教科书上的LDA为什么长这样?

2018 年 8 月 30 日 PaperWeekly


作者丨DeAlVe

学校丨某211硕士生

研究方向丨模式识别与机器学习


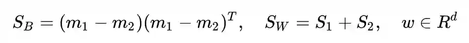
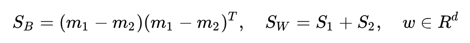
线性判别分析(Linear Discriminant Analysis, LDA)是一种有监督降维方法,有关机器学习的书上一定少不了对 PCA 和 LDA 这两个算法的介绍。LDA 的标准建模形式是这样的(这里以两类版本为例,文章会在几个关键点上讨论多类情况):



其中,是类间散布矩阵,是类内散布矩阵, w 是投影直线:



怎么样,一定非常熟悉吧,经典的 LDA 就是长这个样子的。这个式子的目标也十分直观:将两类样本投影到一条直线上,使得投影后的类间散布矩阵与类内散布矩阵的比值最大。


三个加粗的词隐含着三个问题:


1. 为什么是类间散布矩阵呢?直接均值之差 m1-m2 不是更符合直觉吗?这样求出来的解和原来一样吗? 


2. 为什么是投影到直线,而不是投影到超平面?PCA 是把 d 维样本投影到 c 维 (c<d),LDA 为什么不能也投影到 c 维,而是直接投影到 1 维呢?同样地,在 K 类 LDA 中,为什么书上写的都是投影到 K-1 维,再高一点不行吗?这是必然吗? 


3. 为什么是类间散布与类内散布的比值呢?差值不行吗? 


这篇文章就围绕这三个问题展开。我们先回顾一下经典 LDA 的求解,然后顺次讲解分析这三个问题。


回顾经典LDA


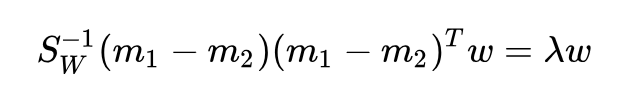
原问题等价于这个形式:



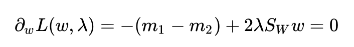
然后就可以用拉格朗日乘子法了:



求导并令其为 0:



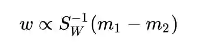
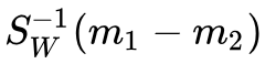
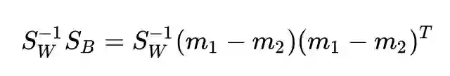
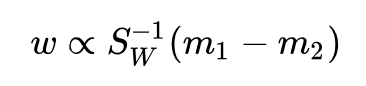
得到解:



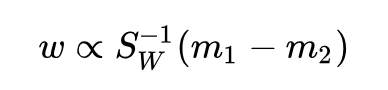
对矩阵进行特征值分解就可以得到 w。但是有更简单的解法:



而其中是一个标量,所以和 λw 共线,得到:



求解完毕。非常优雅,不愧是教科书级别的经典算法,整个求解一气呵成,标准的拉格朗日乘子法。但是求解中还是用到了一个小技巧:是标量,从而可以免去特征值分解的麻烦。


那么,我们能不能再贪心一点,找到一种连这个小技巧都不需要的求解方法呢?答案是可以,上面的问题在下一节中就能得到解决。


类间散布 & 均值之差


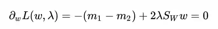
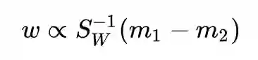
我们不用类内散布矩阵了,改用均值之差 m1-m2 这个更符合直觉的东西:



还是用拉格朗日乘子法:



求导并令其为 0:



得到解:



怎么样,是不是求解更简单了呢?不需要任何技巧,一步一步下来就好了。


为什么说均值之差更符合直觉呢?大家想啊,LDA 的目的是让投影后的两类之间离得更远,类内离得更近。说到类内离得更近能想到的最直接的方法就是让类内方差最小,这正是类内散布矩阵;说到类间离得更远能想到的最直接的方法肯定是让均值之差最大,而不是均值之差与自己的克罗内克积这个奇怪的东西最大。


那么经典 LDA 为什么会用类间散布矩阵呢?我个人认为是这样的表达式看起来更加优雅:分子分母是齐次的,并且这个东西恰好就是广义瑞利商:



虽然经典 LDA 求解没有上面这个方法直接,但是问题表述更加规范,所用到的技巧也非常简单,不会给是使用者带来困扰,所以 LDA 最终采用的就是类间散布矩阵了吧。


直线 & 超平面


上面那个问题只算是小打小闹,没有太大的意义,但是这个问题就很有意义了:LDA 为什么直接投影到直线(一维),而不能像 PCA 一样投影到超平面(多维)呢? 我们试试不就完了。 


假设将样本投影到上,其中每一个 wi 都是经典 LDA 中的 w 。也就相当于我们不是把样本投影到一条直线上,而是投影到 c 条直线上,也就相当于投影到了超平面上。投影后的样本坐标为:



所以样本的投影过程就是:



那么,均值的投影过程也是这样:



投影后的均值之差的二范数:



为什么不用第一行的向量内积而偏要用第二行的迹运算呢?因为这样可以拼凑出类间散布来,和经典 LDA 保持形式的一致。


回顾一下经典 LDA 的形式:



现在我们有了,还缺个约束,类比一下就可以得到了:



实际上,约束也可以选择成,这两个约束实际上都是在限制 W 的解空间,得出来的解是等价的,这两个约束有什么区别呢?我只发现了一点: 


回想是 c 条投影直线,为了确保向这 c 条直线投影能等价于向 c 维子空间投影,我们需要保证 c 条直线是线性无关的,即  rank(W) =c。看一下约束:



右边是秩为 c 的单位矩阵,因为矩阵乘积的秩不大于每一个矩阵的秩,所以左边这三个矩阵的秩都要不小于 c,因此我们得到了 rank(W) = c。也就是说,能够保证我们在向一个 c 维子空间投影。而约束中没有显式地表达这一点


我对矩阵的理解还不够深入,不知道是否也隐含了对秩的约束,所以为了保险起见,我选择了带有显式秩约束的,这样就得到了我们的高维投影版 LDA:



下面来求解这个问题。还是拉格朗日乘子法:



求导并令其为 0:



得到了:



在大部分情况下,一些协方差矩阵的和是可逆的。即使不可逆,上面这个也可以用广义特征值问题的方法来求解,但是这里方便起见我们认为可逆:



我们只要对进行特征值分解,就可以得到 d 个特征向量了,挑出最大特征值对应的 c 个特征向量来组成 W,我们不就得到向 c 维子空间的投影了吗?


真的是这样吗?


不是这样的。诚然,我们可以选出 c 个特征向量,但是其中只有 1 个特征向量真正是我们想要的,另外 c-1 个没有意义。


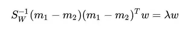
观察:



发现了吗?等式右边的 (m1-m2) 是一个向量,换句话说,是一个秩为 1 的矩阵。那么,这个乘积的秩也不能大于 1,并且它不是 0 矩阵,所以:



秩为 1 的矩阵只有 1 个非零特征值,也只有 1 个非零特征值对应的特征向量 w。


可能有人会问了,那不是还有零特征值对应的特征向量吗,用它们不行吗?


不行。来看一下目标函数:



我们刚才得到的最优性条件:



所以目标函数为:



而我们的 W 只能保证 λ1, λ2, ..., λd 中的一个非零,无论我们怎么选取剩下的 c-1 个 w,目标函数也不会再增大了,因为唯一一个非零特征值对应的特征向量已经被选走了。 


所以,两类 LDA 只能向一条直线投影。 


这里顺便解释一下 K 类 LDA 为什么只能投影到 K-1 维,其实道理是一样的。K 类 LDA 的类间散布矩阵是:



可以看出,是 K 个秩一矩阵的和(因为 mk-m 是秩一的向量),所以它的秩最大为 K。并且,所以这 K 项中有一项可以被线性表出。所以,的秩最大为 K-1。也即:



只有 K-1 个非零特征值。所以,K 类 LDA 最高只能投影到 K-1 维。


咦?刚才第三个问题怎么提的来着,可不可以不用比值用差值,用差值的话会不会解决这个投影维数的限制呢?


比值 & 差值


经典 LDA 的目标函数是投影后的类间散布与类内散布的比值,我们很自然地就会想,为什么非得用比值呢,差值有什么不妥吗? 再试试不就完了。 


注意,这一节我们不用向量 w,而使用矩阵 W 来讨论,这也就意味着我们实际上在同时讨论二类 LDA 和多类 LDA,只要把换成对应的就好了。



注意到可以通过放缩 W 来得到任意大的目标函数,所以我们要对 W 的规模进行限制,同时也进行秩限制:



也就得到了差值版的 LDA:



依然拉格朗日乘子法:



求导并令其为 0:



得到了:



,有:



可以得到:



若括号内的东西可逆,则上式可以写为:



注意到, 的秩不大于 K-1,说明等号左边的秩不大于 K-1,那么等号右边的秩也不大于 K-1,即:



所以我们还是会遇到秩不足,无法求出 K-1 个以上的非零特征值和对应的特征向量。这样还不够,我们还需要证明的一点是,新的目标函数在零特征值对应的特征向量下依然不会增加。


目标函数(稍加变形)为:



再利用刚才我们得到的最优性条件(稍加变形):



所以目标函数为:



结论没有变化,新的目标函数依然无法在零特征值的特征向量下增大 


综合新矩阵依然秩不足零特征值依然对新目标函数无贡献这两点,我们可以得到一个结论:用差值代替比值也是可以求解的,但是我们不会因此受益。 


既然比值和差值算出来的解性质都一样,那么为什么经典 LDA 采用的是比值而不是差值呢? 


我个人认为,这可能是因为比值算出来的解还有别的直觉解释,而差值的可能没有,所以显得更优雅一些。什么直觉解释呢? 


在二分类问题下,经典 LDA 是最小平方误差准则的一个特例。若让第一类的样本的输出值等于 N/N1 ,第二类样本的输出值等于 -N/N2 , N 代表相应类样本的数量,然后用最小平方误差准则求解这个模型,得到的解恰好是(用比值的)LDA 的解。这个部分 PRML 上有讲解。


总结


这篇文章针对教科书上 LDA 的目标函数抛出了三个问题,并做了相应解答,在这个过程中一步一步深入理解 LDA。


第一个问题:可不可以用均值之差而不是类间散布?


答案:可以,这样做更符合直觉,并且更容易求解。但是采用类间散布的话可以把 LDA 的目标函数表达成广义瑞利商,并且上下齐次更加合理。可能是因为这些原因,经典 LDA 最终选择了类间散布。


第二个问题:可不可以把 K 类 LDA 投影到大于 K-1 维的子空间中?


答案:不可以,因为类间散布矩阵的秩不足。K 类 LDA 只能找到 K-1 个使目标函数增大的特征值对应的特征向量,即使选择了其他特征向量,我们也无法因此受益。


第三个问题:可不可以用类间散布与类内散布的差值,而不是比值?


答案:可以,在新准则下可以得到新的最优解,但是我们无法因此受益,K 类 LDA 还是只能投影到 K-1 维空间中。差值版 LDA 与比值版 LDA 相比还缺少了一个直觉解释,可能是因为这些原因,经典 LDA 最终选择了比值。


所以,教科书版 LDA 如此经典是有原因的,它在各个方面符合了人们的直觉,本文针对它提出的三个问题都没有充分的理由驳倒它,经典果然是经典。




点击以下标题查看其他相关文章: 





#投 稿 通 道#

 让你的论文被更多人看到 



如何才能让更多的优质内容以更短路径到达读者群体,缩短读者寻找优质内容的成本呢? 答案就是:你不认识的人。


总有一些你不认识的人,知道你想知道的东西。PaperWeekly 或许可以成为一座桥梁,促使不同背景、不同方向的学者和学术灵感相互碰撞,迸发出更多的可能性。 


PaperWeekly 鼓励高校实验室或个人,在我们的平台上分享各类优质内容,可以是最新论文解读,也可以是学习心得技术干货。我们的目的只有一个,让知识真正流动起来。


📝 来稿标准:

• 稿件确系个人原创作品,来稿需注明作者个人信息(姓名+学校/工作单位+学历/职位+研究方向) 

• 如果文章并非首发,请在投稿时提醒并附上所有已发布链接 

• PaperWeekly 默认每篇文章都是首发,均会添加“原创”标志


📬 投稿邮箱:

• 投稿邮箱:hr@paperweekly.site 

• 所有文章配图,请单独在附件中发送 

• 请留下即时联系方式(微信或手机),以便我们在编辑发布时和作者沟通




🔍


现在,在「知乎」也能找到我们了

进入知乎首页搜索「PaperWeekly」

点击「关注」订阅我们的专栏吧



关于PaperWeekly


PaperWeekly 是一个推荐、解读、讨论、报道人工智能前沿论文成果的学术平台。如果你研究或从事 AI 领域,欢迎在公众号后台点击「交流群」,小助手将把你带入 PaperWeekly 的交流群里。


▽ 点击 | 阅读原文 | 获取最新论文推荐

登录查看更多
1

相关内容

【实用书】学习用Python编写代码进行数据分析,103页pdf
专知会员服务
198+阅读 · 2020年6月29日
【实用书】Python机器学习Scikit-Learn应用指南,247页pdf
专知会员服务
270+阅读 · 2020年6月10日
【干货书】用于概率、统计和机器学习的Python,288页pdf
专知会员服务
291+阅读 · 2020年6月3日
【干货书】流畅Python,766页pdf,中英文版
专知会员服务
227+阅读 · 2020年3月22日
机器学习速查手册,135页pdf
专知会员服务
345+阅读 · 2020年3月15日
合集 | 更好的解释(数学篇) 1~12
遇见数学
31+阅读 · 2018年10月11日
【机器学习数学基础】动图解释泰勒级数(一)
机器学习研究会
6+阅读 · 2018年2月25日
机器学习(30)之线性判别分析(LDA)原理详解
机器学习算法与Python学习
11+阅读 · 2017年12月6日
机器学习(29)之奇异值分解SVD原理与应用详解
机器学习算法与Python学习
6+阅读 · 2017年11月30日
机器学习(28)【降维】之sklearn中PCA库讲解与实战
机器学习算法与Python学习
8+阅读 · 2017年11月27日
机器学习(27)【降维】之主成分分析(PCA)详解
机器学习算法与Python学习
9+阅读 · 2017年11月22日
【直观详解】什么是PCA、SVD
机器学习研究会
5+阅读 · 2017年11月10日
【直观详解】信息熵、交叉熵和相对熵
机器学习研究会
10+阅读 · 2017年11月7日
手把手教你用LDA特征选择
AI研习社
12+阅读 · 2017年8月21日
PCA的基本数学原理
算法与数学之美
11+阅读 · 2017年8月8日
Arxiv
7+阅读 · 2018年3月21日
Arxiv
3+阅读 · 2018年3月13日
VIP会员
相关资讯
合集 | 更好的解释(数学篇) 1~12
遇见数学
31+阅读 · 2018年10月11日
【机器学习数学基础】动图解释泰勒级数(一)
机器学习研究会
6+阅读 · 2018年2月25日
机器学习(30)之线性判别分析(LDA)原理详解
机器学习算法与Python学习
11+阅读 · 2017年12月6日
机器学习(29)之奇异值分解SVD原理与应用详解
机器学习算法与Python学习
6+阅读 · 2017年11月30日
机器学习(28)【降维】之sklearn中PCA库讲解与实战
机器学习算法与Python学习
8+阅读 · 2017年11月27日
机器学习(27)【降维】之主成分分析(PCA)详解
机器学习算法与Python学习
9+阅读 · 2017年11月22日
【直观详解】什么是PCA、SVD
机器学习研究会
5+阅读 · 2017年11月10日
【直观详解】信息熵、交叉熵和相对熵
机器学习研究会
10+阅读 · 2017年11月7日
手把手教你用LDA特征选择
AI研习社
12+阅读 · 2017年8月21日
PCA的基本数学原理
算法与数学之美
11+阅读 · 2017年8月8日
Top
微信扫码咨询专知VIP会员