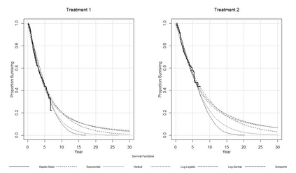
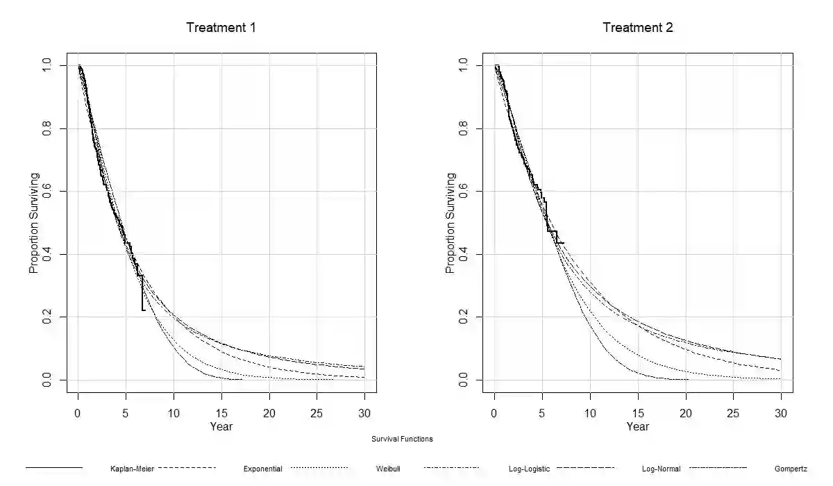
Objectives: The aim of this paper is to contrast the retrospective and prospective use of experts beliefs in choosing between survival models in economic evaluations. Methods: The use of experts retrospective (posterior) beliefs is discussed. A process for prospectively quantifying prior beliefs about model parameters in five standard models is described. Statistical criterion for comparing models, and the interpretation and computation of model probabilities is discussed. A case study is provided. Results: Experts have little difficulty in expressing their posterior beliefs. Information criterion is an approximation to Bayesian model evidence and is based on data alone. In contrast, Bayes factors measure evidence in the data and makes use of prior information. When model averaging is of interest, there is no unique way to specify prior ignorance about model probabilities. Formulating and interpreting weights of similar models should acknowledge the dilution phenomenon such that highly correlated models are given smaller weights than those with low correlation. Conclusion: The retrospective use of experts beliefs to validate a model is potentially misleading, may not achieve its intended objective and is an inefficient use of information. Experts beliefs should be elicited prospectively as probability distributions to strengthen inferences, facilitate the choice of model, and mitigate the impact of dilution on model probabilities in situations when model averaging is of interest.


翻译:本文件的目的是比较在经济评估中选择生存模式时专家信仰的追溯性和预期用途; 方法: 专家回顾(前)信仰的使用; 讨论对五个标准模型中模型参数的先前信仰进行预期量化的过程; 讨论比较模型的统计标准以及模型概率的解释和计算; 提供案例研究; 结果:专家在表达其后背信仰方面几乎没有多少困难; 信息标准是巴耶斯模型证据的近似值,仅以数据为基础; 相比之下,贝耶斯因素衡量数据中的证据,并使用先前的信息; 当平均模型引起兴趣时,没有独特的方法来说明以前对模型概率的无知; 拟订和解释类似模型的权重应当承认稀释现象,即高度关联模型的权重比低; 结论:追溯利用专家信念验证模型可能具有误导性,可能无法实现其预期目标,而且信息使用效率低下; 专家信念应当被预期为概率分布模型,以加强模型概率的概率,当选择模型时,有助于降低模型对稳定性的影响; 减轻模型的影响; 降低模型对稳定性的影响; 降低模型的影响; 降低模型的影响; 降低模型对稳定性的影响; 降低影响; 降低利率。

0
下载
关闭预览

相关内容

ACM/IEEE第23届模型驱动工程语言和系统国际会议,是模型驱动软件和系统工程的首要会议系列,由ACM-SIGSOFT和IEEE-TCSE支持组织。自1998年以来,模型涵盖了建模的各个方面,从语言和方法到工具和应用程序。模特的参加者来自不同的背景,包括研究人员、学者、工程师和工业专业人士。MODELS 2019是一个论坛,参与者可以围绕建模和模型驱动的软件和系统交流前沿研究成果和创新实践经验。今年的版本将为建模社区提供进一步推进建模基础的机会,并在网络物理系统、嵌入式系统、社会技术系统、云计算、大数据、机器学习、安全、开源等新兴领域提出建模的创新应用以及可持续性。 官网链接:http://www.modelsconference.org/
商业数据分析,39页ppt
专知会员服务
165+阅读 · 2020年6月2日
2019年机器学习框架回顾
专知会员服务
36+阅读 · 2019年10月11日
[综述]深度学习下的场景文本检测与识别
专知会员服务
78+阅读 · 2019年10月10日
机器学习入门的经验与建议
专知会员服务
94+阅读 · 2019年10月10日
【哈佛大学商学院课程Fall 2019】机器学习可解释性
专知会员服务
105+阅读 · 2019年10月9日
已删除
将门创投
5+阅读 · 2020年3月2日
Hierarchically Structured Meta-learning
CreateAMind
27+阅读 · 2019年5月22日
A Technical Overview of AI & ML in 2018 & Trends for 2019
待字闺中
18+阅读 · 2018年12月24日
【推荐】RNN/LSTM时序预测
机器学习研究会
25+阅读 · 2017年9月8日
Auto-Encoding GAN
CreateAMind
7+阅读 · 2017年8月4日
Arxiv
0+阅读 · 2021年11月4日
Arxiv
4+阅读 · 2018年11月26日
VIP会员
相关VIP内容
相关资讯
已删除
将门创投
5+阅读 · 2020年3月2日
Hierarchically Structured Meta-learning
CreateAMind
27+阅读 · 2019年5月22日
A Technical Overview of AI & ML in 2018 & Trends for 2019
待字闺中
18+阅读 · 2018年12月24日
【推荐】RNN/LSTM时序预测
机器学习研究会
25+阅读 · 2017年9月8日
Auto-Encoding GAN
CreateAMind
7+阅读 · 2017年8月4日
Top
微信扫码咨询专知VIP会员