专栏 | 自动选模型+调参:谷歌AutoML背后的技术解析

2018 年 2 月 2 日 机器之心 huichan chen

机器之心专栏

作者:huichan chen


AutoML 是 Google 最新的产品,能够根据问题自动确定最优参数和网络结构。本文章就关注解析 AutoML 背后的技术,由于 AutoML 缺乏技术文档,我们的解析有不到之处,还请多多更正。


罗马不是一天建成的。AutoML 并非一蹴而就,而是 Google 的研究者在过去几年不断思考中产生的理论与实践结合的完美产物。下图是 Google 的 AutoML 探索之路。

 


人工网络结构搜索(Inception-ResNet 与 Inception V4)


Alexnet 在 IMAGENET 取得冠军之后,Google 意识到了深度学习是未来的趋势,于是投入巨资进行神经网络的研究。从 Deepmind 被收购,Hinton 加入 Google,Tensorflow 的开源中可见 Google 对于 Deep Learning 的重视与远见。Google 在不断的调参数中发现了著名的 Inception 网络,并且结合 ReNet,发现了 Inception-ResNet,V4 和 Xception。这些发现让 Google 注意到了神经网络结构会对结构产生巨大影响,但是找到最优的结构需要耗费大量的人力和物力,并且对于一个新的数据集还需要投入同样的资源搜索合适的结构,这样的人工搜索是不能够 scalable 的。Inception-ResNet 的网络结构请参考论文:https://arxiv.org/pdf/1602.07261.pdf。Inception 系列网络跟 ResNet 的结果比较。



神经网络搜索初探:Neural Architecture Search with Reinforcement Learning(ICLR 2017 Best Paper)


为了增加网络结构搜索的 scalability,Google Residency Program 的成员 Barrret Zoph 在 Quoc Le 的带领下开始了神经网络自动调参的尝试,Neural Architecture Search with Reinforcement Learning 就是对这一工作的总结。该论文获得了 ICLR 2017 的 Best Paper。Barret Zoph 的工作成功在 CIFAR 和 PTB 上面搜索到了 state-of-the-art 的 CNN 和 LSTM 结构,最优 CNN 与 LSTM 结构对比如下:



Barret Zoph 使用强化学习进行网络结构搜索,网络框架图如下图:

 


Controller 是由 RNN 构成能够产生每层网络的 Kernel 大小和 skip connection 的连接,产生了网络结构之后,使用网络结构的准确率作为 Reward function。Controller 会根据 reward function 的反馈进行网络结构调节,最后会得到最优的网络结构。Controller 生成网络结构预测如下图:

 


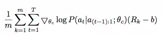
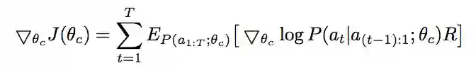
本篇论文会对 controller 预测的网络进行 SGD 学习,网络收敛之后的准确率为 Reward,然后使用 reinforcement learning 的 policy gradient 进行 controller 权值更新,policy gradient 公式如下:

 


期望值用下面的公式进行近似:



为了保证训练稳定,引入了 baseline,公式如下:

 


为了保证收敛速度,作者引入了 asynchronous 权值更新,在每个 GPU 中分配多个网络结构进行训练,跟 asynchronous reinforcement learning 的 idea 类似。该论文的 distribution 结构如下图:

 


本篇论文能够避免手动调参数,但是得到网络搜索需要 800GPU 搜索几个月的时间,最近 Google 使用 P100 可以在一周左右训练出模型,本论文仅仅在 CIFAR 上面进行实验,在大规模数据集 IMAGENET 上面的使用受限。


Large Scale Evolution of Image Classifiers(ICML 2017)


本篇论文通过 large scale evolution 的办法来搜索最优的神经网络,由于本人能力有限,我们不对这篇论文进行技术解析。该论文的结构搜索过程如下图:

 


有趣的现象是,evolution 搜索偏向于没有 skip connection 的神经网络。通过 evolution 办法搜索到的神经网络比 ResNet 结果好,但是低于 DenseNet,如下图:

 


神经网络搜索技术实用之路探索


为了让结构搜索的工作能够实用,Google 的研究者从 progressive Search,Transferable architecture 和 Bayesian 的角度进行探索,并且取得了进展。


Progressive Neural Architecture Search(PNAS)


本篇论文提出了通过 progressive 的办法进行网络搜索,会比 RL 方法快 2 倍,比 evolution 方法快 5 倍。


与之前的方法不同,本篇论文是在一个网络的基础上面加上新的 cell,然后使用类似与 A*搜索(Branch and Bound)的办法,搜索到最优的网络结构。Progressive 方法示意图如下:

 


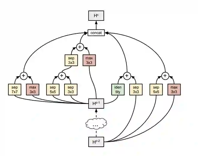
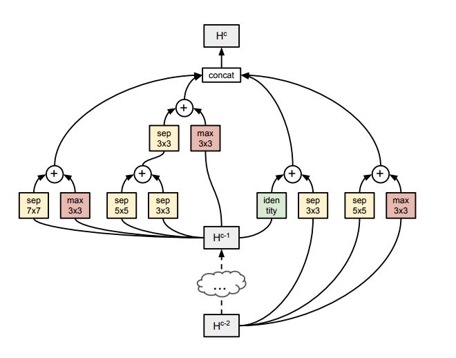
PNAS 所使用的 Cell 结构如下:

 


Learning Transferable Architecture for Scalable Image Recognition


本篇论文是集大成者,Barret Zoph 在之前全部技术的基础上面,成功地将自动结构搜索在 IMAEGNET,COCO 等实用性的物体分类和检测任务上面成功运用。结果太 AMAZING 啦。竟然超过了 ResNet-FPN,COCO 物体检测结果如下:

 


Barret Zoph 首先在 CIFAR 上面使用之前的方法搜索出最优 cell,然后将 cell 重复的运用在 IMAGENET 上面(真的就是这么简单有效 >_<)。最优单个 cell 的结构如下图:

 


可能 AutoML 用的就是这种技术吧。


总结


Google 在大规模的调参中发现了手动调参不能够适应大数据时代的需求。于是进行从 reinforcement learning 和 evolution 两个角度进行了自动调参的初探。为了改进网络结构搜索的时间,Google 提出了 Progressive Search 和 Transferable Architecture 的办法。从中我们可以感受到 Google 一步一个脚印的做事方法,希望 AI 公司和个人都能够从中获得一些收益 >_<。 



本文为机器之心专栏,转载请联系本公众号获得授权

✄------------------------------------------------

加入机器之心(全职记者/实习生):hr@jiqizhixin.com

投稿或寻求报道:editor@jiqizhixin.com

广告&商务合作:bd@jiqizhixin.com

登录查看更多
5

相关内容

【伯克利】再思考 Transformer中的Batch Normalization
专知会员服务
41+阅读 · 2020年3月21日
专知会员服务
61+阅读 · 2020年3月19日
MIT-深度学习Deep Learning State of the Art in 2020,87页ppt
专知会员服务
62+阅读 · 2020年2月17日
NAS发展史:从放弃到入门
极市平台
20+阅读 · 2019年8月31日
深度解读:小米AI实验室AutoML团队最新成果FairNAS
PaperWeekly
32+阅读 · 2019年7月11日
博客 | 一文看懂深度学习发展史和常见26个模型
【干货】李沐等人:CNN图像分类Trick合集(附详细代码)
GAN生成式对抗网络
58+阅读 · 2018年12月11日
深度学习如何调参?
炼数成金订阅号
6+阅读 · 2018年10月18日
AutoML 和神经架构搜索初探
雷锋网
5+阅读 · 2018年8月1日
解读谷歌NASNet:一个大规模图像识别架构!(附论文)
全球人工智能
9+阅读 · 2018年1月20日
干货|从LSTM到Seq2Seq
全球人工智能
15+阅读 · 2018年1月9日
Tutorial on NLP-Inspired Network Embedding
Arxiv
7+阅读 · 2019年10月16日
The Evolved Transformer
Arxiv
5+阅读 · 2019年1月30日
Image Captioning based on Deep Reinforcement Learning
Arxiv
5+阅读 · 2018年9月11日
Arxiv
3+阅读 · 2018年6月19日
VIP会员
相关资讯
NAS发展史:从放弃到入门
极市平台
20+阅读 · 2019年8月31日
深度解读:小米AI实验室AutoML团队最新成果FairNAS
PaperWeekly
32+阅读 · 2019年7月11日
博客 | 一文看懂深度学习发展史和常见26个模型
【干货】李沐等人:CNN图像分类Trick合集(附详细代码)
GAN生成式对抗网络
58+阅读 · 2018年12月11日
深度学习如何调参?
炼数成金订阅号
6+阅读 · 2018年10月18日
AutoML 和神经架构搜索初探
雷锋网
5+阅读 · 2018年8月1日
解读谷歌NASNet:一个大规模图像识别架构!(附论文)
全球人工智能
9+阅读 · 2018年1月20日
干货|从LSTM到Seq2Seq
全球人工智能
15+阅读 · 2018年1月9日
Top
微信扫码咨询专知VIP会员