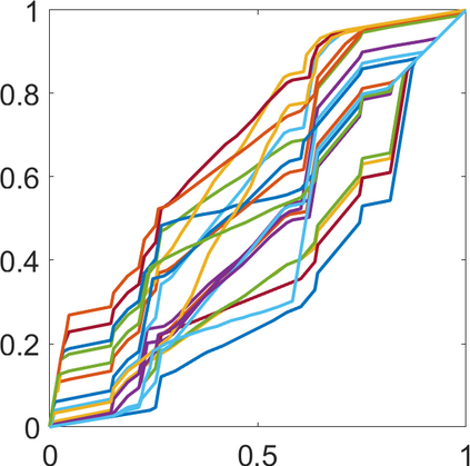
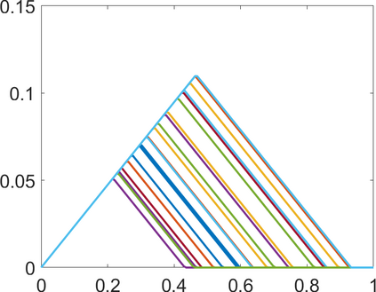
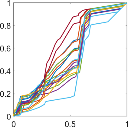
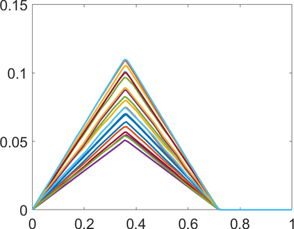
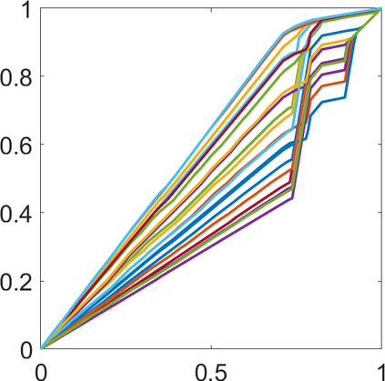
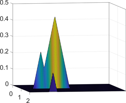
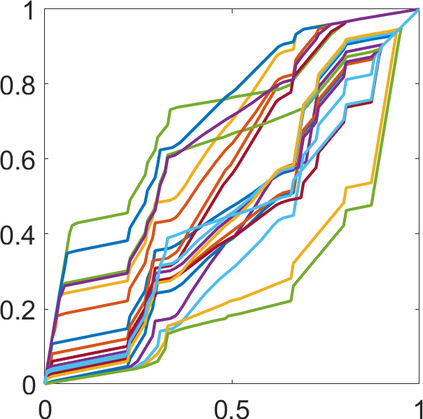
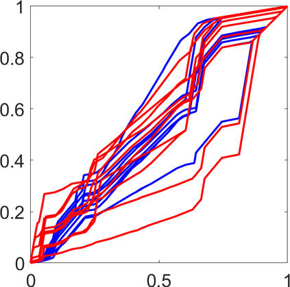
Persistence landscapes are functional summaries of persistence diagrams designed to enable analysis of the diagrams using tools from functional data analysis. They comprise a collection of scalar functions such that birth and death times of topological features in persistence diagrams map to extrema of functions and intervals where they are non-zero. As a consequence, topological information is encoded in both amplitude and phase components of persistence landscapes. Through functional data analysis of persistence landscapes under an elastic Riemannian metric, we show how meaningful statistical summaries of persistence landscapes (e.g., mean, dominant directions of variation) can be obtained by decoupling topological signal present in amplitude and phase variations. The estimated phase functions are tied to the resolution parameter that determines the filtration of simplicial complexes used to construct persistence diagrams. For a dataset obtained under scale and sampling variabilities, the phase function prescribes an optimal rate of increase of the resolution parameter for enhancing the topological signal in a persistence diagram. We demonstrate benefits of alignment through several simulation examples and a real data example concerning structure of brain artery trees represented as 3D point clouds.


翻译:持久性地貌是持久性地貌的功能性摘要,目的是利用功能性数据分析工具对图进行分析,其中包括一系列标度函数的收集,例如,在耐性图示地图中,地形特征的出生和死亡时间,以延伸功能和间隔,结果,将地形信息编码在持久性地貌的振幅和相位组成部分中。通过弹性里伊曼尼指标对持久性地貌的功能性数据分析,我们通过在振幅和相位变异中脱钩表层景观(例如平均、主要变异方向)的统计性摘要,表明如何通过分解表层和相位变异中的表层特征信号获得有意义的统计性摘要。估计的阶段性功能与确定用于构建持久性地貌图的不精度复合体的分辨率参数挂钩。对于在尺度和取样性易变性下获得的数据集,阶段功能规定了在持久性图中增强表性信号的分辨率参数的最佳增益率。我们通过若干模拟例子和真实的数据示例,展示了以3D点为代表的脑叶树结构的校准效果。

0
下载
关闭预览

相关内容

专知会员服务
45+阅读 · 2020年12月18日
【干货书】机器学习速查手册,135页pdf
专知会员服务
127+阅读 · 2020年11月20日
专知会员服务
19+阅读 · 2020年9月6日
因果图,Causal Graphs,52页ppt
专知会员服务
253+阅读 · 2020年4月19日
已删除
将门创投
6+阅读 · 2019年7月11日
IEEE | DSC 2019诚邀稿件 (EI检索)
Call4Papers
10+阅读 · 2019年2月25日
A Technical Overview of AI & ML in 2018 & Trends for 2019
待字闺中
18+阅读 · 2018年12月24日
Hierarchical Imitation - Reinforcement Learning
CreateAMind
19+阅读 · 2018年5月25日
Hierarchical Disentangled Representations
CreateAMind
4+阅读 · 2018年4月15日
【论文】变分推断(Variational inference)的总结
机器学习研究会
39+阅读 · 2017年11月16日
【推荐】免费书(草稿):数据科学的数学基础
机器学习研究会
20+阅读 · 2017年10月1日
【学习】Hierarchical Softmax
机器学习研究会
4+阅读 · 2017年8月6日
Auto-Encoding GAN
CreateAMind
7+阅读 · 2017年8月4日
Arxiv
0+阅读 · 2021年8月31日
Arxiv
0+阅读 · 2021年8月31日
Thermomechanical modelling for industrial applications
Matérn Gaussian processes on Riemannian manifolds
Arxiv
0+阅读 · 2021年8月27日
VIP会员
相关资讯
已删除
将门创投
6+阅读 · 2019年7月11日
IEEE | DSC 2019诚邀稿件 (EI检索)
Call4Papers
10+阅读 · 2019年2月25日
A Technical Overview of AI & ML in 2018 & Trends for 2019
待字闺中
18+阅读 · 2018年12月24日
Hierarchical Imitation - Reinforcement Learning
CreateAMind
19+阅读 · 2018年5月25日
Hierarchical Disentangled Representations
CreateAMind
4+阅读 · 2018年4月15日
【论文】变分推断(Variational inference)的总结
机器学习研究会
39+阅读 · 2017年11月16日
【推荐】免费书(草稿):数据科学的数学基础
机器学习研究会
20+阅读 · 2017年10月1日
【学习】Hierarchical Softmax
机器学习研究会
4+阅读 · 2017年8月6日
Auto-Encoding GAN
CreateAMind
7+阅读 · 2017年8月4日
Top
微信扫码咨询专知VIP会员