证伪:CNN中的图片平移不变性

2018 年 6 月 12 日 论智
来源:arXiv
编译:Bot

编者按:今天论智给大家带来的论文是希伯来大学的Aharon Azulay和Yair Weiss近期发表的Why do deep convolutional networks generalize so poorly to small image transformations? 这篇文章发现当小尺寸图像发生平移后,CNN会出现识别错误的现象,而且这一现象是普遍的。

摘要

通常我们认为深度CNN对图像的平移、形变具有不变性,但本文却揭示了这样一个现实:当图像在当前平面上平移几个像素后,现代CNN(如VGG16、ResNet50和InceptionResNetV2)的输出会发生巨大改变,而且图像越小,网络的识别性能越差;同时,网络的深度也会影响它的错误率。

论文通过研究表明,产生这个现象的主因是现代CNN体系结构没有遵循经典采样定理,无法保证通用性,而常用图像数据集的统计偏差也会使CNN无法学会其中的平移不变性。综上所述,CNN在物体识别上的泛化能力还比不上人类。

CNN的失误

深度卷积神经网络(CNN)对计算机视觉带来的革新是天翻地覆的,尤其是在物体识别领域。和其他机器学习算法一样,CNN成功的关键在于归纳偏差的方法,不同架构的选择影响着偏差的具体计算方式。在CNN中,卷积和池化这两个关键操作是由图像不变性驱动的,这意味如果我们对图像做位移、缩放、变形等操作,它们对网络提取特征没有影响。

但事实真的如此吗?

在上图中,左侧图像是模型的输入,右侧折线图是模型评分,使用的模型是InceptionResNet-V2 CNN。可以发现,作者在这里分别对图像做了平移、放大和微小形变。在最上方的输入中,他们只是将图像从左到右依次下移了一像素,就使模型评分出现了剧烈的波动;在中间的输入中,图像被依次放大,模型的评分也经历了直线下降和直线上升;而对于最下方的输入,这三张图是从BBC纪录片中选取的连续帧,它们在人类眼中是北极熊的自然运动姿态,但在CNN“眼中”却很不一样,模型评分同样遭遇“滑铁卢”。

为了找出导致CNN失误的特征,他们又从ImageNet验证集中随机选择了200幅图像,并把它们嵌入较大的图像中做系统性平移,由图像平移导致的空白区域已经用程序修补过了,在这个基础上,他们测试了VGG16、ResNet50和InceptionResNetV2三个现代CNN模型的评分,结果如下:

图A的纵坐标是200张图像,它用颜色深浅表示模型识别结果的好坏,其中非黑色彩表示模型存在能对转变后的图像正确分类的概率,全黑则表示完全无法正确分类。通过观察颜色变化我们可以发现,无论是VGG16、ResNet50还是InceptionResNetV2,它们在许多图片上都显示出了由浅到深的突然转变。

论文作者在这里引入了一种名为jaggedness的量化标准:模型预测准确率top-5类别中的图像,经历一次一像素平移就导致分类错误(也可以是准确率低一下子变成准确率高)。他们发现平移会大幅影响输出的图片占比28%。而如图B所示,相对于VGG16,ResNet50和InceptionResNetV2因为网络更深,它们的“jaggedness”水平更高。

那么,这是为什么呢?

对采样定理的忽略

CNN的上述失误是令人费解的。因为从直观上来看,如果网络中的所有层都是卷积的,那当网络对图像编码时,所有表征应该也都跟着一起被编码了。这些特征被池化层逐级筛选,最后提取出用于分类决策的终极特征,理论上来说,这些特征相对被编码的表征应该是不变的。所以问题在哪儿?

这篇论文提出的一个关键思想是CNN存在采样缺陷。现代CNN中普遍包含二次采样(subsampling)操作,它是我们常说的降采样层,也就是池化层、stride。它的本意是为了提高图像的平移不变性,同时减少参数,但它在平移性上的表现真的很一般。之前Simoncelli等人已经在论文Shiftable multiscale transforms中验证了二次采样在平移不变性上的失败,他们在文中说:

我们不能简单地把系统中的平移不变性寄希望于卷积和二次采样,输入信号的平移不意味着变换系数的简单平移,除非这个平移是每个二次采样因子的倍数。

考虑到现在CNN通常包含很多池化层,它们的二次采样因子会非常大,以InceptionResnetV2为例,这个模型的二次采样因子是45,所以它保证精确平移不变性的概率有多大?只有1/452

下面我们从计算角度看看其中的猫腻:

我们设r(x)是模型在图像x处获得的特征信号,如果把图像平移δ后,模型获得的还是同样的特征信号,那我们就称这个信号是“卷积”的。注意一点,这个定义已经包含输入图像进入filter提取特征信号等其他线性操作,但不包括二次采样和其他非线性操作。

观察

如果r(x)是卷积的,那么全局池化后得到的特征信号 r = ∑xr(x) 应该具有平移不变性。

证明

以下论证来自之前我们对“卷积”的定义。如果r(x)是图像x处的特征信号,而r2(x)是同一图像平移后的特征信号,那么 ∑xr(x) = ∑xr2(x) 成立,因为两者是平移前后的特征信号,是不变的。

定义

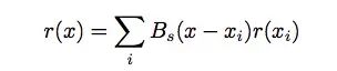
对于特征信号r(x)和二次采样因子s,如果信号中x处的任意输出x是采样网格的线性插值:

那么我们就认为r(x)是“可位移的”(shiftable)。因为参照之前图像位移的说法,既然采样后信号具有平移不变性,那原信号载体就是可以移动的。其中xi是二次采样因子s采样网格上的信号,Bs(x)是从采样中重建的r(x)基函数。

经典Shannon-Nyquist定理告诉我们,当且仅当采样频率是r(x)最高频率的两倍时,r(x)才可以位移。

论点

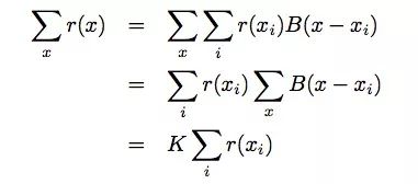
如果r(x)可以位移,那么采样网格全局池化后得到的最终特征信号 r = ∑ir(xi) 应该具有平移不变性。

证明

通过计算我们发现了这么一个事实:采样网格上的全局池化就相当于所有x的全局池化:

其中,K = ∑xB(x − xi)和K与xi无关。

而现代CNN的二次采样忽视了以上这些内容,所以平移不变性是难以保证的。

为什么CNN不能从数据中学习平移不变性?

虽然上一节论证了CNN在架构上就无法保证平移不变性,但为什么它就不能从大量数据里学到不变性呢?事实上,它确实能从数据中学到部分不变性,那么问题还出在哪儿?

论文的观点是数据集里的图像自带“摄影师偏差”,很可惜论文作者做出的解释很糟糕,一会儿讲分布,一会儿讲数据增强,非常没有说服力。但是这个观点确实值得关注,心理学领域曾有过关于“摄影师偏差”对人类视角影响的研究,虽然缺乏数据集论证,但很多人相信,同样的影响也发生在计算机视觉中。

这里我们引用Azulay和Weiss的两个更有说服力的点:

  • CIFAR-10和ImageNet的图片存在大量“摄影师偏差”,这使得神经网络无需学会真实的平移不变性。宏观来看,只要不是像素级别的编码,世界上就不存在两张完全一样的图像,所以神经网络是无法学到严格的平移不变性的,也不需要学。

  • 例如近几年提出的群卷积,它包含的filter数量比其他不变性架构更少,但代价是filter里参数更多,模型也更不灵活。如果数据集里存在“摄影师偏差”,那现有不变性架构里的参数是无法描述完整情况的,因此它们只会获得一个“模糊”的结果,而且缺乏灵活性,性能自然也比非不变性架构要差不少。

小结

虽然CNN在物体识别上已经取得了“超人”的成果,但这篇论文也算是个提醒:我们还不能对它过分自信,也不能对自己过分自信。随着技术发展越来越完善,文章中提及的这几个本质上的问题也变得越来越难以蒙混过关。

或许由它我们能引出一个更有趣的问题,如果人类尚且难以摆脱由视觉偏差带来的认知影响,那人类制造的系统、机器该如何超越人类意识,去了解真实世界。

论文地址:arxiv.org/pdf/1805.12177.pdf

登录查看更多
5

相关内容

【CVPR 2020-商汤】8比特数值也能训练卷积神经网络模型
专知会员服务
26+阅读 · 2020年5月7日
【CVPR2020-百度】用于视觉识别的门控信道变换
专知会员服务
13+阅读 · 2020年3月30日
图卷积神经网络蒸馏知识,Distillating Knowledge from GCN
专知会员服务
96+阅读 · 2020年3月25日
[综述]深度学习下的场景文本检测与识别
专知会员服务
78+阅读 · 2019年10月10日
卷积神经网络四种卷积类型
炼数成金订阅号
18+阅读 · 2019年4月16日
深度剖析卷积神经网络
云栖社区
7+阅读 · 2018年5月27日
讲透RCNN, Fast-RCNN, Faster-RCNN,将CNN用于目标检测
数据挖掘入门与实战
18+阅读 · 2018年4月20日
卷积网络循环网络结合-CNN+RNN
数据挖掘入门与实战
7+阅读 · 2018年2月11日
【CNN】一文读懂卷积神经网络CNN
产业智能官
18+阅读 · 2018年1月2日
如何利用深度学习识别千万张图片?
InfoQ
4+阅读 · 2017年12月30日
CNN、RNN在自动特征提取中的应用
乌镇智库
14+阅读 · 2017年8月4日
CNN之卷积层
机器学习算法与Python学习
8+阅读 · 2017年7月2日
Self-Attention Graph Pooling
Arxiv
5+阅读 · 2019年4月17日
Augmentation for small object detection
Arxiv
13+阅读 · 2019年2月19日
Arxiv
12+阅读 · 2019年1月24日
Two Stream 3D Semantic Scene Completion
Arxiv
4+阅读 · 2018年7月16日
Arxiv
7+阅读 · 2018年1月24日
VIP会员
相关资讯
卷积神经网络四种卷积类型
炼数成金订阅号
18+阅读 · 2019年4月16日
深度剖析卷积神经网络
云栖社区
7+阅读 · 2018年5月27日
讲透RCNN, Fast-RCNN, Faster-RCNN,将CNN用于目标检测
数据挖掘入门与实战
18+阅读 · 2018年4月20日
卷积网络循环网络结合-CNN+RNN
数据挖掘入门与实战
7+阅读 · 2018年2月11日
【CNN】一文读懂卷积神经网络CNN
产业智能官
18+阅读 · 2018年1月2日
如何利用深度学习识别千万张图片?
InfoQ
4+阅读 · 2017年12月30日
CNN、RNN在自动特征提取中的应用
乌镇智库
14+阅读 · 2017年8月4日
CNN之卷积层
机器学习算法与Python学习
8+阅读 · 2017年7月2日
相关论文
Self-Attention Graph Pooling
Arxiv
5+阅读 · 2019年4月17日
Augmentation for small object detection
Arxiv
13+阅读 · 2019年2月19日
Arxiv
12+阅读 · 2019年1月24日
Two Stream 3D Semantic Scene Completion
Arxiv
4+阅读 · 2018年7月16日
Arxiv
7+阅读 · 2018年1月24日
Top
微信扫码咨询专知VIP会员