通过互信息思想来缓解类别不平衡问题

2020 年 7 月 27 日 PaperWeekly


©PaperWeekly 原创 · 作者|苏剑林

学校|追一科技

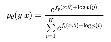
研究方向|NLP、神经网络


类别不平衡问题,也叫“长尾问题”,是机器学习面临的常见问题之一,尤其是来源于真实场景下的数据集,几乎都是类别不平衡的。大概在两年前,笔者也思考过这个问题,当时正好对“互信息”相关的内容颇有心得,所以构思了一种基于互信息思想的解决办法,但又想了一下,那思路似乎过于平凡,所以就没有深究。

然而,前几天在 arxiv 上刷到 Google 的一篇文章 Long-tail learning via logit adjustment [1],意外地发现里边包含了跟笔者当初的构思几乎一样的方法,这才意识到当初放弃的思路原来还能达到 SOTA 的水平。于是结合这篇论文,将笔者当初的构思过程整理于此,希望不会被读者嫌弃“马后炮”。

问题描述

这里主要关心的是单标签的多分类问题,假设有 共 K 个候选类别,训练数据为 ,建模的分布为 ,那么我们的优化目标是最大似然,或者说最小化交叉熵,即:
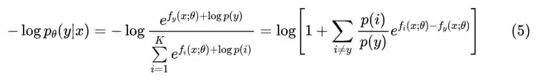
通常来说,我们建立的概率模型最后一步都是 softmax,假设 softmax 之前的结果为 (即 logits),那么:
所谓类别不均衡,就是指某些类别的样本特别多,就好比“20% 的人占据了 80% 的财富”一样,剩下的类别数很 多,但是总样本数很少,如果从高到低排序的话,就好像带有一条很长的“尾巴”,所以叫做长尾现象。
这种情况下,我们训练的时候采样一个 batch,很少有机会采样到低频类别,因此很容易被模型忽略了低频类。但评测的时候,通常我们又更关心低频类别的识别效果,这便是矛盾之处。

常见思路

常见的思路大家应该也有所听说,大概就是三个方向:

1. 从数据入手,通过过采样或降采样等手段,使得每个 batch 内的类别变得更为均衡一些;

2. 从 loss 入手,经典的做法就是类别 y 的样本 loss 除以类别出现的频率p(y);

3. 从结果入手,对正常训练完的模型在预测阶段做些调整,更偏向于低频类别,比如正样本远少于负样本,我们可以把预测结果大于 0.2(而不是 0.5)都视为正样本。

Google 的原论文中对这三个方向的思路也列举了不少参考文献,有兴趣调研的读者可以直接阅读原论文,另外,知乎上的文章《Long-Tailed Classification (2) 长尾分布下分类问题的最新研究》[2] 也对该问题进行了介绍,读者也可以参考阅读。

学习互信息

回想一下,我们是怎么断定某个分类问题是不均衡的呢?显然,一般的思路是从整个训练集里边统计出各个类别的频率 p(y),然后发现 p(y) 集中在某几个类别中。所以,解决类别不平衡问题的重点,就是如何把这个先验知识 p(y) 融入模型之中。

在之前构思词向量模型(如文章《更别致的词向量模型(二):对语言进行建模》[3])的时候,我们就强调过,相比拟合条件概率,如果模型能直接拟合互信息,那么将会学习到更本质的知识,因为互信息才是揭示核心关联的指标。

但是拟合互信息没那么容易训练,容易训练的是条件概率,直接用交叉熵 进行训练就行了。所以,一个比较理想的想法就是:如何使得模型依然使用交叉熵为 loss,但本质上是在拟合互信息?

在公式 (2) 中,我们是建模了:

现在我们改为建模互信息,那么那也就是希望:

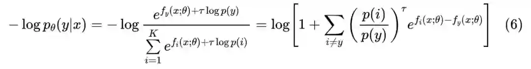
按照右端的形式重新进行 softmax 归一化,那么就有:

或者写成 loss 形式:

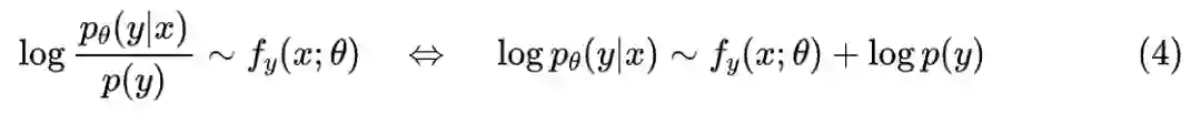
原论文称之为 logit adjustment loss 如果更加一般化,那么还可以加个调节因子
一般情况下, 的效果就已经接近最优了。 如果 的最后一层有 bias 项的话,那么最简单的实现方式就是将 bias 项初始化为 也可以写在损失函数中:
import numpy as np
import keras.backend as K


def categorical_crossentropy_with_prior(y_true, y_pred, tau=1.0):
    """带先验分布的交叉熵
    注:y_pred不用加softmax
    """

    prior = xxxxxx  # 自己定义好prior,shape为[num_classes]
    log_prior = K.constant(np.log(prior + 1e-8))
    for _ in range(K.ndim(y_pred) - 1):
        log_prior = K.expand_dims(log_prior, 0)
    y_pred = y_pred + tau * log_prior
    return K.categorical_crossentropy(y_true, y_pred, from_logits=True)


def sparse_categorical_crossentropy_with_prior(y_true, y_pred, tau=1.0):
    """带先验分布的稀疏交叉熵
    注:y_pred不用加softmax
    """

    prior = xxxxxx  # 自己定义好prior,shape为[num_classes]
    log_prior = K.constant(np.log(prior + 1e-8))
    for _ in range(K.ndim(y_pred) - 1):
        log_prior = K.expand_dims(log_prior, 0)
    y_pred = y_pred + tau * log_prior
    return K.sparse_categorical_crossentropy(y_true, y_pred, from_logits=True)

结果分析
很明显 logit adjustment loss 也属于调整 loss 方案之一,不同的是它是在 里边调整权重,而常规的思路则是在 外调整。至于它的好处,就是互信息的好处:互信息揭示了真正重要的关联,所以给 logits 补上先验分布的 bias,能让模型做到“能靠先验解决的就靠先验解决,先验解决不了的本质部分才由模型解决”。

在预测阶段,根据不同的评测指标,我们可以制定不同的预测方案。从《函数光滑化杂谈:不可导函数的可导逼近》[4] 可以知道,对于整体准确率而言,我们有近似:

其中 是验证集。 所以如果不考虑类别不均衡情况,追求更高的整体准确率,那么对于每个 x 我们 直接输出 最大的类别即可。 但如果我们希望每个类的准确率都尽可能高,那么我们将上式改写成:
其中 ,也标签为 y 的 x 的集合,等号右边事实上就是先将同一个 y 的项合并起来。 我们知道“整体准确率=每一类的准确率的加权平均”,而上式正好具有同样的形式,所以括号里边的 就是“每一类的准确率”的一个近似了。
因此,如果我们希望每一类的准确率都尽可能高,我们则要输出使得 最大的类别(不加权)。结合 的形式,我们有结论:
第一种其实就是输出条件概率最大者,而第二种就是输出互信息最大者,按具体需求选择。

至于详细的实验结果,大家可以自行看论文,总之就是好到有点意外:


▲ 原论文的实验结果


文末小结

本文简单介绍了一种基于互信息思想的类别不平衡处理办法,该方案以前笔者也曾经构思过,不过没有深究,而最近 Google 的一篇论文也给出了同样的方法,遂在此简单记录分析一下,最后 Google 给出的实验结果显示该方法能达到 SOTA 的水平。


参考文献


[1] https://arxiv.org/abs/2007.07314

[2] https://zhuanlan.zhihu.com/p/158638078

[3] https://kexue.fm/archives/4669

[4] https://kexue.fm/archives/6620



更多阅读






#投 稿 通 道#

 让你的论文被更多人看到 



如何才能让更多的优质内容以更短路径到达读者群体,缩短读者寻找优质内容的成本呢?答案就是:你不认识的人。


总有一些你不认识的人,知道你想知道的东西。PaperWeekly 或许可以成为一座桥梁,促使不同背景、不同方向的学者和学术灵感相互碰撞,迸发出更多的可能性。 


PaperWeekly 鼓励高校实验室或个人,在我们的平台上分享各类优质内容,可以是最新论文解读,也可以是学习心得技术干货。我们的目的只有一个,让知识真正流动起来。


📝 来稿标准:

• 稿件确系个人原创作品,来稿需注明作者个人信息(姓名+学校/工作单位+学历/职位+研究方向) 

• 如果文章并非首发,请在投稿时提醒并附上所有已发布链接 

• PaperWeekly 默认每篇文章都是首发,均会添加“原创”标志


📬 投稿邮箱:

• 投稿邮箱:hr@paperweekly.site 

• 所有文章配图,请单独在附件中发送 

• 请留下即时联系方式(微信或手机),以便我们在编辑发布时和作者沟通




🔍


现在,在「知乎」也能找到我们了

进入知乎首页搜索「PaperWeekly」

点击「关注」订阅我们的专栏吧



关于PaperWeekly


PaperWeekly 是一个推荐、解读、讨论、报道人工智能前沿论文成果的学术平台。如果你研究或从事 AI 领域,欢迎在公众号后台点击「交流群」,小助手将把你带入 PaperWeekly 的交流群里。



登录查看更多
2

相关内容

【KDD 2020】基于互信息最大化的多知识图谱语义融合
专知会员服务
43+阅读 · 2020年9月7日
零样本文本分类,Zero-Shot Learning for Text Classification
专知会员服务
97+阅读 · 2020年5月31日
专知会员服务
55+阅读 · 2020年3月16日
【Nature论文】深度网络中的梯度下降复杂度控制
专知会员服务
41+阅读 · 2020年3月9日
求解稀疏优化问题——半光滑牛顿方法
极市平台
50+阅读 · 2019年11月30日
标签间相关性在多标签分类问题中的应用
人工智能前沿讲习班
23+阅读 · 2019年6月5日
再谈人脸识别损失函数综述
人工智能前沿讲习班
14+阅读 · 2019年5月7日
被忽略的Focal Loss变种
极市平台
29+阅读 · 2019年4月19日
目标检测小tricks之样本不均衡处理
PaperWeekly
49+阅读 · 2019年4月5日
人脸识别损失函数综述(附开源实现)
极市平台
29+阅读 · 2019年3月12日
从最优化的角度看待 Softmax 损失函数
极市平台
31+阅读 · 2019年2月21日
深度学习训练数据不平衡问题,怎么解决?
AI研习社
7+阅读 · 2018年7月3日
何恺明大神的「Focal Loss」,如何更好地理解?
PaperWeekly
10+阅读 · 2017年12月28日
Arxiv
38+阅读 · 2020年3月10日
Learning Discriminative Model Prediction for Tracking
Learning Embedding Adaptation for Few-Shot Learning
Arxiv
17+阅读 · 2018年12月10日
Arxiv
5+阅读 · 2018年1月30日
Arxiv
7+阅读 · 2017年12月28日
VIP会员
相关资讯
求解稀疏优化问题——半光滑牛顿方法
极市平台
50+阅读 · 2019年11月30日
标签间相关性在多标签分类问题中的应用
人工智能前沿讲习班
23+阅读 · 2019年6月5日
再谈人脸识别损失函数综述
人工智能前沿讲习班
14+阅读 · 2019年5月7日
被忽略的Focal Loss变种
极市平台
29+阅读 · 2019年4月19日
目标检测小tricks之样本不均衡处理
PaperWeekly
49+阅读 · 2019年4月5日
人脸识别损失函数综述(附开源实现)
极市平台
29+阅读 · 2019年3月12日
从最优化的角度看待 Softmax 损失函数
极市平台
31+阅读 · 2019年2月21日
深度学习训练数据不平衡问题,怎么解决?
AI研习社
7+阅读 · 2018年7月3日
何恺明大神的「Focal Loss」,如何更好地理解?
PaperWeekly
10+阅读 · 2017年12月28日
Top
微信扫码咨询专知VIP会员