印度天才数学家拉马努金留下的3000+神奇公式,交给AI来「证明」!

2021 年 2 月 4 日 新智元



  新智元报道  

编辑:Q
【新智元导读】近日,《自然》杂志上发表了一个项目,有研究人员建立了一个AI算法项目 ,可以产生新的数学公式,且其中一些公式很难证明是否是正确的。这个项目以印度传奇数学家拉马努金(Srinivasa Ramanujan)命名。

 

2016年4月,著名投资人尤里·米尔纳 (Yuri Milner) 在自己家中举行了一场小规模的晚宴,到场的嘉宾包括Google CEO 皮查伊、创始人布林、Facebook CEO 扎克伯格及其他数十位硅谷领袖等。

 

米尔纳当晚放映了一部传记体电影——《知无涯者》,而影片讲述的正是传奇数学家拉马努金的一生。

 

 

据报道,宴会结束后,扎克伯格等人是红着眼眶走出来的,他们当即宣布将联手成立一项新基金,以纪念拉马努金。

 

 

拉马努金是二十世纪最传奇的数学家之一:他独立发现了近3900个数学公式和命题,几乎没受过正规的高等数学教育的他,却能凭直觉写出不平凡的定理和公式,且往往被证明是正确的。同时还留了世人很多自己的笔记,引发了后来的大量研究。

 

 

其中几个由他发现的神奇公式如下:

 

拉马努金圆周率公式:

 

 

拉马努金常数(几乎是一个整数):

 

 

拉马努金连根式:

 

 

拉马努金余弦立方根公式:

 

 

正是这些美妙的数学公式,让激起了研究人员的兴趣。

 

设计 Ramanujan 机器的目的是产生计算重要数学常数(如 π 或 e)数字的新方法,其中许多常数是无理数,这意味着它们有无数个不重复的小数。

 

像 e 和 π 这样的基本常数在不同的科学领域无处不在,包括物理学、生物学、化学、几何学和抽象数学。然而,几个世纪以来,与基本常数有关的新的数学公式很少,而且通常是凭借数学直觉或创造力偶尔发现的。

 

Ramanujan 机器可以从众所周知的公式开始计算数字,例如 π 的前几千位数字。从这些数据中,该算法试图预测一个新的表达式,这个表达也可以做同样的计算得到相同的结果。

 

 

这个过程会产生一个很好的猜测(conjecture),然后就要靠人类数学家来证明这个表达式是否能够正确地计算出整个数字。

 

 

该团队在2019年开始就在该项目的网站上公开这些推测,研究人员已经证明了其中的一些猜测是正确的。

 

但有些问题仍有待解决,其中一个是关于 Apery 常数的问题,Apery 常数在物理学中有重要应用。最后一个结果,也是最令人兴奋的一个,但是没有人知道如何证明」,物理学家 Ido Kaminer 说,但是算法自动创造的推测可以指引数学家们找到人们不知道存在的数学分支之间的联系

 

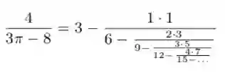
连分数(Continued fractions)

 

拉马努金机器目前的应用还十分有限: 到目前为止,算法只能生成一个特定类型的式子,称为连分数。这些分数表示一个数字为一个无限的分数序列,这些分数嵌套在彼此的分母中。

 

团队人员已经尝试了一系列算法来寻找连分数,并将它们应用到各种概念上重要的数字上。其中一个是加泰罗尼亚常数(Catalan’s constant),这个数字起源于十九世纪比利时数学家欧仁 · 加泰罗尼亚的研究。

 

 

加泰罗尼亚常数大约为0.916,但它是如此神秘,以至于没有人知道它是否是有理的,也就是说它是否可以表示为两个整数的分数。

 

数学家们能做的最好的事情就是证明它的非理性指数」——用有理数来近似一个数字的难度的度量,这个值至少是0.554。证明加泰罗尼亚常数是无理的等价于证明其非理性指数大于1。而由拉马努金机器生成的公式,使卡米纳的团队在最好的人类结果上略有改善,使指数达到0.567。

 

增加复杂性(Increasing complexity)


自动生成猜测并不是计算机帮助推动数学发展的唯一领域。

 

计算机辅助计算在几个引人注目的结果的证明中发挥了关键作用。最近,一些数学家在人工智能方面取得了进展,人工智能不仅能进行重复的计算,还能自己做出证明。另一个正在发展的领域是软件,它可以检查人类写的数学证明,并检查它是否正确。

 

「最终,人类将会被淘汰」,Zeilberger 说,他是证明自动化领域的先驱,并且帮助证实了 Ramanujan 机器的一些猜想,随着人工智能产生的数学的复杂性增加,数学家们将只能粗略地理解计算,他补充道。

 

不过,尽管计算机可能能够提出数学陈述,甚至证明它们是正确的,但是如果没有人类的干预,目前还不清楚它们是否能够区分深刻的,有趣的陈述,还是仅仅从技术上是正确的而已。

 

如果感兴趣的话,你可以在下面的链接中运行 Ramanujan 算法来发现新的数学猜想,如果能够证明是正确的,那么发现的新猜想将以你的名字命名!

 

 

参考链接:

http://www.ramanujanmachine.com/

Github项目链接:

https://github.com/AnonGit90210/RamanujanMachine



登录查看更多
0

相关内容

数学家是以研究或应用数学为职业的人。著名数学家有阿基米德、欧拉、高斯、伽罗华、黎曼、格罗腾迪克等。
【干货书】从初等问题看数学的本质,400页pdf
专知会员服务
65+阅读 · 2021年5月28日
【2021新书】线性与矩阵代数导论,492页pdf阐述
专知会员服务
102+阅读 · 2021年5月24日
【经典书】机器学习导论,234页pdf
专知会员服务
77+阅读 · 2021年4月20日
【经典书】信息论原理,774页pdf
专知会员服务
265+阅读 · 2021年3月22日
专知会员服务
121+阅读 · 2021年1月31日
【硬核书】矩阵代数:统计学的理论、计算和应用,664页pdf
如何学好数学?这有一份2021《数学学习路线图》请看下
【干货书】数值计算C编程,319页pdf,Numerical C
专知会员服务
72+阅读 · 2020年4月7日
数学家与艺术家:罗素
遇见数学
4+阅读 · 2019年6月12日
物理学家终于找到了一种拯救薛定谔猫的方法
中科院物理所
8+阅读 · 2019年6月10日
丘成桐:攻克物理难题的数学大师
科技导报
5+阅读 · 2018年7月23日
酒鬼漫步的数学——随机过程 | 张天蓉专栏
知识分子
10+阅读 · 2017年8月13日
Arxiv
0+阅读 · 2021年6月21日
VIP会员
相关VIP内容
【干货书】从初等问题看数学的本质,400页pdf
专知会员服务
65+阅读 · 2021年5月28日
【2021新书】线性与矩阵代数导论,492页pdf阐述
专知会员服务
102+阅读 · 2021年5月24日
【经典书】机器学习导论,234页pdf
专知会员服务
77+阅读 · 2021年4月20日
【经典书】信息论原理,774页pdf
专知会员服务
265+阅读 · 2021年3月22日
专知会员服务
121+阅读 · 2021年1月31日
【硬核书】矩阵代数:统计学的理论、计算和应用,664页pdf
如何学好数学?这有一份2021《数学学习路线图》请看下
【干货书】数值计算C编程,319页pdf,Numerical C
专知会员服务
72+阅读 · 2020年4月7日
Top
微信扫码咨询专知VIP会员