K-means聚类与EM算法

2020 年 4 月 8 日 AINLP



一:内容预告


今天是三月的最后一天,邓邓就不吐槽了。
发一篇K-means的文章,完美结束这三月。
四月又是新的开始,愿大家每天都有最新鲜的空气,处处都有最美丽的风景。
本文关注以下内容:
  • K-means的原理

  • 初始类中心的选择和类别数K的确定

  • K-means和EM算法、高斯混合模型的关系


 二:K-means的原理

频率学派和贝叶斯学派的区别

频率学派和贝叶斯学派的区别

频率学派和贝叶斯学派的



K-means(K均值聚类)是一种基于中心的聚类算法,通过迭代,将样本分到K个类中,使每个样本与其所属类中心的距离之和最小


01

定义损失函数


假设我们有一个数据集 {x1, x2,..., xN},每个样本的特征维度是m维,我们的目标是将数据集划分为K个类别。
假定K值已经给定,第k个类别的中心定义为μ k ,k=1,2,..., K,μ k 是一个m维的特征向量。
我们需要找到每个样本所属的类别,以及一组向量{μ k },使每个样本与其所属类别的中心μ k 的距离之和最小。
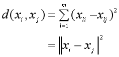
聚类需要根据样本之间的相似度,对样本集合进行划分,将相似度较高的样本归为一类。
可以通过计算样本之间的欧氏距离、马氏距离、余弦距离或相关系数,来衡量样本之间的相似度。
而K-means是用欧氏距离的平方来度量样本之间的相似度。欧式距离的平方公式如下:

接着,把所有样本与所属类中心的距离平方和,定义为损失函数:

其中rnk∈{0,1},n=1,2,...,N,k=1,2,...,K,如果rnk=1,那么表示样本xn属于第k类,且对于j≠k,有rnj=0,也就是样本xn只能属于一个类别。

于是我们需要找到{rnk}和{μk}的值,使得距离平方之和J最小化。


02

进行迭代


K-means是一种迭代算法,每次迭代涉及到两个连续的步骤,分别对应rnk的最优化和μk的最优化,也对应着EM算法的E步(求期望)和M步(求极大)两步。

首先,为μk选择一些初始值,也就是初始化K个类中心。

然后,执行以下两个步骤,直至收敛。

第一步:保持μk固定,选择rnk来最小化J,也就是把样本指派到与其最近的中心所属的类中,得到一个聚类结果。

第二步:保持rnk固定,计算μk来最小化J,也就是更新每个类别的中心。

具体来说,也就是E步和M步:

E步:在类中心μk已经确定的情况下,最优化rnk

这一步比较简单,我们可以分别对每个样本xn进行最优化。

将某个样本分配到第k个类别,如果该样本和第k个类别的距离最小,那么令rnk=1。

对N个样本都这样进行分配,自然就得到了{rnk,使所有样本与类中心的距离平方和最小,从而得到了一个聚类结果。

M步:确定了数据集的一种划分,也就是确定{rnk}后,最优化μk
目标函数J是μk的一个二次函数,令它关于μk的导数为零,就可以求得使目标函数达到最小值的μk,即

解出μk的结果为:

这个μk就是类别k中所有样本的均值,所以把这个算法称为K均值聚类。
重新为样本分配类别,再重新计算每个类别的均值,不断重复这两个步骤,直到聚类的结果不再改变。
需要注意以下几点:
  • K-means可能收敛到目标函数J的局部极小值,不能保证收敛到全局最小值。
  • 聚类之前,需要对数据集进行标准化,使样本的均值为0,标准差为1。
  • 初始类中心的选择会直接影响聚类结果,选择不同的初始类中心,可能会得到不同的聚类结果。
  • K均值聚类算法的复杂度是O(mnk),m是样本的特征维度,n是样本个数,k是类别个数。



 四:初始化类中心和确定类别数

频率学派和贝叶斯学派的区别

频率学派和贝叶斯学派的区别



K-means的思想比较简单,关键在于初始类中心的选择和类别数K的确定,这对聚类的结果有比较大的影响。

01

初始化类中心


(一)第一种方法

用层次聚类法进行初始聚类,然后把这些类中心作为K均值聚类的初始类中心。

层次聚类的复杂度为O(mn3),m是样本的特征维度,n是样本个数,复杂度也是蛮高的,那为什么用层次聚类的结果来初始化类中心呢?

我想是因为层次聚类的结果,完全是由算法确定的,是一个客观的结果。这样就把K-means的初始类中心的选择问题,由主观决定变成了客观决定。

(二)第二种方法

首先随机选择一个点,作为第一个初始类中心点,然后计算该点与其他所有样本点的距离,选择距离最远的点,作为第二个初始类的中心点,以此类推,直到选出K个初始类中心点。


02

类别数K的确定


(一)轮廓系数

轮廓系数(Silhouette Coefficient)可以用来判定聚类结果的好坏,也可以用来确定类别数K。

一个好的聚类结果,要能保证类别内部样本之间的距离尽可能小(密集度),而类与类之间样本的距离尽可能大(离散度)。

轮廓系数就是一个用来度量聚类的密集度和离散度的综合指标。

轮廓系数的计算过程和使用如下:

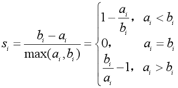
计算样本xi到同类Ck其他样本的平均距离ai将ai称为样本xi簇内不相似度,ai越小,说明样本xi越应该被分配到该类。

②计算样本xi到其他类Cj所有样本的平均距离bij,j=1, 2 ,..., K,j≠k,称为样本xi与类别Cj的不相似度。

定义样本xi的簇间不相似度:bi =min{bi1, bi2, ...,bij,..., biK},j≠k,bi越大,说明样本xi越不属于其他簇。

根据样本xi的簇内不相似度ai和簇间不相似度bi,定义样本xi的轮廓系数si,作为样本xi分类合理性的度量。

④轮廓系数范围在[-1,1]之间,该值越大,聚类结果越好。

si接近1,则样本xi被分配到类别Ck的结果比较合理;si接近0,说明样本xi在两个类的边界上;si接近-1,说明样本xi更应该被分配到其他类别。

⑤计算所有样本的轮廓系数si的均值,得到聚类结果的轮廓系数S,作为聚类结果合理性的度量。轮廓系数越大,聚类结果越好。

⑥使用不同的K值进行K均值聚类,计算各自的轮廓系数S,选择较大的轮廓系数所对应的K值。

(二)肘部法则

K-means的损失函数,是所有样本到类别中心的距离平方和J,也就是误差平方和SSE:

从类别数K=1开始,当类别数K小于真实的类别数时,随着类别数的增大,SSE会快速地下降。

而当类别数到达真实类别数的临界点后,SSE开始缓慢下降,也就是说SSE和K的关系曲线一个肘部形状,这个肘部所对应的K值可以认为是合适的类别数。

那么我们选择不同的K值,训练多个模型,然后计算模型的SSE,选择SSE开始缓慢下降时的K值,作为聚类的类别数。

如下图,可以选择4或5作为聚类的类别数。



 五:与EM、GMM的关系

频率学派和贝叶斯学派的区别






这一部分,需要EM算法和高斯混合模型的前置知识。

这篇是我在博客园上总结的:

《聚类之高斯混合模型与EM算法》

https://www.cnblogs.com/Luv-GEM/p/10851395.html


01

要点总结


关于K-means与EM算法、高斯混合模型的关系,主要有以下三点:

1:K-means是一种非概率的聚类算法,属于硬聚类方法,即一个样本只能属于一个类(类与类之间的交集为空)。

相比之下,高斯混合模型(GMM)是一种基于概率的聚类算法,属于软聚类方法,每个样本按照一个概率分布,属于多个类。

2:K-means在一次迭代中的两个步骤,可以看做是EM算法的E步和M步。

而且K-means可以看做,用EM算法对⾼斯混合模型进行参数估计的⼀个特例,也就是高斯混合模型中分模型的方差σ2相等,为常数,且σ2→0时的极限情况。

3:K-means和基于EM算法的高斯混合模型,对参数的初始化值比较敏感。

由于K-means的计算量远小于基于EM算法的高斯混合模型,所以通常运⾏K-means,来找到⾼斯混合模型的⼀个初始值,再用EM算法进行调节。

具体而言,用K-means划分K个类别,再用各类别样本所占的比例,来初始化K个分模型的权重;用各类别中样本的均值,来初始化K个高斯分布的期望;用各类别中样本的方差,来初始化K个高斯分布的方差。


02

从图形来理解


为了理解以上几点,尤其是第2点,我们可以先从图形来看。

假设高斯混合模型由4个高斯分布混合而成,高斯分布的密度函数如下。

Ø(y|θk)是第k个高斯分布的概率密度,被称为第k个分模型,参数为θk=(μk, αk2)。

令均值μ=[0,2,4,6],方差σ2=[1,2,3,1],则4个高斯分布的概率密度函数的图形如下。

我们可以看到,4个图形之间有重叠的部分,也就说明每个样本可以按照一个概率分布αk,属于多个类,只是属于某类的概率大些,属于其他类的概率小些。

这表明高斯混合模型是一种软聚类方法。

然后令均值μ不变,方差σ2=[0.01, 0.01, 0.01, 0.01],也就是4个分模型的方差σk2相等,而且σk2→0,那么4个高斯分布的图形如下。

每个高斯分布的图形之间没有交集,那么每个样本只属于一个类,变成了硬聚类。

这也就是高斯混合模型的特例:K-means。


03

从公式来理解


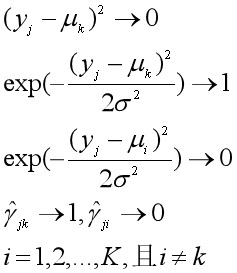
用EM算法对高斯混合模型进行极大似然估计,在E步,我们需要基于第i轮迭代的参数θ(i)=(αk, μk, σk)来计算γjk,γjk是第j个样本yj来自于第k个高斯分布分模型的概率,k=1,2,...,K。

在高斯混合模型中,γj是一个K维的向量,也就是第j个样本属于K个类的概率。假设分模型的方差σk2都相等,且是一个常数,不需要再估计,那么在EM算法的E步我们计算γjk

考虑σ2→0时的极限情况,如果样本yj属于第k类的概率最大,那么该样本与第k类的中心点的距离非常近,(yj - μk)2将会趋于0,于是有:

也就是样本yj属于第k类的概率近似为1,属于其他类别的概率近似为0,也就成为了一种硬聚类,也就是K-means。

其实在σ2→0的极限情况下,最大化高斯混合模型的完全数据的对数似然函数的期望,等价于最小化K均值聚类的目标函数J。

比如有4个高斯分布,样本yj的γj为[0.55, 0.15, 0.2, 0.1],那么属于第1类的概率γj1最大。

而当分模型的方差σ2→0时,样本yj的γj可能为[0.98, 0.01, 0.005, 0.005],也就是该样本直接被分配到了第1类,成为了硬聚类。

附:绘图代码
import matplotlib.pyplot as plt
import math
import numpy as np

""" 1: 4个高斯分布的均值 """ 
u1 = 0   
u2 = 2
u3 = 4
u4 = 6

""" 2: 4个高斯分布的标准差 """
sig1 = math.sqrt(1)  
sig2 = math.sqrt(2)
sig3 = math.sqrt(3)
sig4 = math.sqrt(1)

def x(u,sig):
    return np.linspace(u - 5*sig, u + 5*sig, 100)

x1 = x(u1,sig1)
x2 = x(u2,sig2)
x3 = x(u3,sig3)
x4 = x(u4,sig4)

""" 3: 概率密度 """ 
def y(x,u,sig):
    return np.exp(-(x - u) ** 2 /(2* sig**2))/(math.sqrt(2*math.pi)*sig)

y1 = y(x1,u1,sig1)
y2 = y(x2,u2,sig2)
y3 = y(x3,u3,sig3)
y4 = y(x4,u4,sig4)

plt.plot(x1, y1, "r-")
plt.plot(x2, y2, "g-")
plt.plot(x3, y3, "b-")
plt.plot(x4, y4, "m-")
plt.xticks(range(-6,16,2))
plt.show()



参考资料:

1、《统计学习方法》(第二版)

2、《Pattern Recognition and Machine Learning》


点击阅读原文,查看博客园的文章。

END


推荐阅读

AINLP年度阅读收藏清单

数学之美中盛赞的 Michael Collins 教授,他的NLP课程要不要收藏?

自动作诗机&藏头诗生成器:五言、七言、绝句、律诗全了

From Word Embeddings To Document Distances 阅读笔记

模型压缩实践系列之——bert-of-theseus,一个非常亲民的bert压缩方法

这门斯坦福大学自然语言处理经典入门课,我放到B站了

可解释性论文阅读笔记1-Tree Regularization

征稿启示 | 稿费+GPU算力+星球嘉宾一个都不少

关于AINLP

AINLP 是一个有趣有AI的自然语言处理社区,专注于 AI、NLP、机器学习、深度学习、推荐算法等相关技术的分享,主题包括文本摘要、智能问答、聊天机器人、机器翻译、自动生成、知识图谱、预训练模型、推荐系统、计算广告、招聘信息、求职经验分享等,欢迎关注!加技术交流群请添加AINLPer(id:ainlper),备注工作/研究方向+加群目的。


登录查看更多
1

相关内容

【经典书】概率统计导论第五版,730页pdf
专知会员服务
249+阅读 · 2020年7月28日
【伯克利-Ke Li】学习优化,74页ppt,Learning to Optimize
专知会员服务
41+阅读 · 2020年7月23日
最新《自动微分手册》77页pdf
专知会员服务
103+阅读 · 2020年6月6日
【干货书】用于概率、统计和机器学习的Python,288页pdf
专知会员服务
291+阅读 · 2020年6月3日
【经典书】机器学习高斯过程,266页pdf
专知会员服务
200+阅读 · 2020年5月2日
【经典书】精通机器学习特征工程,中文版,178页pdf
专知会员服务
360+阅读 · 2020年2月15日
百面机器学习!算法工程师面试宝典!| 码书
程序人生
6+阅读 · 2019年3月2日
从最大似然到EM算法:一致的理解方式
PaperWeekly
19+阅读 · 2018年3月19日
干货|EM算法原理总结
全球人工智能
17+阅读 · 2018年1月10日
机器学习(30)之线性判别分析(LDA)原理详解
机器学习算法与Python学习
11+阅读 · 2017年12月6日
动手写机器学习算法:K-Means聚类算法
七月在线实验室
5+阅读 · 2017年12月6日
机器学习(27)【降维】之主成分分析(PCA)详解
机器学习算法与Python学习
9+阅读 · 2017年11月22日
一文解读聚类中的两种流行算法
量子位
6+阅读 · 2017年11月20日
机器学习(16)之支持向量机原理(二)软间隔最大化
机器学习算法与Python学习
6+阅读 · 2017年9月8日
机器学习(15)之支持向量机原理(一)线性支持向量机
机器学习算法与Python学习
6+阅读 · 2017年9月1日
机器学习(13)之最大熵模型详解
机器学习算法与Python学习
7+阅读 · 2017年8月24日
Meta-Learning to Cluster
Arxiv
17+阅读 · 2019年10月30日
Arxiv
22+阅读 · 2018年8月30日
Arxiv
5+阅读 · 2017年12月14日
Arxiv
5+阅读 · 2017年10月27日
VIP会员
相关资讯
百面机器学习!算法工程师面试宝典!| 码书
程序人生
6+阅读 · 2019年3月2日
从最大似然到EM算法:一致的理解方式
PaperWeekly
19+阅读 · 2018年3月19日
干货|EM算法原理总结
全球人工智能
17+阅读 · 2018年1月10日
机器学习(30)之线性判别分析(LDA)原理详解
机器学习算法与Python学习
11+阅读 · 2017年12月6日
动手写机器学习算法:K-Means聚类算法
七月在线实验室
5+阅读 · 2017年12月6日
机器学习(27)【降维】之主成分分析(PCA)详解
机器学习算法与Python学习
9+阅读 · 2017年11月22日
一文解读聚类中的两种流行算法
量子位
6+阅读 · 2017年11月20日
机器学习(16)之支持向量机原理(二)软间隔最大化
机器学习算法与Python学习
6+阅读 · 2017年9月8日
机器学习(15)之支持向量机原理(一)线性支持向量机
机器学习算法与Python学习
6+阅读 · 2017年9月1日
机器学习(13)之最大熵模型详解
机器学习算法与Python学习
7+阅读 · 2017年8月24日
相关论文
Top
微信扫码咨询专知VIP会员