2018年深度学习优化算法最新综述

2018 年 12 月 11 日 计算机视觉战队

梯度下降算法是机器学习中使用非常广泛的优化算法,也是众多机器学习算法中最常用的优化方法。几乎当前每一个先进的(state-of-the-art)机器学习库或者深度学习库都会包括梯度下降算法的不同变种实现。

但是,它们就像一个黑盒优化器,很难得到它们优缺点的实际解释。

An overview of gradient descent optimization algorithms

这篇文章旨在提供梯度下降算法中的不同变种的介绍,帮助使用者根据具体需要进行使用。详细对比了梯度下降算法中的不同变种,并帮助使用者根据具体需要进行使用。 近日Ruder在针对2018年优化算法的一些新方法,在之前综述的基础上,整理出2018深度学习优化研究亮点,值得关注。  


深度学习的终极目标是找到一个能够很好进行泛化的最小值,如果可以快速而可靠地找到这个值当然更好了。主要的方法是随机梯度下降(SGD)法,该算法已有60年历史(Robbins and Monro,1951),它对于当前的深度学习的反向传播算法来说是非常重要的。

近年来提出了不同的优化算法,分别利用不同的公式来更新模型的参数。Adam(Kingma and Ba,2015)自从2015年被推出后,一直到今天仍然是最常用的优化算法之一。这表明从机器学习从业者的角度来看,深度学习的优化的最好的方法在很大程度上并没有多大改变。

然而,今年已经产生了一些新的想法来改进深度学习的优化方法,这可能会成为未来我们模型的优化方式。在这篇博文中,我将深入探讨深度学习最令人激动的亮点和最有前景的方向。请注意,这篇博文事先假定你已经熟悉SGD和自适应学习速率方法。要想提高学习的速度,请先了解现有梯度下降优化算法,可参阅我的另一个博客文章(http://ruder.io/optimizing-gradient-descent/index.html)。

理解泛化

优化与泛化密切相关,因为模型收敛的最小值定义了模型泛化的程度。因此,提升优化与理解这种极小值泛化行为的理论进展密切相关,更普遍的是,对深度学习的泛化能力有更深的理解。

 然而,我们对深度神经网络泛化行为的理解仍然很浅。 最新工作表明,可能的局部极小值数量随参数的数量呈指数增长(Kawaguchi,2016)。考虑到目前深度学习架构的参数数量巨大,这样的模型能收敛并且泛化的还不错,看起来很神奇,尤其是考虑到他们可以完全记住随机输入(Zhang等,2017)。

 Keskar等(2017)将最小值的清晰度确定为不良泛化的一个来源:特别的,他们表明,批量梯度下降发现的明确的极小值具有较高的泛化误差。这是直观的,因为我们通常会希望我们的函数是平滑的,明确的最小值表示相应误差曲面具有高度不规则性。 然而,近期工作表明,清晰度可能并不是一个好的指标,因为它表明局部最小值能够很好地泛化(Dinh et al,2017)。 Eric Jang的quora问答也讨论了这些文章。

 一份ICLR 2018投稿论文通过一系列消融分析表明,一个模型在激活空间中对单个方向的依赖(即单个单元或特征图的激活)是其泛化性能的良好表现。他们证明了这种模式适用于不同数据集的模型,以及不同程度的标签损坏。 同时他们发现dropout并没有帮助解决这个问题,而批量规范化阻碍了单方向依赖。

 虽然这些发现表明我们在深度学习优化方面仍然有许多不知道的,但重要的是要记住,收敛保证和存在于凸优化中的大量工作,在一定程度上现有的想法和见解也可以应用于非凸优化。 NIPS 2016的大规模优化教程提供了该领域更多理论工作的精彩概述。


梯度下降优化框架

批量梯度下降(Batch gradient descent)

每次使用所有训练集样本来更新模型参数,即:  

θ=θ−η⋅∇θJ(θ)

其中,每次使用全部训练集样本计算损失函数的梯度,然后使用学习速率朝着梯度相反方向去更新模型的每个参数。  

批量梯度下降每次学习都使用整个训练集,因此其优点在于每次更新都会朝着正确的方向进行,最后能够保证收敛于极值点(凸函数收敛于全局极值点,非凸函数可能会收敛于局部极值点),但是其缺点在于每次学习时间过长,并且如果训练集很大以至于需要消耗大量的内存,并且批量梯度下降不能进行在线模型参数更新。

随机梯度下降(Stochastic gradient descent)

随机梯度下降算法每次从训练集中随机选择一个样本来进行学习,即:   

θ=θ−η⋅∇θJ(θ;xi;yi) 

批量梯度下降算法每次都会使用全部训练样本,因此计算是冗余的,因为每次都使用完全相同的样本集。

而随机梯度下降算法每次只随机选择一个样本来更新模型参数,因此每次的学习是非常快速的,并且可以进行在线更新。

随机梯度下降最大的缺点在于每次更新可能并不会按照正确的方向进行,因此可以带来优化波动,如下图:

图1 SGD

不过从另一个方面来看,随机梯度下降所带来的波动有个好处就是,对于类似盆地区域(即很多局部极小值点)那么这个波动的特点可能会使得优化的方向从当前的局部极小值点跳到另一个更好的局部极小值点,这样便可能对于非凸函数,最终收敛于一个较好的局部极值点,甚至全局极值点。

由于波动,因此会使得迭代次数(学习次数)增多,即收敛速度变慢。

不过最终其会和全量梯度下降算法一样,具有相同的收敛性,即凸函数收敛于全局极值点,非凸损失函数收敛于局部极值点。

热重启(Warm restarts)  

热重启的SGD(SGD with restarts)  

SGDR(Loshchilov andHutter,2017)是近期提出的一个有效的方法,这是一种使用热重启替代学习速率退火的SGD方法。在每次重新启动时,学习速率被初始化为某个值,并且将减少。重要的是,重启是热重启,因为优化不是从头开始,而是从最后一个步骤中模型收敛的参数开始。关键因素是用积极的余弦退火方案使学习率下降,这会迅速降低学习率,如下所示:

学习速率热重启方案

重新启动后的初始的高学习率用于基本上将参数从它们先前收敛的最小值弹射到不同的损失表面(loss surface)。激进的退火使模型能够快速收敛到一个新的更好的解决方案。作者根据经验发现,热重启的SGD需要的时间比学习速率退火少2〜4倍,并且能达到相当或更好的性能。  

学习率退火与热重启也称为周期性学习率,最初由Smith(2017)提出。 fast.ai(最近开始教这个方法)的学生还有两篇文章讨论热启动和循环学习的速率,其地址在(https://medium.com/@bushaev/improving-the-way-we-work-with-learning-rate-5e99554f163b)和(http://teleported.in/posts/cyclic-learning-rate/)。

小批量梯度下降(Mini-batch gradient descent) 

Mini-batch梯度下降综合了batch梯度下降与stochastic梯度下降,在每次更新速度与更新次数中间取得一个平衡,其每次更新从训练集中随机选择m(其中m<n)个样本进行学习,即:   

θ=θ−η⋅∇θJ(θ;xi:i+m;yi:i+m)

相对于随机梯度下降,Mini-batch梯度下降降低了收敛波动性,即降低了参数更新的方差,使得更新更加稳定。

相对于批量梯度下降,其提高了每次学习的速度。并且其不用担心内存瓶颈从而可以利用矩阵运算进行高效计算。

一般而言每次更新随机选择[50,256]个样本进行学习,但是也要根据具体问题而选择,实践中可以进行多次试验,选择一个更新速度与更新次数都较适合的样本数。

mini-batch梯度下降虽然可以保证收敛性。mini-batch梯度下降常用于神经网络中。

问题与挑战     

虽然梯度下降算法效果很好,并且广泛使用,但同时其也存在一些挑战与问题需要解决:  

  • 选择一个合理的学习速率很难

    如果学习速率过小,则会导致收敛速度很慢。如果学习速率过大,那么其会阻碍收敛,即在极值点附近会振荡。  

  • 学习速率调整(又称学习速率调度,Learning rate schedules)[11]

    试图在每次更新过程中,改变学习速率,如退火。一般使用某种事先设定的策略或者在每次迭代中衰减一个较小的阈值。无论哪种调整方法,都需要事先进行固定设置,这边便无法自适应每次学习的数据集特点[10]。  

  • 微调学习速率(Tuning the learning rate)  

在许多情况下,除了超参数我们的模型是不需要改进和调整的。

最近的语言建模实例证明,与更复杂的模型相比,仅仅调整LSTM参数(Melis等,2017)[20] 和正则化参数(Merity等,2017)就可以产生更好的结果。  学习速率η是深度学习中一个重要的优化超参数。实际上,SGD已经被证明需要一个学习率退火方案,以收敛到一个好的最小值。人们经常认为,像Adam这样的自适应学习速率方法对于不同的学习速率更具有鲁棒性,因为他们自己更新了学习速率。但是,即使对于这些方法,好的学习速率和最佳的学习速率之间也可能有很大的差别。

Zhang等(2017)表明,具有调整学习率退火方案和动量参数的SGD不仅可以与Adam竞争,而且收敛速度更快。另一方面,虽然我们可能认为Adam学习速率的适应性可以模仿学习速率退火,但是明确使用退火方案仍然是有益的:如果我们对Adam增加SGD的学习速率退火,它在机器翻译任务中(Denkowski和Neubig,2017)收敛速度更快。  

事实上,学习速率退火方案似乎是新的特征工程,因为我们经常可以找到改进的学习速率退火方案,来改善了我们模型的最终收敛行为。一个有趣的例子如Vaswani等(2017)。

虽然通常看到一个模型的超参数要经过大规模的超参数优化,但有趣的是将学习速率退火方案看作是对细节同样重视的焦点:作者在Adam中使用参数β1= 0.9,非默认β2= 0.98,ε= 10^-9,学习率η可能是最复杂的退火方案之一:


其中,dmodel是模型参数的数量,且 warmup_steps=4000  史密斯等人最近的另一篇论文(2017)展示了学习率和batch大小之间有一定的联系,两个超参数通常被认为是相互独立的:他们表明,衰减学习率相当于增加batch大小,然而batch可以并行的增加。

相反,我们可以减少模型更新次数,从而通过提高学习速度和缩放batch来加快训练速度。这对于大规模的深度学习有影响,现在可以重新调整现有的训练方案,而不需要调整超参数。

  • 模型所有的参数每次更新都是使用相同的学习速率

    如果数据特征是稀疏的或者每个特征有着不同的取值统计特征与空间,那么便不能在每次更新中每个参数使用相同的学习速率,那些很少出现的特征应该使用一个相对较大的学习速率。  

  • 对于非凸目标函数,容易陷入那些次优的局部极值点中

    如在神经网路中。那么如何避免呢。Dauphin[3]指出更严重的问题不是局部极值点,而是鞍点(These saddle points are usually surrounded by a plateau of the same error, which makes it notoriously hard for SGD to escape, as the gradient is close to zero in all dimensions.)。

梯度下降优化算法

下面将讨论一些在深度学习社区中经常使用用来解决上诉问题的一些梯度优化方法,不过并不包括在高维数据中不可行的算法,如牛顿法。  

Momentum     

如果在峡谷地区(某些方向较另一些方向上陡峭得多,常见于局部极值点)[1],SGD会在这些地方附近振荡,从而导致收敛速度慢。这种情况下,动量(Momentum)便可以解决[2]。动量在参数更新项中加上一次更新量(即动量项),即:

νt=γνt−1+η ∇θJ(θ)  

θ=θ−νt  

其中动量项超参数γ<1一般是小于等于0.9。 

其作用如下图所示:

图2 没有动量

图3 加上动量

加上动量项就像从山顶滚下一个球,球往下滚的时候累积了前面的动量(动量不断增加),因此速度变得越来越快,直到到达终点。

同理,在更新模型参数时,对于那些当前的梯度方向与上一次梯度方向相同的参数,那么进行加强,即这些方向上更快了;对于那些当前的梯度方向与上一次梯度方向不同的参数,那么进行削减,即这些方向上减慢了。因此可以获得更快的收敛速度与减少振荡。

NAG[7]     

从山顶往下滚的球会盲目地选择斜坡。更好的方式应该是在遇到倾斜向上之前应该减慢速度。     

Nesterov accelerated gradient(NAG,涅斯捷罗夫梯度加速)不仅增加了动量项,并且在计算参数的梯度时,在损失函数中减去了动量项,即计算∇θJ(θ−γνt−1),这种方式预估了下一次参数所在的位置。即:   

νt=γνt−1+η⋅∇θJ(θ−γνt−1)  

θ=θ−νt  

如下图所示:

图4 NAG更新

详细介绍可以参见Ilya Sutskever的PhD论文[9]。假设动量因子参数γ=0.9,首先计算当前梯度项,如上图小蓝色向量,然后加上动量项,这样便得到了大的跳跃,如上图大蓝色的向量。这便是只包含动量项的更新。而NAG首先来一个大的跳跃(动量项),然后加上一个小的使用了动量计算的当前梯度(上图红色向量)进行修正得到上图绿色的向量。这样可以阻止过快更新来提高响应性,如在RNNs中[8]。     

通过上面的两种方法,可以做到每次学习过程中能够根据损失函数的斜率做到自适应更新来加速SGD的收敛。下一步便需要对每个参数根据参数的重要性进行各自自适应更新。

Adagrad     

Adagrad[3]也是一种基于梯度的优化算法,它能够对每个参数自适应不同的学习速率,对稀疏特征,得到大的学习更新,对非稀疏特征,得到较小的学习更新,因此该优化算法适合处理稀疏特征数据。Dean等[4]发现Adagrad能够很好的提高SGD的鲁棒性,google便用起来训练大规模神经网络(看片识猫:recognize cats in Youtube videos)。Pennington等[5]在GloVe中便使用Adagrad来训练得到词向量(Word Embeddings), 频繁出现的单词赋予较小的更新,不经常出现的单词则赋予较大的更新。

在前述中,每个模型参数θi使用相同的学习速率η,而Adagrad在每一个更新步骤中对于每一个模型参数θi使用不同的学习速率ηi,设第t次更新步骤中,目标函数的参数θi梯度为gt,i,即:   

gt,i=∇θJ(θi)    

那么SGD更新方程为:  

θt+1,i=θt,i−η⋅gt,i   

而Adagrad对每一个参数使用不同的学习速率,其更新方程为:  

其中,Gt∈Rd×d是一个对角矩阵,其中第i行的对角元素eii为过去到当前第i个参数θi的梯度的平方和,epsilon是一个平滑参数,为了使得分母不为0(通常ϵ=1e−8),另外如果分母不开根号,算法性能会很糟糕。     

进一步,将所有Gt,ii,gt,i 的元素写成向量Gt,gt,这样便可以使用向量点乘操作:  

Adagrad主要优势在于它能够为每个参数自适应不同的学习速率,而一般的人工都是设定为0.01。同时其缺点在于需要计算参数梯度序列平方和,并且学习速率趋势是不断衰减最终达到一个非常小的值。

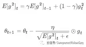
RMSprop

其实RMSprop是Adadelta的中间形式,也是为了降低Adagrad中学习速率衰减过快问题,即:

Hinton建议γ=0.9,η=0.001。

Adam

Adaptive Moment Estimation(Adam) 也是一种不同参数自适应不同学习速率方法,与Adadelta与RMSprop区别在于,它计算历史梯度衰减方式不同,不使用历史平方衰减,其衰减方式类似动量,如下:   

mt=β1mt−1+(1−β1)gt 

vt=β2vt−1+(1−beta2)g2t 

mt与vt分别是梯度的带权平均和带权有偏方差,初始为0向量,Adam的作者发现他们倾向于0向量(接近于0向量),特别是在衰减因子(衰减率)β1,β2接近于1时。为了改进这个问题,对mt与vt进行偏差修正(bias-corrected):

最终,Adam的更新方程为:

论文中建议默认值:β1=0.9,β2=0.999,ϵ=10−8。论文中将Adam与其它的几个自适应学习速率进行了比较,效果均要好。 

各优化方法比较     

下面两幅图可视化形象地比较上述各优化方法,详细参见这里,如图:

图5 SGD各优化方法在损失曲面上的表现     

从上图可以看出, Adagrad、Adadelta与RMSprop在损失曲面上能够立即转移到正确的移动方向上达到快速的收敛。而Momentum 与NAG会导致偏离(off-track)。同时NAG能够在偏离之后快速修正其路线,因为其根据梯度修正来提高响应性。

图6 SGD各优化方法在损失曲面鞍点处上的表现     

从上图可以看出,在鞍点(saddle points)处(即某些维度上梯度为零,某些维度上梯度不为零),SGD、Momentum与NAG一直在鞍点梯度为零的方向上振荡,很难打破鞍点位置的对称性;Adagrad、RMSprop与Adadelta能够很快地向梯度不为零的方向上转移。    

从上面两幅图可以看出,自适应学习速率方法(Adagrad、Adadelta、RMSprop与Adam)在这些场景下具有更好的收敛速度与收敛性。

如何选择SGD优化器     

如果你的数据特征是稀疏的,那么你最好使用自适应学习速率SGD优化方法(Adagrad、Adadelta、RMSprop与Adam),因为你不需要在迭代过程中对学习速率进行人工调整。     

RMSprop是Adagrad的一种扩展,与Adadelta类似,但是改进版的Adadelta使用RMS去自动更新学习速率,并且不需要设置初始学习速率。而Adam是在RMSprop基础上使用动量与偏差修正。RMSprop、Adadelta与Adam在类似的情形下的表现差不多。Kingma[15]指出收益于偏差修正,Adam略优于RMSprop,因为其在接近收敛时梯度变得更加稀疏。因此,Adam可能是目前最好的SGD优化方法。     

有趣的是,最近很多论文都是使用原始的SGD梯度下降算法,并且使用简单的学习速率退火调整(无动量项)。现有的已经表明:SGD能够收敛于最小值点,但是相对于其他的SGD,它可能花费的时间更长,并且依赖于鲁棒的初始值以及学习速率退火调整策略,并且容易陷入局部极小值点,甚至鞍点。因此,如果你在意收敛速度或者训练一个深度或者复杂的网络,你应该选择一个自适应学习速率的SGD优化方法。

并行与分布式SGD     

如果你处理的数据集非常大,并且有机器集群可以利用,那么并行或分布式SGD是一个非常好的选择,因为可以大大地提高速度。SGD算法的本质决定其是串行的(step-by-step)。因此如何进行异步处理便是一个问题。虽然串行能够保证收敛,但是如果训练集大,速度便是一个瓶颈。如果进行异步更新,那么可能会导致不收敛。下面将讨论如何进行并行或分布式SGD,并行一般是指在同一机器上进行多核并行,分布式是指集群处理。  

  • Hogwild     

Niu[23]提出了被称为Hogwild的并行SGD方法。该方法在多个CPU时间进行并行。处理器通过共享内存来访问参数,并且这些参数不进行加锁。它为每一个cpu分配不重叠的一部分参数(分配互斥),每个cpu只更新其负责的参数。该方法只适合处理数据特征是稀疏的。该方法几乎可以达到一个最优的收敛速度,因为cpu之间不会进行相同信息重写。  

  • Downpour SGD     

Downpour SGD是Dean[4]提出的在DistBelief(Google TensorFlow的前身)使用的SGD的一个异步变种。它在训练子集上训练同时多个模型副本。这些副本将各自的更新发送到参数服务器(PS,parameter server),每个参数服务器只更新互斥的一部分参数,副本之间不会进行通信。因此可能会导致参数发散而不利于收敛。  

  • Delay-tolerant Algorithms for SGD     

McMahan与Streeter[12]扩展AdaGrad,通过开发延迟容忍算法(delay-tolerant algorithms),该算法不仅自适应过去梯度,并且会更新延迟。该方法已经在实践中表明是有效的。  

  • TensorFlow     

TensorFlow[13]是Google开源的一个大规模机器学习库,它的前身是DistBelief。它已经在大量移动设备上或者大规模分布式集群中使用了,已经经过了实践检验。其分布式实现是基于图计算,它将图分割成多个子图,每个计算实体作为图中的一个计算节点,他们通过Rend/Receive来进行通信。具体参见这里。  

  • Elastic Averaging SGD     

Zhang等[14]提出Elastic Averaging SGD(EASGD),它通过一个elastic force(存储参数的参数服务器中心)来连接每个work来进行参数异步更新。This allows the local variables to fluctuate further from the center variable, which in theory allows for more exploration of the parameter space. They show empirically that this increased capacity for exploration leads to improved performance by finding new local optima. 这句话不太懂,需要去看论文。

更多的SGD优化策略     

接下来介绍更多的SGD优化策略来进一步提高SGD的性能。另外还有众多其它的优化策略,可以参见[22]。  

  • Shuffling and Curriculum Learning     

为了使得学习过程更加无偏,应该在每次迭代中随机打乱训练集中的样本。     

另一方面,在很多情况下,我们是逐步解决问题的,而将训练集按照某个有意义的顺序排列会提高模型的性能和SGD的收敛性,如何将训练集建立一个有意义的排列被称为Curriculum Learning[16]。    

Zaremba与Sutskever[17]在使用Curriculum Learning来训练LSTMs以解决一些简单的问题中,表明一个相结合的策略或者混合策略比对训练集按照按照训练难度进行递增排序要好。

  • Batch normalization     

为了方便训练,我们通常会对参数按照0均值1方差进行初始化,随着不断训练,参数得到不同程度的更新,这样这些参数会失去0均值1方差的分布属性,这样会降低训练速度和放大参数变化随着网络结构的加深。     

Batch normalization[18]在每次mini-batch反向传播之后重新对参数进行0均值1方差标准化。这样可以使用更大的学习速率,以及花费更少的精力在参数初始化点上。Batch normalization充当着正则化、减少甚至消除掉Dropout的必要性。  

  • Early stopping     

在验证集上如果连续的多次迭代过程中损失函数不再显著地降低,那么应该提前结束训练,详细参见NIPS 2015 Tutorial slides,或者参见防止过拟合的一些方法。  

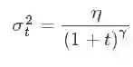
  • Gradient noise     

Gradient noise[21]即在每次迭代计算梯度中加上一个高斯分布N(0,σ2t)的随机误差,即 :

gt,i=gt,i+N(0,σ2t)     

高斯误差的方差需要进行退火:

对梯度增加随机误差会增加模型的鲁棒性,即使初始参数值选择地不好,并适合对特别深层次的负责的网络进行训练。其原因在于增加随机噪声会有更多的可能性跳过局部极值点并去寻找一个更好的局部极值点,这种可能性在深层次的网络中更常见。 

总结     

在上文中,对梯度下降算法的三种框架进行了介绍,并且mini-batch梯度下降是使用最广泛的。随后,我们重点介绍了SGD的一些优化方法:Momentum、NAG、Adagrad、Adadelta、RMSprop与Adam,以及一些异步SGD方法。

最后,介绍了一些提高SGD性能的其它优化建议,如:训练集随机洗牌与课程学习(shuffling and curriculum learning)、batch normalization,、early stopping与Gradient noise。     

希望这篇文章能给你提供一些关于如何使用不同的梯度优化算法方面的指导。如果还有更多的优化建议或方法还望大家提出来?或者你使用什么技巧和方法来更好地训练SGD可以一起交流?Thanks。

引用

[1] Sutton, R. S. (1986). Two problems with backpropagation and other steepest-descent learning procedures for networks. Proc. 8th Annual Conf. Cognitive Science Society.

[2] Qian, N. (1999). On the momentum term in gradient descent learning algorithms. Neural Networks : The Official Journal of the International Neural Network Society, 12(1), 145–151.http://doi.org/10.1016/S0893-6080(98)00116-6.

[3] Duchi, J., Hazan, E., & Singer, Y. (2011). Adaptive Subgradient Methods for Online Learning and Stochastic Optimization. Journal of Machine Learning Research, 12, 2121–2159. Retrieved fromhttp://jmlr.org/papers/v12/duchi11a.html.

[4] Dean, J., Corrado, G. S., Monga, R., Chen, K., Devin, M., Le, Q. V, … Ng, A. Y. (2012). Large Scale Distributed Deep Networks. NIPS 2012: Neural Information Processing Systems, 1–11.http://doi.org/10.1109/ICDAR.2011.95.

[5] Pennington, J., Socher, R., & Manning, C. D. (2014). Glove: Global Vectors for Word Representation. Proceedings of the 2014 Conference on Empirical Methods in Natural Language Processing, 1532–1543. http://doi.org/10.3115/v1/D14-1162.

[6] Zeiler, M. D. (2012). ADADELTA: An Adaptive Learning Rate Method. Retrieved fromhttp://arxiv.org/abs/1212.5701.

[7] Nesterov, Y. (1983). A method for unconstrained convex minimization problem with the rate of convergence o(1/k2). Doklady ANSSSR (translated as Soviet.Math.Docl.), vol. 269, pp. 543– 547.

[8] Bengio, Y., Boulanger-Lewandowski, N., & Pascanu, R. (2012). Advances in Optimizing Recurrent Networks. Retrieved from http://arxiv.org/abs/1212.0901.

[9] Sutskever, I. (2013). Training Recurrent neural Networks. PhD Thesis.

[10] Darken, C., Chang, J., & Moody, J. (1992). Learning rate schedules for faster stochastic gradient search. Neural Networks for Signal Processing II Proceedings of the 1992 IEEE Workshop, (September), 1–11. http://doi.org/10.1109/NNSP.1992.253713.

[11] H. Robinds and S. Monro, “A stochastic approximation method,” Annals of Mathematical Statistics, vol. 22, pp. 400–407, 1951.

[12] Mcmahan, H. B., & Streeter, M. (2014). Delay-Tolerant Algorithms for Asynchronous Distributed Online Learning. Advances in Neural Information Processing Systems (Proceedings of NIPS), 1–9. Retrieved from http://papers.nips.cc/paper/5242-delay-tolerant-algorithms-for-asynchronous-distributed-online-learning.pdf.

[13] Abadi, M., Agarwal, A., Barham, P., Brevdo, E., Chen, Z., Citro, C., … Zheng, X. (2015). TensorFlow : Large-Scale Machine Learning on Heterogeneous Distributed Systems.

[14] Zhang, S., Choromanska, A., & LeCun, Y. (2015). Deep learning with Elastic Averaging SGD. Neural Information Processing Systems Conference (NIPS 2015), 1–24. Retrieved fromhttp://arxiv.org/abs/1412.6651.

[15] Kingma, D. P., & Ba, J. L. (2015). Adam: a Method for Stochastic Optimization. International Conference on Learning Representations, 1–13

[16] Bengio, Y., Louradour, J., Collobert, R., & Weston, J. (2009). Curriculum learning. Proceedings of the 26th Annual International Conference on Machine Learning, 41–48.http://doi.org/10.1145/1553374.1553380.

[17] Zaremba, W., & Sutskever, I. (2014). Learning to Execute, 1–25. Retrieved fromhttp://arxiv.org/abs/1410.4615.

[18] Ioffe, S., & Szegedy, C. (2015). Batch Normalization : Accelerating Deep Network Training by Reducing Internal Covariate Shift. arXiv Preprint arXiv:1502.03167v3.

[19] Dauphin, Y., Pascanu, R., Gulcehre, C., Cho, K., Ganguli, S., & Bengio, Y. (2014). Identifying and attacking the saddle point problem in high-dimensional non-convex optimization. arXiv, 1–14. Retrieved from http://arxiv.org/abs/1406.2572.

[20] Sutskever, I., & Martens, J. (2013). On the importance of initialization and momentum in deep learning. http://doi.org/10.1109/ICASSP.2013.6639346.

[21] Neelakantan, A., Vilnis, L., Le, Q. V., Sutskever, I., Kaiser, L., Kurach, K., & Martens, J. (2015). Adding Gradient Noise Improves Learning for Very Deep Networks, 1–11. Retrieved fromhttp://arxiv.org/abs/1511.06807.

[22] LeCun, Y., Bottou, L., Orr, G. B., & Müller, K. R. (1998). Efficient BackProp. Neural Networks: Tricks of the Trade, 1524, 9–50. http://doi.org/10.1007/3-540-49430-8_2.

[23] Niu, F., Recht, B., Christopher, R., & Wright, S. J. (2011). Hogwild ! : A Lock-Free Approach to Parallelizing Stochastic Gradient Descent, 1–22.

[24] Duchi et al. [3] give this matrix as an alternative to the full matrix containing the outer products of all previous gradients, as the computation of the matrix square root is infeasible even for a moderate number of parameters dd.



登录查看更多
10

相关内容

梯度下降法算法用梯度乘以一个称为学习速率(有时也称为步长)的标量,以确定下一个点的位置。如果学习速率太小,则会使收敛过慢,如果学习速率太大,则会导致代价函数振荡。
最新《深度学习行人重识别》综述论文,24页pdf
专知会员服务
81+阅读 · 2020年5月5日
机器学习速查手册,135页pdf
专知会员服务
345+阅读 · 2020年3月15日
机器翻译深度学习最新综述
专知会员服务
99+阅读 · 2020年2月20日
深度学习算法与架构回顾
专知会员服务
84+阅读 · 2019年10月20日
深度学习视频中多目标跟踪:论文综述
专知会员服务
94+阅读 · 2019年10月13日
深度学习自然语言处理综述,266篇参考文献
专知会员服务
231+阅读 · 2019年10月12日
【新书】Python编程基础,669页pdf
专知会员服务
197+阅读 · 2019年10月10日
深度学习优化算法总结(SGD,AdaGrad,Adam等)
极市平台
34+阅读 · 2019年4月30日
深度学习目标检测算法综述
AI研习社
25+阅读 · 2019年2月1日
当前训练神经网络最快的方式:AdamW优化算法+超级收敛
中国人工智能学会
6+阅读 · 2018年7月4日
从0到1,这篇深度学习综述送给你!
机器学习算法与Python学习
27+阅读 · 2018年6月13日
2017年深度学习优化算法最新综述
计算机视觉战队
7+阅读 · 2017年12月18日
绝对干货 | 随机梯度下降算法综述
菜鸟的机器学习
15+阅读 · 2017年10月30日
独家 | 一文读懂优化算法
数据派THU
8+阅读 · 2017年9月15日
精品公开课 | 随机梯度下降算法综述
七月在线实验室
13+阅读 · 2017年7月11日
Arxiv
19+阅读 · 2019年4月5日
Generalization and Regularization in DQN
Arxiv
6+阅读 · 2019年1月30日
Arxiv
4+阅读 · 2019年1月14日
Arxiv
136+阅读 · 2018年10月8日
A Multi-Objective Deep Reinforcement Learning Framework
VIP会员
相关VIP内容
最新《深度学习行人重识别》综述论文,24页pdf
专知会员服务
81+阅读 · 2020年5月5日
机器学习速查手册,135页pdf
专知会员服务
345+阅读 · 2020年3月15日
机器翻译深度学习最新综述
专知会员服务
99+阅读 · 2020年2月20日
深度学习算法与架构回顾
专知会员服务
84+阅读 · 2019年10月20日
深度学习视频中多目标跟踪:论文综述
专知会员服务
94+阅读 · 2019年10月13日
深度学习自然语言处理综述,266篇参考文献
专知会员服务
231+阅读 · 2019年10月12日
【新书】Python编程基础,669页pdf
专知会员服务
197+阅读 · 2019年10月10日
相关资讯
深度学习优化算法总结(SGD,AdaGrad,Adam等)
极市平台
34+阅读 · 2019年4月30日
深度学习目标检测算法综述
AI研习社
25+阅读 · 2019年2月1日
当前训练神经网络最快的方式:AdamW优化算法+超级收敛
中国人工智能学会
6+阅读 · 2018年7月4日
从0到1,这篇深度学习综述送给你!
机器学习算法与Python学习
27+阅读 · 2018年6月13日
2017年深度学习优化算法最新综述
计算机视觉战队
7+阅读 · 2017年12月18日
绝对干货 | 随机梯度下降算法综述
菜鸟的机器学习
15+阅读 · 2017年10月30日
独家 | 一文读懂优化算法
数据派THU
8+阅读 · 2017年9月15日
精品公开课 | 随机梯度下降算法综述
七月在线实验室
13+阅读 · 2017年7月11日
Top
微信扫码咨询专知VIP会员