谷歌大脑提出“洗发水”二阶优化算法,Transformer训练时间减少40%,Jeff Dean点赞

2020 年 3 月 26 日 量子位
晓查 发自 凹非寺 
量子位 报道 | 公众号 QbitAI

机器学习的优化步骤,目前都是一阶方法主导。

无论是SGD还是Adam,此类优化算法在都是计算损失函数的一阶导数——梯度,然后按照某种规定的方式让权重随梯度下滑方向迭代。

其实二阶梯度会有更好的特性,因为它是计算梯度的导数,能够更快地找到最合适的下降方向和速度。

然而出于计算量和存储成本的考虑,二阶优化算法很少用到。

最近,谷歌大脑提出了一种新的二阶预处理方法,带来很大改进,优于SGD、Adam和AdaGrad等一阶算法,缩短了神经网络的训练时间。

它在Transformer训练任务中比任何一阶方法都快得多,而且能达到相同甚至更高的精度。连Jeff Dean也不禁在Twitter上点赞。

“洗发水”算法

这篇文章是对之前一种二阶方法洗发水算法(Shampoo algorithm)做的实用化改进。

为何叫“洗发水算法”?其实是对此类算法的一种幽默称呼。洗发水的广告词一般是“搓揉、冲洗、重复”,表示简单重复式的无限循环,最后导致洗发水用尽(out of bottle)。

而这种算法用于机器学习优化,最早来自于本文通讯作者Yoram Singer在2018年被ICML收录的一篇文章Shampoo: Preconditioned Stochastic Tensor Optimization

洗发水算法需要跟踪2个预条件算子(Preconditioner)的统计数值Lt和Rt

然后计算这2个预条件算子的四次根再求逆。将这两个矩阵分别左乘和右乘梯度向量,迭代出t+1步的梯度再由以下公式得出:

上述过程像不像一种简单重复,所以被作者自称为“洗发水”。

2018年的那篇论文更侧重于理论解释,然而就是如此简单的“洗头”步骤实际应用起来也会面临诸多困难。

这一步中最大的计算量来自于Lt-1/4和Rt-1/4计算这个两个数需要用到代价高昂的奇异值分解。

实际上,四次逆根不仅可以用SVD方法算出,也可以用舒尔-牛顿法(Schur-Newton algorithm)算出,而且随着矩阵维度的增大,后者节约的时间越来越可观。

舒尔-牛顿法可以在普通CPU上计算,不必消耗GPU、TPU这类神经网络加速器的计算资源。

但即使是这样,计算矩阵根的逆仍然相当耗时。如果不解决这个问题,训练速度就不可能提高。

所以作者使用了异步计算的方法,并使用了TensorFlow中的Lingvo来对训练循环进行改进。

CPU负责收集和处理训练数据以及辅助活动,例如检查点和训练状态摘要。而在GPU、TPU等加速器运行训练循环时通常处于空闲或低利用率状态,并自动提供双精度计算。

这使它们成为计算预条件算子的理想选择,而不会增加训练消耗的资源。

使用异步计算

他们在每一步中都计算所有张量的预条件算子,但是预处理后的梯度却是每N步计算一次,并交由CPU处理。

这期间,GPU或TPU依然在计算,过去的预条件算子在训练过程中会一直使用,直到获得更新后的预训练算子为止。

计算过程像流水线一样,并且异步运行而不会阻塞训练循环。结果是,洗发水算法中最难计算的步骤几乎没有增加总的训练时间。

仅有这些还不够,作者对洗发水算法又做了几点改进,使它可以适应大型模型的训练。包括解耦步长大小和方向、预处理大型张量还有将大型张量划分成多个块。

最高提速67%

在WMT’14英语到法语翻译的Transformer训练任务中,该算法实现了1.67倍的加速,将时间减少了40%。


洗发水算法在和Adam或AdaGrad精度相同的情况下,只需后两者实现了约一半的相同的精度AdaGrad或亚当许多步骤,而且对学习率的宽容度比AdaGrad高。

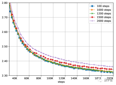
之前异步计算中的N是一个可调参数,决定了训练的计算量,N越大,计算量越小。当然N也会对结果造成影响。我们需要在训练过程的性能和结果的质量之间做出权衡。

实验表明,这种方法可以承受多达1200个步骤的延迟,而不会造成任何明显的质量损失。


洗发水也可以用在图像分类任务中。

作者还在ImageNet-2012数据集上训练了ResNet-50模型,结果比带动量的SGD收敛更快,但是训练损失与SGD相近,但是在测试集上的效果不如后者。


至于在泛化能力上的劣势,洗发水算法还有待进一步的改进。

论文地址:

https://arxiv.org/abs/2002.09018

https://arxiv.org/abs/1802.09568

作者系网易新闻·网易号“各有态度”签约作者


如何关注、学习、用好人工智能? 

每个工作日,量子位AI内参精选全球科技和研究最新动态,汇总新技术、新产品和新应用,梳理当日最热行业趋势和政策,搜索有价值的论文、教程、研究等。

同时,AI内参群为大家提供了交流和分享的平台,更好地满足大家获取AI资讯、学习AI技术的需求。扫码即可订阅:

了解AI发展现状,抓住行业发展机遇

AI社群 | 与优秀的人交流


量子位 QbitAI · 头条号签约作者


վ'ᴗ' ի 追踪AI技术和产品新动态


喜欢就点「在看」吧 ! 



登录查看更多
0

相关内容

优化算法是一种根据概率按照固定步骤寻求问题的最优解的过程。与常见的排序算法、寻路算法不同的是,优化算法不具备等幂性,是一种概率算法
[ICML-Google]先宽后窄:对深度薄网络的有效训练
专知会员服务
36+阅读 · 2020年7月5日
自回归模型:PixelCNN
专知会员服务
27+阅读 · 2020年3月21日
专知会员服务
45+阅读 · 2020年3月6日
谷歌机器学习速成课程中文版pdf
专知会员服务
147+阅读 · 2019年12月4日
免费!Google Colab现已支持英伟达T4 GPU
新智元
5+阅读 · 2019年4月25日
3分钟看懂史上最强NLP模型BERT
机器学习算法与Python学习
8+阅读 · 2019年2月27日
Transformer-XL:释放注意力模型的潜力
谷歌开发者
31+阅读 · 2019年2月19日
CMU、谷歌提出Transformer-XL:学习超长上下文关系
机器之心
9+阅读 · 2019年1月18日
Google:数据并行对神经网络训练用时的影响
干货|代码原理教你搞懂SGD随机梯度下降、BGD、MBGD
机器学习研究会
12+阅读 · 2017年11月25日
EKF常用于目标跟踪系统的扩展卡尔曼滤波器
无人机
10+阅读 · 2017年7月25日
How to Fine-Tune BERT for Text Classification?
Arxiv
13+阅读 · 2019年5月14日
Arxiv
4+阅读 · 2018年10月5日
Arxiv
7+阅读 · 2018年3月12日
VIP会员
相关资讯
免费!Google Colab现已支持英伟达T4 GPU
新智元
5+阅读 · 2019年4月25日
3分钟看懂史上最强NLP模型BERT
机器学习算法与Python学习
8+阅读 · 2019年2月27日
Transformer-XL:释放注意力模型的潜力
谷歌开发者
31+阅读 · 2019年2月19日
CMU、谷歌提出Transformer-XL:学习超长上下文关系
机器之心
9+阅读 · 2019年1月18日
Google:数据并行对神经网络训练用时的影响
干货|代码原理教你搞懂SGD随机梯度下降、BGD、MBGD
机器学习研究会
12+阅读 · 2017年11月25日
EKF常用于目标跟踪系统的扩展卡尔曼滤波器
无人机
10+阅读 · 2017年7月25日
Top
微信扫码咨询专知VIP会员