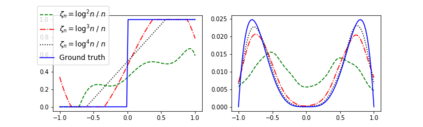
We introduce Markov Random Geometric Graphs (MRGGs), a growth model for temporal dynamic networks. It is based on a Markovian latent space dynamic: consecutive latent points are sampled on the Euclidean Sphere using an unknown Markov kernel; and two nodes are connected with a probability depending on a unknown function of their latent geodesic distance. More precisely, at each stamp-time k we add a latent point X k sampled by jumping from the previous one X k--1 in a direction chosen uniformly Y k and with a length r k drawn from an unknown distribution called the latitude function. The connection probabilities between each pair of nodes are equal to the envelope function of the distance between these two latent points. We provide theoretical guarantees for the non-parametric estimation of the latitude and the envelope functions. We propose an efficient algorithm that achieves those non-parametric estimation tasks based on an ad-hoc Hierarchical Agglomerative Clustering approach, and we deploy this analysis on a real data-set given by exchange of messages on a social network.


翻译:我们引入了时空动态网络增长模型Markov随机几何图(MRGGs),即时间动态网络的增长模型。该模型基于Markovian潜潜伏空间动态:利用未知的Markov内核,在Euclidean Sphere中用未知的Markov内核对连续潜伏点进行取样;两个节点与概率相关,取决于其潜在大地测量距离的未知函数。更准确地说,在每次印记时,我们从先前的XK-1号中跳跃到一个统一选择的Yk-1号方向并用从一个未知分布中抽出称为纬度函数的长度 rk 来添加一个潜伏点X k。每对节点之间的连接概率与这两个潜伏点之间的距离的信封函数相等。我们为对纬度和信封函数的非参数估计提供理论保证。我们建议一种高效的算法,根据高压的群集法方法实现这些非参数估计任务,我们将这一分析运用在通过在社会网络上交换信息而得出的真实数据设置。

0
下载
关闭预览

相关内容

专知会员服务
45+阅读 · 2020年12月18日
【清华大学】图随机神经网络,Graph Random Neural Networks
专知会员服务
156+阅读 · 2020年5月26日
强化学习最新教程,17页pdf
专知会员服务
182+阅读 · 2019年10月11日
【SIGGRAPH2019】TensorFlow 2.0深度学习计算机图形学应用
专知会员服务
41+阅读 · 2019年10月9日
AAAI2020 图相关论文集
图与推荐
11+阅读 · 2020年7月15日
已删除
将门创投
6+阅读 · 2019年1月11日
【论文】变分推断(Variational inference)的总结
机器学习研究会
39+阅读 · 2017年11月16日
【学习】Hierarchical Softmax
机器学习研究会
4+阅读 · 2017年8月6日
强化学习 cartpole_a3c
CreateAMind
9+阅读 · 2017年7月21日
Arxiv
0+阅读 · 2021年4月8日
Pointer Graph Networks
Arxiv
7+阅读 · 2020年6月11日
Adaptive Neural Trees
Arxiv
4+阅读 · 2018年12月10日
Arxiv
8+阅读 · 2018年3月17日
Arxiv
6+阅读 · 2018年2月24日
Arxiv
3+阅读 · 2015年5月16日
VIP会员
相关资讯
AAAI2020 图相关论文集
图与推荐
11+阅读 · 2020年7月15日
已删除
将门创投
6+阅读 · 2019年1月11日
【论文】变分推断(Variational inference)的总结
机器学习研究会
39+阅读 · 2017年11月16日
【学习】Hierarchical Softmax
机器学习研究会
4+阅读 · 2017年8月6日
强化学习 cartpole_a3c
CreateAMind
9+阅读 · 2017年7月21日
相关论文
Arxiv
0+阅读 · 2021年4月8日
Pointer Graph Networks
Arxiv
7+阅读 · 2020年6月11日
Adaptive Neural Trees
Arxiv
4+阅读 · 2018年12月10日
Arxiv
8+阅读 · 2018年3月17日
Arxiv
6+阅读 · 2018年2月24日
Arxiv
3+阅读 · 2015年5月16日
Top
微信扫码咨询专知VIP会员