是因为它在分子后加密学中具有根本意义。在其解算法中,最初为解决与噪音有关的学习对等问题而提议的Blum-Kalai-Wasserman(BKW)算法(Blum-Kalai-Wasserman)算法(BKW)算法(BKW)算法(BKW)算法(LPN)算法(LPN)算法(LPN)算法(LPN)算法(LPN)算法(LPPN)算法(LPN)算法(LWW)算法(LWWE)问题,特别是某些具有加密重要性的参数设置。BKW算法(BKW)算法由两个阶段组成,即减少阶段和解决阶段的解算法(LF2)和解算法(LFFFFFFT)的分法(S)的分法(LFT),我们通过广泛的实验发现与欧洲加密15的分解法(FORT)的分法(FORT)的分法(F)的分法(F)与最佳分法(EUR)的分法(F)与最佳分法(15)的分法(F)的分法(FORT)算法(F)算法(F)算法(F)算法(F)的分法(F)算法(F)算法(F)算法(F)的分法(F)算法(F)的分法(F)算法(F)算法(LP)算法(F)算法(F)算法(P)算法(F)算法(F)算法(F)算法(F)算法(B)算法(B)算法(B)算法(LP)算法(P)算法(B)算法(B)算法(B)算法(B)算法(P)算法(LF)算法(LF)算法(LP)算法(LF)算法(LF)算法(LF)算法(LP)算法(15)

0
下载
关闭预览

相关内容

专知会员服务
51+阅读 · 2020年12月14日
最新《高级算法》Advanced Algorithms,176页pdf
专知会员服务
92+阅读 · 2020年10月22日
【清华大学】图随机神经网络,Graph Random Neural Networks
专知会员服务
156+阅读 · 2020年5月26日
Fariz Darari简明《博弈论Game Theory》介绍,35页ppt
专知会员服务
112+阅读 · 2020年5月15日
Stabilizing Transformers for Reinforcement Learning
专知会员服务
60+阅读 · 2019年10月17日
强化学习最新教程,17页pdf
专知会员服务
182+阅读 · 2019年10月11日
意识是一种数学模式
CreateAMind
3+阅读 · 2019年6月24日
Hierarchically Structured Meta-learning
CreateAMind
27+阅读 · 2019年5月22日
强化学习的Unsupervised Meta-Learning
CreateAMind
18+阅读 · 2019年1月7日
Unsupervised Learning via Meta-Learning
CreateAMind
43+阅读 · 2019年1月3日
A Technical Overview of AI & ML in 2018 & Trends for 2019
待字闺中
18+阅读 · 2018年12月24日
分布式TensorFlow入门指南
机器学习研究会
4+阅读 · 2017年11月28日
已删除
将门创投
5+阅读 · 2017年8月15日
Auto-Encoding GAN
CreateAMind
7+阅读 · 2017年8月4日
Arxiv
0+阅读 · 2021年3月29日
Arxiv
0+阅读 · 2021年3月26日
Arxiv
6+阅读 · 2019年4月25日
VIP会员
相关VIP内容
专知会员服务
51+阅读 · 2020年12月14日
最新《高级算法》Advanced Algorithms,176页pdf
专知会员服务
92+阅读 · 2020年10月22日
【清华大学】图随机神经网络,Graph Random Neural Networks
专知会员服务
156+阅读 · 2020年5月26日
Fariz Darari简明《博弈论Game Theory》介绍,35页ppt
专知会员服务
112+阅读 · 2020年5月15日
Stabilizing Transformers for Reinforcement Learning
专知会员服务
60+阅读 · 2019年10月17日
强化学习最新教程,17页pdf
专知会员服务
182+阅读 · 2019年10月11日
相关资讯
意识是一种数学模式
CreateAMind
3+阅读 · 2019年6月24日
Hierarchically Structured Meta-learning
CreateAMind
27+阅读 · 2019年5月22日
强化学习的Unsupervised Meta-Learning
CreateAMind
18+阅读 · 2019年1月7日
Unsupervised Learning via Meta-Learning
CreateAMind
43+阅读 · 2019年1月3日
A Technical Overview of AI & ML in 2018 & Trends for 2019
待字闺中
18+阅读 · 2018年12月24日
分布式TensorFlow入门指南
机器学习研究会
4+阅读 · 2017年11月28日
已删除
将门创投
5+阅读 · 2017年8月15日
Auto-Encoding GAN
CreateAMind
7+阅读 · 2017年8月4日
Top
微信扫码咨询专知VIP会员