基于全生命周期的共享单车碳排放研究

2018 年 9 月 12 日 科技导报


共享单车是在人们“最后一公里”需求及移动支付、全球定位系统(GPS)定位等互联网技术发展成熟的背景下发展起来的,由政府引导、监管、提供配套道路交通资源,由市场主导和提供实体,由公众参与使用的社会公共服务。共享单车有诸多优点,如方便、快捷、解决“最后一公里”的出行压力、缓解交通拥堵现象、租车费用低廉、给摩的造成了打击、带活实体经济、提高用户感受等,但也给社会带来了诸多问题,如乱停乱放、挤占人行横道、充值容易退费难、政府难监管、资金和环境风险大等。目前最引人注意的问题是单车管理问题,众多单车企业开启恶性竞争,为抢占市场向社会投放大量单车,但与其配备的运维、维修人员却明显不足,加之使用属性,致使单车在地铁站、公交站、写字楼附近堆积,阻碍行人和交通通行。管理者为解决这一问题,采取了扣留、集中处理等手段,控制单车对城市秩序的扰乱。企业在应对这种情况时,并未与政府取得较好的协调和统一,相反是投放更多的单车在市场上,造成恶性循环,最终导致单车的体量过剩、维修率低,使用率下降。

   

国内外现状

 

城市管理者将这种恶性循环归类为总量控制问题,但对于总量控制的依据并未有明确认识。城市管理者认为控制单车总量能够减少路面上单车的拥堵,促使运营商优化存量、激活“僵尸车”,抑制企业的恶性竞争,客观上提高其调度及服务能力。但对于以什么标准进行单车总量控制,成为研究难点。蒋梦惟等通过城市人口计算单车的需要量,认为 1000万人口的城市,投放控制在10万辆为宜;孙晓川等通过单车使用热力图大数据预测区域单车的使用情况;徐兴东依据城市道路面积及共享单车占地面积计算单车投放上限。以上研究均未基于环境成本研究单车总量控制问题。截至目前,据中国共享单车行业发展概况分析,全国单车总量已达到 1500多万辆,比 2015年的 245万辆增长了 6 倍。然而共享单车质量参差不齐,对于其维护、保养力度不够,共享单车的特殊性又降低了人们对其爱惜度,导致单车在大规模生产也在被大规模的淘汰,这将给环境造成巨大的负担。由此本研究通过对单车进行全生命周期的碳排放核算,确定城市的单车投放数量,并以此作为企业维护人数配比、既定使用年限指标设定的依据。对 1 辆单车的生产、使用、回收 3个过程中的碳排放进行核算,计算 1辆单车在多长的使用时间内,所节省的碳排放才能抵消生产、使用中损耗及回收过程的碳排放,从而为政府对于共享单车的管理提供依据。

   

研究方法

 

共享单车的全生命周期分为生产、使用和处置 3个阶段。生产与处置阶段都属于能源消耗阶段;使用阶段包括两部分,其中由调度和维修组成的能源消耗部分和因代替其他出行方式进而导致的能源节省部分(图 1)。本文将基于全生命周期评价法,分析共享单车能耗影响因素及主要参数,并构建全生命周期共享单车碳排放核算模型。

   

图1  共享单车全生命周期能源消耗情况


生产、运维阶段碳核算方法

 

共享单车生产过程包括原材料生产、加工、车架喷涂和组装 4个主要流程;维修过程能源消耗主要包括油与电,根据《PAS 20502008 商品和服务在生命周期内的温室气体排放评价规范》标准,参与调度人员的人力不计算在产品碳排放中,生产、运维过程碳排放量计算公式为

 


式中,PPEproductive process emission)为生产过程的碳排放量;EC kenergy consumption)为生产单车的第 k种能源消耗量;EF kcarbon emission factor)为生产单车的第k种能源的碳排放因子。

   

处置阶段碳核算方法

 

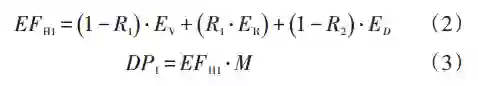
共享单车处置阶段采用了重复可回收再利用方式,不能重复利用部分作为城市固体废弃物焚烧。据调查,单车可被回收部件主要是车架,则每辆单车的再生利用率,为车架的质量/车架占整辆单车的比例。本研究假设可用部分不会随单车使用时间而发生变化,其次单车的各部件均为第一次使用的原材料加工制作而成。则重复利用时的碳排因子计算公式为

 


式中,DP1disposal phases)为采用重复再利用处置的能耗量;R1为已被循环再生利用材料输入的比例;1-R1为其他未重复利用材料(原材料)的输入比例;EV为原材料输入产生的单位材料排放;ER为再生利用材料输入产生的单位材料排放;R2为产品在生命末期再生利用材料的比例;ED为废弃物处理产生的单位材料排放;1-R2为废弃物的比例;M为待循环利用的物品质量及单车总质量。

   

城市固体废物(MSW)焚烧排放温室气体计算公式为

 


式中,COE为二氧化碳排放量,kgMSWi为城市 i固体废物质量,kgCCW MSW中的碳含量比例;FCF MSW中的矿物质碳含量比例;EF为焚烧炉的完全燃烧效率。

   

参数确定及核算结果

 

结合生命周期评价法(LCA)和 PAS 2050 产品碳排放核算方法对自行车的生产、使用、回收全过程进行碳排放核算。根据数据的可获得性和连续性,研究的系统边界为单车各部件进入组装厂到单车回收处理之间各项投入造成的温室气体,具体包括各生产、运输、维修及回收中的材料、水、电、气、油等造成的碳排放。各阶段数据来源于共享单车企业数据、问卷调查。

   

研究对象及碳排放因子选取

 

目前市面上有摩拜单车、ofo单车、永安行、小鸣单车、小蓝单车等 26 个品牌的近 50 余种不同型号的单车,摩拜与 ofo两家企业占了近 80%市场份额,单车总投放数量最大,选取摩拜与 ofo两家公司的共享单车为主要研究对象。基于以上方法首先确定计算涉及的主要参数,其次对共享单车全生命周期的 3个阶段分别进行碳排放总量核算。其中单车生产阶段主要选取“摩拜轻骑版”及“ofo curve2个单车型号进行研究。车辆碳排放因子种类及来源确定如表 1所示。

   

表 1  共享单车碳排放计算主要排放因子汇总


参与计算的碳减排行为确定

 

研究设定,当使用者放弃私家汽车、摩托车和出租车这 3种代步工具而选择骑行共享单车时,才被算作碳减排行为。依据《PAS 20502008 商品和服务在生命周期内的温室气体排放评价规范》标准,设计调查方法如下:调查目标是人们通常放弃什么交通工具来骑行共享单车;目标人群通过分层抽样方法进行随机抽取;抽样范围包括商场门口、写字楼门口、校园内、地铁出站口;其调查中的相对误差水平为 95%的置信区间,调查过程中发出150份调查问卷,收回 103份有效问卷。

   

问卷显示,有 75%的用户在放弃步行、公交车和地铁后骑行共享单车。问卷中提到“假如您现在正骑着共享单车行驶于您常经过的路上,而在没有共享单车之前您一般是用什么交通工具出行这段路”问题时,问卷结果显示目前客户在选择共享单车时,一般是放弃步行、公交或地铁这 3类出行方式。研究假设步行不产生碳排放,而公交和地铁并不会因为客流的减少而减少班次,因此不会因为人们骑行共享单车而达到碳减排的目的。而对于其他出行方式,如自行车、私家汽车、摩托车和出租车等,只有自行车作为实物,碳排放已在生产过程中产生,并且其性质与共享单车类似,不再讨论;其次对于私家汽车、摩托车和出租车,认为只有放弃这 3类出行工具其中一种选择骑行共享单车从而减少的碳排放才能算作真正意义上的碳减排行为。

   

单车使用情况

 

通过对车辆的跟踪调查,3700辆共享单车平均每日每辆的使用频次为 1次,每次骑行距离为 2.1km。如图 2所示,使用次数呈现幂率分布,每天被使用 15次以上的单车只有 86辆,使用 5次以上的有 325辆,只被使用过一次的有428辆,因此每天每辆单车的平均实用次数为 1次;如图 3所示,不同季节单车的骑行频次和骑行距离不相同,夏季与秋季共享单车每次平均的使用里程为 2.4 km,冬季与春季共享单车的每次平均里程为1.8 km,因此1年内共享单车平均使用里程为2.1 km

   

图 2  24 h内共享单车使用频次


图 3  共享单车季节性使用情况


单车运维情况

 

共享单车的调度分为区间调度、外围回流、维修投放、置换车辆投放和新车投放 5类,其中每一类的投放占比分别为 58%16%24%1% 1%,置换车辆和新车投放这两类产生的碳排放占总碳排放的比例不足 1%,因此本文主要研究区间调度和外回流的碳排放。共享单车的主要运维车辆为小型货车、三轮电动车和金杯车,每一种车型的碳排放系数分别是 0.25770.08120.1802 kg/km。假设共享单车总量下,每天有 30%的单车经过调度运输,因此调度产生的碳排放为0.5641 kg

   

维修过程碳排放情况

 

通过对 1500辆单车 1个月内维修的次数和类别进行统计,得到如表 2所示的部件维修情况。共享单车这类公共产品随时间的增加,其维修频率呈指数式上升趋势,维修前 4次主要是对零部件的简单维修,当维修 4次以上时,主要是对车架或大部件进行维修,维修次数超过 7 次,则该车的损坏率会大幅提升,无修复的必要。ofo与摩拜公司的运维要求是,每一辆单车都需要进场检验和维护。

   

表 2  1个月内共享单车维修情况汇总


核算结果

 

经核算,1 辆共享单车全生命周期的碳排放量为76 kg。其中生产阶段、运维阶段、处置阶段的排放占比分别为 87%1.5%12.5%。原材料用料占比生产阶段的能源消耗为 93%,因此共享单车全生命周期中的主要碳排放贡献源为材料的能源消耗。其次,当北京市拥有 75万辆单车时,每辆单车至少使用24 d就能抵消其全生命周期的能源排放,当北京市拥有 465万辆单车时,每辆单车至少使用1029 d,才能抵消其全生命周期的能源排放(图 4)。截至研究结束,北京市拥有近 380万辆共享单车,在当前每辆单车一天平均被使用一次,一次行驶里程为 2.1 km 的情况下,每辆单车至少使用625天,才实现能真正意义上零碳排和绿色出行(图 5),只有这样,生产、运维、处置阶段的能源消耗才能被使用共享单车节省的能源消耗所抵消。

   

图 4  单车投放量与单车必须使用时长关系


图5  共享单车碳排放均衡点


结论

 

1)北京市将承担因共享单车过量投放带来的巨大环境风险。企业投放的单车数量越大,社会将承担的环境风险越大。随着单车数量的增加,一天内空车率将逐渐增加,平均每天每辆车的使用里程将逐渐减小,则平均每日节能减排量将降低,在共享单车全生命周期能源消耗量不变的情况下,抵消这些能源消耗量的时间将增长,如果企业的运维能力较弱时,社会将承担更大的环境风险。

   

2)为实现真正意义的节能减排,共享单车管理时限至少为 625天,其次城市管理者应结合本地情况运用单车全生命周期概念制定合理的单车数量管控值。共享产品在较短的使用时间内就能抵消其全生命周期的碳排放量,且该城市共享经济企业具有较强的运维管理能力,则城市的共享产品投放量可相应增加。反之则应该控制共享经济产品的投放量,并且要求其共享经济企业对产品进行必要的运维。各城市管理者可在平均每辆共享单车的全生命周期碳排放值为 76 kg 的情况下,结合各城市单车使用情况及运维情况,制定合理的单车数量管控值。

   

基金项目:北京市自然科学基金项目(9182017);中国科学院科技战略咨询研究院院长青年基金(Y7X1151Q01)


参考文献(略)  



作者简介:陈安,中国科学院科技战略咨询研究院,研究员,研究方向为现代应急管理、管理机制设计、灾难文化、智库方法等;陈晶睿(共同第一作者),中国科学院科技战略咨询研究院,硕士研究生,研究方向为公共管理


本文发表于《科技导报》2018 年第16 期,原标题:《基于全生命周期的共享产品管理》。敬请关注


(责任编辑 傅雪)



 

《科技导报》

中国科协学术会刊

联系电话:010-62194182

欢迎投稿:lina@cast.org.cn


长按二维码 即刻关注

登录查看更多
0

相关内容

FPGA加速系统开发工具设计:综述与实践
专知会员服务
69+阅读 · 2020年6月24日
基于深度学习的表面缺陷检测方法综述
专知会员服务
89+阅读 · 2020年5月31日
大数据安全技术研究进展
专知会员服务
96+阅读 · 2020年5月2日
2020年中国《知识图谱》行业研究报告,45页ppt
专知会员服务
240+阅读 · 2020年4月18日
【德勤】中国人工智能产业白皮书,68页pdf
专知会员服务
309+阅读 · 2019年12月23日
2019中国硬科技发展白皮书 193页
专知会员服务
86+阅读 · 2019年12月13日
【大数据白皮书 2019】中国信息通信研究院
专知会员服务
138+阅读 · 2019年12月12日
医药零售行业报告
医谷
9+阅读 · 2019年7月8日
2018年物业管理行业深度研究报告
行业研究报告
7+阅读 · 2019年5月17日
2019中国家政服务行业发展剖析及行业投资机遇分析报告
【数字化】数字化转型正在成为制造企业核心战略
产业智能官
35+阅读 · 2019年4月22日
ofo商业模式破产
1号机器人网
6+阅读 · 2019年1月29日
中国移动互联网2018上半年报告
计算机与网络安全
3+阅读 · 2018年7月22日
智慧停车行业深度研究与分析报告
智能交通技术
4+阅读 · 2018年3月20日
天津市智能交通专项行动计划
智能交通技术
8+阅读 · 2018年1月18日
共享单车惨遭共享:一款App能骑9种车到底是啥神器?
黑客技术与网络安全
4+阅读 · 2017年7月6日
Viewpoint Estimation-Insights & Model
Arxiv
3+阅读 · 2018年7月3日
Arxiv
5+阅读 · 2015年9月14日
VIP会员
相关VIP内容
FPGA加速系统开发工具设计:综述与实践
专知会员服务
69+阅读 · 2020年6月24日
基于深度学习的表面缺陷检测方法综述
专知会员服务
89+阅读 · 2020年5月31日
大数据安全技术研究进展
专知会员服务
96+阅读 · 2020年5月2日
2020年中国《知识图谱》行业研究报告,45页ppt
专知会员服务
240+阅读 · 2020年4月18日
【德勤】中国人工智能产业白皮书,68页pdf
专知会员服务
309+阅读 · 2019年12月23日
2019中国硬科技发展白皮书 193页
专知会员服务
86+阅读 · 2019年12月13日
【大数据白皮书 2019】中国信息通信研究院
专知会员服务
138+阅读 · 2019年12月12日
相关资讯
医药零售行业报告
医谷
9+阅读 · 2019年7月8日
2018年物业管理行业深度研究报告
行业研究报告
7+阅读 · 2019年5月17日
2019中国家政服务行业发展剖析及行业投资机遇分析报告
【数字化】数字化转型正在成为制造企业核心战略
产业智能官
35+阅读 · 2019年4月22日
ofo商业模式破产
1号机器人网
6+阅读 · 2019年1月29日
中国移动互联网2018上半年报告
计算机与网络安全
3+阅读 · 2018年7月22日
智慧停车行业深度研究与分析报告
智能交通技术
4+阅读 · 2018年3月20日
天津市智能交通专项行动计划
智能交通技术
8+阅读 · 2018年1月18日
共享单车惨遭共享:一款App能骑9种车到底是啥神器?
黑客技术与网络安全
4+阅读 · 2017年7月6日
Top
微信扫码咨询专知VIP会员