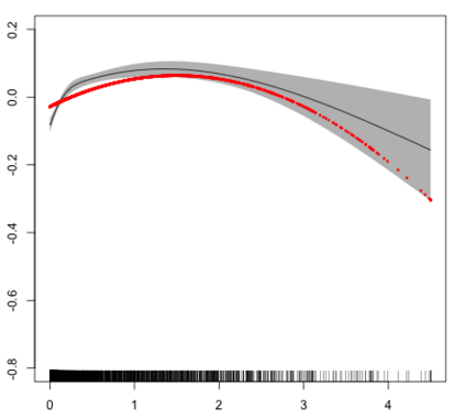
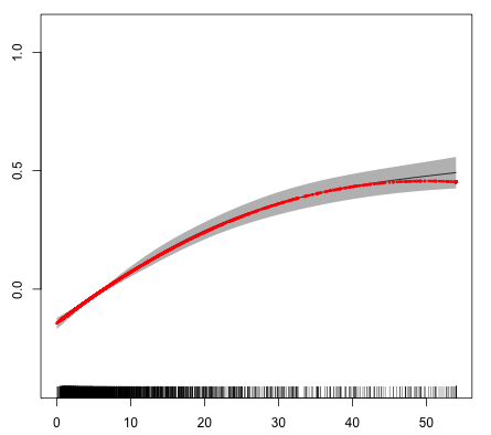
Epidemic modeling is an essential tool to understand the spread of the novel coronavirus and ultimately assist in disease prevention, policymaking, and resource allocation. In this article, we establish a state of the art interface between classic mathematical and statistical models and propose a novel space-time epidemic modeling framework to study the spatial-temporal pattern in the spread of infectious disease. We propose a quasi-likelihood approach via the penalized spline approximation and alternatively reweighted least-squares technique to estimate the model. Furthermore, we provide a short-term and long-term county-level prediction of the infected/death count for the U.S. by accounting for the control measures, health service resources, and other local features. Utilizing spatiotemporal analysis, our proposed model enhances the dynamics of the epidemiological mechanism and dissects the spatiotemporal structure of the spreading disease. To assess the uncertainty associated with the prediction, we develop a projection band based on the envelope of the bootstrap forecast paths. The performance of the proposed method is evaluated by a simulation study. We apply the proposed method to model and forecast the spread of COVID-19 at both county and state levels in the United States.


翻译:流行型模型是了解新冠状病毒传播情况、最终协助疾病预防、决策和资源分配的基本工具。在本条中,我们建立了经典数学和统计模型之间最先进的界面,提出了新的时空流行病模型框架,以研究传染性疾病传播的空间时空模式。我们提出一种准类似方法,通过受罚的螺旋近似和或重新加权的最小平方技术来估计模型。此外,我们通过计算控制措施、保健服务资源和其他当地特征,对美国感染/死亡人数进行短期和长期的县级预测。我们利用空间时空分析,我们提议的模型加强流行病学机制的动态,并解析传播性疾病的波形时空结构。为了评估与预测有关的不确定性,我们根据靴带预测路径的包包,制定了一个投影带。我们通过模拟研究对拟议方法的绩效进行评估。我们采用拟议方法,在州和州两级对COVID-19的传播进行模型和预测。我们采用了拟议方法,在州和州两级对COVID-19的传播进行模型和预测。

0
下载
关闭预览

相关内容

ACM/IEEE第23届模型驱动工程语言和系统国际会议,是模型驱动软件和系统工程的首要会议系列,由ACM-SIGSOFT和IEEE-TCSE支持组织。自1998年以来,模型涵盖了建模的各个方面,从语言和方法到工具和应用程序。模特的参加者来自不同的背景,包括研究人员、学者、工程师和工业专业人士。MODELS 2019是一个论坛,参与者可以围绕建模和模型驱动的软件和系统交流前沿研究成果和创新实践经验。今年的版本将为建模社区提供进一步推进建模基础的机会,并在网络物理系统、嵌入式系统、社会技术系统、云计算、大数据、机器学习、安全、开源等新兴领域提出建模的创新应用以及可持续性。 官网链接:http://www.modelsconference.org/
专知会员服务
41+阅读 · 2020年9月6日
【新书】贝叶斯网络进展与新应用,附全书下载
专知会员服务
122+阅读 · 2019年12月9日
《DeepGCNs: Making GCNs Go as Deep as CNNs》
专知会员服务
31+阅读 · 2019年10月17日
开源书:PyTorch深度学习起步
专知会员服务
51+阅读 · 2019年10月11日
计算机 | IUI 2020等国际会议信息4条
Call4Papers
6+阅读 · 2019年6月17日
计算机 | 中低难度国际会议信息6条
Call4Papers
7+阅读 · 2019年5月16日
计算机 | CCF推荐期刊专刊信息5条
Call4Papers
3+阅读 · 2019年4月10日
大数据 | 顶级SCI期刊专刊/国际会议信息7条
Call4Papers
10+阅读 · 2018年12月29日
计算机类 | LICS 2019等国际会议信息7条
Call4Papers
3+阅读 · 2018年12月17日
2018年中科院JCR分区发布!
材料科学与工程
3+阅读 · 2018年12月11日
计算机类 | 期刊专刊截稿信息9条
Call4Papers
4+阅读 · 2018年1月26日
计算机类 | 国际会议信息7条
Call4Papers
3+阅读 · 2017年11月17日
【推荐】RNN/LSTM时序预测
机器学习研究会
25+阅读 · 2017年9月8日
【今日新增】IEEE Trans.专刊截稿信息8条
Call4Papers
7+阅读 · 2017年6月29日
Arxiv
0+阅读 · 2021年2月11日
VIP会员
相关资讯
计算机 | IUI 2020等国际会议信息4条
Call4Papers
6+阅读 · 2019年6月17日
计算机 | 中低难度国际会议信息6条
Call4Papers
7+阅读 · 2019年5月16日
计算机 | CCF推荐期刊专刊信息5条
Call4Papers
3+阅读 · 2019年4月10日
大数据 | 顶级SCI期刊专刊/国际会议信息7条
Call4Papers
10+阅读 · 2018年12月29日
计算机类 | LICS 2019等国际会议信息7条
Call4Papers
3+阅读 · 2018年12月17日
2018年中科院JCR分区发布!
材料科学与工程
3+阅读 · 2018年12月11日
计算机类 | 期刊专刊截稿信息9条
Call4Papers
4+阅读 · 2018年1月26日
计算机类 | 国际会议信息7条
Call4Papers
3+阅读 · 2017年11月17日
【推荐】RNN/LSTM时序预测
机器学习研究会
25+阅读 · 2017年9月8日
【今日新增】IEEE Trans.专刊截稿信息8条
Call4Papers
7+阅读 · 2017年6月29日
Top
微信扫码咨询专知VIP会员