学习二值编码只为高效的时尚套装推荐

2020 年 11 月 4 日 AINLP

题目: Learning Binary Code for Personalized Fashion Recommendation

会议: CVPR2019

论文: https://paperswithcode.com/paper/learning-binary-code-for-personalized-fashion

论文代码: https://github.com/lzcn/Fashion-Hash-Net

1 Motivation

随着以时尚为中心的社交网络和在线购物的兴起,数以百万计的用户共享并发布与时尚相关的日常活动。社区中的用户每天创造大量的时尚套装,因此从这些海量数据集中挖掘理想的服装非常具有挑战性,但对于这些在线时尚社区的发展至关重要。与此同时,每种服装类别中的衣服数量均随项目数量呈指数增长。存储和检索效率对于如今的时尚推荐系统也是至关重要的。基于这两项挑战:推荐性能和推荐效率,作者提出了一个集效率和性能为一体的个性化时尚推荐模型。

2 Model

下图为论文所提模型的整体框架图,其中有三个重要模块:1)用来提取特征的特征网络(Feature network)2)学习哈希码的类型依赖的哈希模块(Hashing modules)3)预测偏好分数的打分模块(The matching block)。

模型的输入为用户的one-hot编码和图片特征,图片特征通过卷积神经网络来提取;哈希模块是两层全连层后加了一个符号函数;用户的编码器是一层全连层。

2.1 Matching block

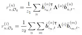
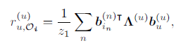
由于推荐场景为时尚套装推荐,因此进行推荐时,不仅需要考虑一个时尚套装内物品的兼容性(比如推荐时,在一个套装内包含两件上衣就很不合理)同时还要考虑用户对物品的偏好。因此,基于这一直觉,用户 对套装 预测分数为:其中:第一项为用来建模用户对物品的偏好程度第二项为建模物品之间的兼容性。 为对角矩阵, 分别为物品和用户的哈希码, 为用于归一化的常数,参数 用来平衡两项的权重。

2.2 Learning to Hash

由于离散限制,直接优化哈希码较为困难,因此,我们将上述公式改写为其中:通过控制 的大小,当优化结束时, 逐渐收敛于二进制码

2.3 Objective Function

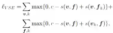
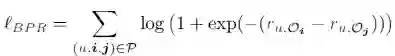
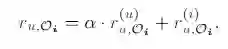
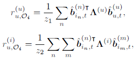
除了图片之外,提供语义信息的文本描述对于兼容性建模也是非常有用的,作者使用和图片同样的方式将文本信息转换为二进制码,并得到预测分数。文中用 分别表示来自不同模块的二进制码,其中 表示视觉信息, 表示文本信息。因此,模型最终预测用户 对套装 的偏好分数为:作者采用BPR损失来学习模型参数:其中同时,作者认为对于同样的物品,其视觉特征和文本特征应该保持一致,所以作者在整体的模型上添加了如下限制:其中 为同一个物品的视觉和文本特征, 为不同物品的视觉和文本特征。因此,模型的损失函数为:

3 Experiments

3.1 Datasets

由于现有的数据集要么太小,要么缺少用户信息,都不适用于个性化时尚推荐场景,因此作者从Polyvore网站上收集了一个新数据集,数据集信息如表1所示:对于负样本的选取:1)物品的随机组合2)其他用户正样本的随机采样

3.2 Experimental Results

通过实验对比发现,论文提出的方法相比其他方法在AUC上有6.6%-12.1%的提升,NDCG有了19.56%-26.56%的提升。为了可视化排序质量,作者给出了三个用户Top10的推荐套装,发现论文所提方法优于现有方法。为了验证用户对于物品的偏好和物品之间的兼容性这两组件是否对于模型性能提升有帮助,作者进行了退化实验,如表6所示。实验发现所有的退化模型相比论文提出的完整的模型性能都要差,说明这两组件缺一不可。

(更多细节可参考原文)

小结

在这项工作中,作者提出了如何利用哈希技术来进行高效的个性化时尚套装的推荐。通过大量的实验,展示了论文所提模型的性能,即使是利用了简单的框架并且用户和物品的特征均为哈希码。


由于微信平台算法改版,公号内容将不再以时间排序展示,如果大家想第一时间看到我们的推送,强烈建议星标我们和给我们多点点【在看】。星标具体步骤为:

(1)点击页面最上方"AINLP",进入公众号主页。

(2)点击右上角的小点点,在弹出页面点击“设为星标”,就可以啦。

感谢支持,比心

欢迎加入推荐系统交流群
进群请添加AINLP小助手微信 AINLPer(id: ainlper),备注推荐系统

推荐阅读

这个NLP工具,玩得根本停不下来

征稿启示| 200元稿费+5000DBC(价值20个小时GPU算力)

完结撒花!李宏毅老师深度学习与人类语言处理课程视频及课件(附下载)

从数据到模型,你可能需要1篇详实的pytorch踩坑指南

如何让Bert在finetune小数据集时更“稳”一点

模型压缩实践系列之——bert-of-theseus,一个非常亲民的bert压缩方法

文本自动摘要任务的“不完全”心得总结番外篇——submodular函数优化

Node2Vec 论文+代码笔记

模型压缩实践收尾篇——模型蒸馏以及其他一些技巧实践小结

中文命名实体识别工具(NER)哪家强?

学自然语言处理,其实更应该学好英语

斯坦福大学NLP组Python深度学习自然语言处理工具Stanza试用

关于AINLP

AINLP 是一个有趣有AI的自然语言处理社区,专注于 AI、NLP、机器学习、深度学习、推荐算法等相关技术的分享,主题包括文本摘要、智能问答、聊天机器人、机器翻译、自动生成、知识图谱、预训练模型、推荐系统、计算广告、招聘信息、求职经验分享等,欢迎关注!加技术交流群请添加AINLPer(id:ainlper),备注工作/研究方向+加群目的。


阅读至此了,分享、点赞、在看三选一吧🙏

登录查看更多
0

相关内容

专知会员服务
38+阅读 · 2020年11月24日
【KDD2020】 解决基于图神经网络的会话推荐中的信息损失
专知会员服务
32+阅读 · 2020年10月29日
【KDD2020】 半监督迁移协同过滤推荐
专知会员服务
20+阅读 · 2020年10月21日
专知会员服务
39+阅读 · 2020年10月15日
专知会员服务
23+阅读 · 2020年9月8日
个性化推荐系统技术进展
专知会员服务
66+阅读 · 2020年8月15日
【SIGIR 2020】 基于协同注意力机制的知识增强推荐模型
专知会员服务
91+阅读 · 2020年7月23日
【SIGIR2020】LightGCN: 简化和增强图卷积网络推荐
专知会员服务
73+阅读 · 2020年6月1日
推荐召回算法之深度召回模型串讲
AINLP
22+阅读 · 2019年6月14日
基于二进制哈希编码快速学习的快速图像检索
炼数成金订阅号
8+阅读 · 2018年5月17日
赛尔推荐 | 第5期
哈工大SCIR
13+阅读 · 2018年4月4日
论文 | 基于RNN的在线多目标跟踪
七月在线实验室
31+阅读 · 2017年12月27日
图上的归纳表示学习
科技创新与创业
23+阅读 · 2017年11月9日
Arxiv
0+阅读 · 2021年1月27日
Meta-Learning to Cluster
Arxiv
18+阅读 · 2019年10月30日
How to Fine-Tune BERT for Text Classification?
Arxiv
13+阅读 · 2019年5月14日
Arxiv
5+阅读 · 2018年3月6日
VIP会员
相关VIP内容
专知会员服务
38+阅读 · 2020年11月24日
【KDD2020】 解决基于图神经网络的会话推荐中的信息损失
专知会员服务
32+阅读 · 2020年10月29日
【KDD2020】 半监督迁移协同过滤推荐
专知会员服务
20+阅读 · 2020年10月21日
专知会员服务
39+阅读 · 2020年10月15日
专知会员服务
23+阅读 · 2020年9月8日
个性化推荐系统技术进展
专知会员服务
66+阅读 · 2020年8月15日
【SIGIR 2020】 基于协同注意力机制的知识增强推荐模型
专知会员服务
91+阅读 · 2020年7月23日
【SIGIR2020】LightGCN: 简化和增强图卷积网络推荐
专知会员服务
73+阅读 · 2020年6月1日
相关资讯
推荐召回算法之深度召回模型串讲
AINLP
22+阅读 · 2019年6月14日
基于二进制哈希编码快速学习的快速图像检索
炼数成金订阅号
8+阅读 · 2018年5月17日
赛尔推荐 | 第5期
哈工大SCIR
13+阅读 · 2018年4月4日
论文 | 基于RNN的在线多目标跟踪
七月在线实验室
31+阅读 · 2017年12月27日
图上的归纳表示学习
科技创新与创业
23+阅读 · 2017年11月9日
Top
微信扫码咨询专知VIP会员