O-GAN:简单修改,让GAN的判别器变成一个编码器!

2019 年 3 月 8 日 PaperWeekly


作者丨苏剑林

单位丨广州火焰信息科技有限公司

研究方向丨NLP,神经网络

个人主页丨kexue.fm


本文来给大家分享一下笔者最近的一个工作:通过简单地修改原来的 GAN 模型,就可以让判别器变成一个编码器,从而让 GAN 同时具备生成能力和编码能力,并且几乎不会增加训练成本。


这个新模型被称为 O-GAN(正交 GAN,即 Orthogonal Generative Adversarial Network),因为它是基于对判别器的正交分解操作来完成的,是对判别器自由度的最充分利用。





 FFHQ线性插值效果图


背景


笔者掉进生成模型的大坑已经很久时间了,不仅写了多篇有关生成模型的文章,而且还往 arXiv 上也提交了好几篇跟生成模型相关的小 paper。自掉坑以来,虽然说对生成模型尤其是 GAN 的理解渐深,有时也觉得自己做出了一点改进工作(所以才提交到 arXiv上),但事实上那些东西都是无关痛痒的修修补补,意义实在不大。


而本文要介绍的这个模型,自认为比以往我做的所有 GAN 相关工作的价值总和还要大:它提供了目前最简单的方案,来训练一个具有编码能力的 GAN 模型。


现如今,GAN 已经越来越成熟,越做越庞大,诸如 BigGAN [1]StyleGAN [2] 等算是目前最先进的 GAN 模型也已被人熟知,甚至玩得不亦乐乎。不过,这几个最先进的 GAN 模型,目前都只有生成器功能,没有编码器功能,也就是说可以源源不断地生成新图片,却不能对已有的图片提取特征。


当然,带有编码器的 GAN 也有不少研究,甚至本人就曾做过,参考BiGAN-QP:简单清晰的编码 & 生成模型。但不管有没有编码能力,大部分 GAN 都有一个特点:训练完成后,判别器都是没有用的。因为理论上越训练,判别器越退化(比如趋于一个常数)。


做过 GAN 的读者都知道,GAN 的判别器和生成器两个网络的复杂度是相当的(如果还有编码器,那么复杂度也跟它们相当),训练完 GAN 后判别器就不要了,那实在是对判别器这个庞大网络的严重浪费!


一般来说,判别器的架构跟编码器是很相似的,那么一个很自然的想法是能不能让判别器和编码器共享大部分权重?


据笔者所知,过去所有的 GAN 相关的模型中,只有 IntroVAE [3] 做到了这一点。但相对而言 IntroVAE 的做法还是比较复杂的,而且目前网上还没有成功复现 IntroVAE 的开源代码,笔者也尝试复现过,但也失败了。


而本文的方案则极为简单——通过稍微修改原来的GAN模型,就可以让判别器转变为一个编码器,不管是复杂度还是计算量都几乎没有增加。


模型


事不宜迟,马上来介绍这个模型。首先引入一般的 GAN 写法:



为了不至于混淆,这里还是不厌其烦地对符号做一些说明。其中,p(x) 是真实图片集的“证据分布”,q(z) 是噪声的分布(在本文中,它是元标准正态分布);而自然就是生成器和判别器了,f, g, h 则是一些确定的函数,不同的 GAN 对应着不同的 f, h, g。


有时候我们会加一些标准化或者正则化手段上去,比如谱归一化或者梯度惩罚,简单起见,这些手段就不明显地写出来了。 


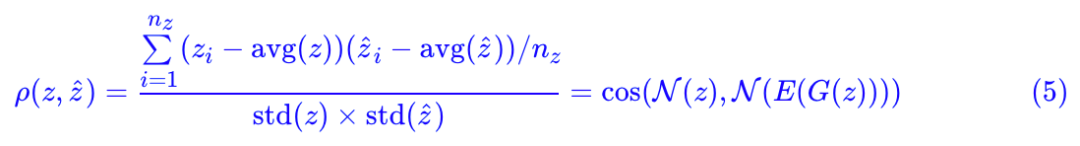
然后定义几个向量算符:



写起来貌似挺高大上的,但其实就是向量各元素的均值、方差,以及标准化的向量。特别指出的是,当 nz≥3 时(真正有价值的 GAN 都满足这个条件),[avg(z),std(z),N(z)] 是函数无关的,也就是说它相当于是原来向量 z 的一个“正交分解”


接着,我们已经说了判别器的结构其实和编码器有点类似,只不过编码器输出一个向量而判别器输出一个标量罢了,那么我可以把判别器写成复合函数:



这里 E 是的映射,而 T 是的映射。不难想象,E 的参数量会远远多于 T 的参数量,我们希望 E(x) 具有编码功能。


怎么实现呢?只需要加一个 loss:Pearson 相关系数!



其中:



如果 λ=0,那么就是普通的 GAN 而已(只不过判别器被分解为两部分 E 和 T 两部分)。加上了这个相关系数,直观上来看,就是希望 z 和 E(G(z)) 越线性相关越好。为什么要这样加?我们留到最后讨论。


显然这个相关系数可以嵌入到任意现成的 GAN 中,改动量显然也很小(拆分一下判别器、加一个 loss),笔者也做了多种 GAN 的实验,发现都能成功训练。


这样一来,GAN 的判别器 D 分为了 E 和 T 两部分,E 变成了编码器,也就是说,判别器的大部分参数已经被利用上了。但是还剩下 T,训练完成后 T 也是没用的,虽然 T 的参数量比较少,这个浪费量是很少的,但对于有“洁癖”的人(比如笔者)来说还是很难受的。


能不能把 T 也省掉?经过笔者多次试验,结论是:还真能!因为我们可以直接用 avg(E(x)) 做判别器:



这样一来整个模型中已经没有 T 了,只有纯粹的生成器 G 和编码器 E,整个模型没有丝毫冗余的地方,洁癖患者可以不纠结了。


实验


这样做为什么可以?我们放到最后再说。先看看实验效果,毕竟实验不好的话,原理说得再漂亮也没有意义。


注意,理论上来讲,本文引入的相关系数项并不能提高生成模型的质量,所以实验的目标主要有两个:1)这个额外的 loss 会不会有损原来生成模型的质量;2)这个额外的 loss 是不是真的可以让 E 变成一个有效的编码器?


刚才也说,这个方法可以嵌入到任意 GAN 中,这次实验用的是 GAN 是我之前的 GAN-QP 的变种:



其中:



数据集上,这次的实验做得比较完整,在 CelebA HQ、FFHQ、LSUN-churchoutdoor、LSUN-bedroom 四个数据集上都做了实验,分辨率都是 128 × 128 (其实还做了一点 256 × 256 的实验,结果也不错,但是没放到论文上)。模型架构跟以往一样都是 DCGAN [4],其余细节直接看论文或者代码吧。 


上图:


 CelebA HQ随机生成


 CelebA HQ重构效果


 CelebA HQ线性插值


 FFHQ随机生成


 FFHQ重构效果


 FFHQ线性插值


 LSUN-church随机生成


 LSUN-church重构效果


 LSUN-church线性插值


 LSUN-bedroom随机生成


 LSUN-bedroom重构效果


 LSUN-bedroom线性插值


不管你们觉得好不好,反正我是觉得还好了。


1. 随机生成效果还不错,说明新引入的相关系数项没有降低生成质量;


2. 重构效果还不错,说明 E(x) 确实提取到了 x 的主要特征;


3. 线性插值效果还不错,说明 E(x) 确实学习到了接近线性可分的特征。


原理


好,确认过眼神,哦不对,是效果,就可以来讨论一下原理了。


很明显,这个额外的重构项的作用就是让 z 尽可能与 E(G(z)) “相关”,对于它,相信大多数读者的第一想法应该是 mse 损失而非本文用的 ρ(z,E(G(z)))。但事实上,如果加入那么训练基本上都会失败。那为什么 ρ(z,E(G(z))) 又会成功呢?


根据前面的定义,E(x) 输出一个维的向量,但是 T(E(x)) 只输出一个标量,也就是说,E(x) 输出了个自由度,而作为判别器,T(E(x)) 至少要占用一个自由度(当然,理论上它也只需要占用一个自由度)。


如果最小化,那么训练过程会强迫 E(G(z)) 完全等于 z,也就是说个自由度全部被它占用了,没有多余的自由度给判别器来判别真假了,所以加入大概率都会失败。


但是 ρ(z,E(G(z))) 不一样,ρ(z,E(G(z))) 跟 avg(E(G(z))) 和 std(E(G(z))) 都没关系(只改变向量 E(G(z)) 的 avg 和 std,不会改变 ρ(z,E(G(z))) 的值,因为 ρ 本身就先减均值除标准差了),这意味着就算我们最大化 ρ(z,E(G(z))),我们也留了至少两个自由度给判别器。


这也是为什么在 (6) 中我们甚至可以直接用 avg(E(x)) 做判别器,因为它不会被 ρ(z,E(G(z))) 的影响的。


一个相似的例子是 InfoGAN [5]。InfoGAN 也包含了一个重构输入信息的模块,这个模块也和判别器共享大部分权重(编码器),而因为 InfoGAN 事实上只重构部分输入信息,因此重构项也没占满编码器的所有自由度,所以 InfoGAN 那样做是合理的——只要给判别器留下至少一个自由度。


另外还有一个事实也能帮助我们理解。因为我们在对抗训练的时候,噪声是的,当生成器训练好之后,那么理论上对所有的,G(z) 都会是一张逼真的图片,事实上,反过来也是成立的,如果 G(z) 是一张逼真的图片,那么应该有(即位于 N(0,Inz) 的高概率区域)。


进一步推论下去,对于,我们有 avg(z)≈0 以及 std(z)≈1。那么,如果 G(z) 是一张逼真的图片,那么必要的条件是 avg(z)≈0 以及 std(z)≈1。


应用这个结论,如果我们希望重构效果好,也就是希望 G(E(x)) 是一张逼真的图片,那么必要的条件是 avg(E(x))≈0 以及 std(E(x))≈1。


这就说明,对于一个好的 E(x),我们可以认为 avg(E(x)) 和 std(E(x)) 都是已知的(分别等于 0 和 1),既然它们是已知的,我们就没有必要拟合它们,换言之,在重构项中可以把它们排除掉。而事实上:



也就是说在 mse 损失中排除掉 avg(E(x)) 和 std(E(x)) 的话,然后省去常数,它其实就是 −ρ(z,E(G(z))),这再次说明了 ρ(z,E(G(z))) 的合理性。并且由这个推导,重构过程并不是 G(E(x)) 而是:



最后,这个额外的重构项理论上还能防止 mode collapse 的出现。其实很明显,因为重构质量都不错了,生成质量再差也差不到哪里去,自然就不会怎么 mode collapse 了。


非要说数学依据的话,我们可以将 ρ(z, E(G(z))) 理解为 Z 和 G(Z) 的互信息上界,所以最小化 −ρ(z, E(G(z))) 事实上在最大化 Z 与 G(Z) 的互信息,这又等价于最大化 G(Z) 的熵。而 G(Z) 的熵大了,表明它的多样性增加了,也就远离了 mode collapse。类似的推导可以参考能量视角下的GAN模型(二):GAN=“分析”+“采样”


结语


本文介绍了一个方案,只需要对原来的 GAN 进行简单的修改,就可以将原来 GAN 的判别器转化为一个有效的编码器。多个实验表明这样的方案是可行的,而对原理的进一步思考得出,这其实就是对原始判别器(编码器)的一种正交分解,并且对正交分解后的自由度的充分利用,所以模型也被称为“正交 GAN(O-GAN)”。


小改动就收获一个编码器,何乐而不为呢?欢迎大家试用。


后记


事后看,本文模型的思想其实本质上就是“直径和方向”的分解,并不难理解,但做到这件事情不是那么轻松的。 


最开始我也一直陷入到的困境中,难以自拔,后来我想了很多技巧,终于在的重构损失下也稳定住了模型(耗了几个月),但模型变得非常丑陋(引入了三重对抗 GAN),于是我着手简化模型。后来我尝试用 cos 值用重构损失,发现居然能够简单地收敛了,于是我思考背后的原理,这可能涉及到自由度的问题。 


接着我尝试将 E(x) 分解为模长和方向向量,然后用模长 ||E(x)|| 做判别器,用 cos 做重构损失,判别器的 loss 用 hinge loss。这样做其实几何意义很明显,说起来更漂亮些,部分数据集是 work 的,但是通用性不好(CelebA 还行,LSUN 不行),而且还有一个问题是 ||E(x)|| 非负,无法嵌入到一般的 GAN,很多稳定 GAN 的技巧都不能用。 


然后我想怎么把模长变成可正可负,开始想着可以对模长取对数,这样小于 1 的模长取对数后变成负数,大于 1 的模长取对数变成正数,自然达成了目的。但是很遗憾,效果还是不好。后来陆续实验了诸多方案都不成功,最后终于想到可以放弃模长(对应于方差)做判别器的 loss,直接用均值就行了。所以后来转换成 avg(E(x)),这个转变经历了相当长的时间。 


还有,重构损失一般认为要度量 x 和 G(E(x)) 的差异,而我发现只需要度量 z 和 E(G(z)) 的差异,这是最低成本的方案,因为重构是需要额外的时间的。最后,我还做过很多实验,很多想法哪怕在 CelebA上都能成功,但LSUN上就不行。所以,最后看上去简单的模型,实际上是艰难的沉淀。 


整个模型源于我的一个执念:判别器既然具有编码器的结构,那么就不能被浪费掉。加上有 IntroVAE 的成功案例在先,我相信一定会有更简单的方案实现这一点。前前后后实验了好几个月,跑了上百个模型,直到最近终于算是完整地解决了这个问题。 


对了,除了 IntroVAE,对我启发特别大的还有 Deep Infomax [6] 这篇论文,Deep Infomax 最后的附录里边提供了一种新的做 GAN 的思路,我开始也是从那里的方法着手思考新模型的。


参考文献


[1] Andrew Brock, Jeff Donahue, Karen Simonyan, Large Scale GAN Training for High Fidelity Natural Image Synthesis, arXiv:1809.11096.

[2] Tero Karras, Samuli Laine, Timo Aila, A Style-Based Generator Architecture for Generative Adversarial Networks, arXiv:1812.04948.

[3] Huaibo Huang, Zhihang Li, Ran He, Zhenan Sun, Tieniu Tan, ntroVAE: Introspective Variational Autoencoders for Photographic Image Synthesis, NeurIPS 2018.

[4] Alec Radford, Luke Metz, Soumith Chintala, Unsupervised Representation Learning with Deep Convolutional Generative Adversarial Networks, ICLR 2016.

[5] Xi Chen, Yan Duan, Rein Houthooft, John Schulman, Ilya Sutskever, Pieter Abbeel, InfoGAN: Interpretable Representation Learning by Information Maximizing Generative Adversarial Nets, NIPS 2016.

[6] R Devon Hjelm, Alex Fedorov, Samuel Lavoie-Marchildon, Karan Grewal, Phil Bachman, Adam Trischler, Yoshua Bengio, Learning deep representations by mutual information estimation and maximization, ICLR 2019.




点击以下标题查看作者其他文章: 





#投 稿 通 道#

 让你的论文被更多人看到 



如何才能让更多的优质内容以更短路径到达读者群体,缩短读者寻找优质内容的成本呢? 答案就是:你不认识的人。


总有一些你不认识的人,知道你想知道的东西。PaperWeekly 或许可以成为一座桥梁,促使不同背景、不同方向的学者和学术灵感相互碰撞,迸发出更多的可能性。 


PaperWeekly 鼓励高校实验室或个人,在我们的平台上分享各类优质内容,可以是最新论文解读,也可以是学习心得技术干货。我们的目的只有一个,让知识真正流动起来。


📝 来稿标准:

• 稿件确系个人原创作品,来稿需注明作者个人信息(姓名+学校/工作单位+学历/职位+研究方向) 

• 如果文章并非首发,请在投稿时提醒并附上所有已发布链接 

• PaperWeekly 默认每篇文章都是首发,均会添加“原创”标志


📬 投稿邮箱:

• 投稿邮箱:hr@paperweekly.site 

• 所有文章配图,请单独在附件中发送 

• 请留下即时联系方式(微信或手机),以便我们在编辑发布时和作者沟通




🔍


现在,在「知乎」也能找到我们了

进入知乎首页搜索「PaperWeekly」

点击「关注」订阅我们的专栏吧



关于PaperWeekly


PaperWeekly 是一个推荐、解读、讨论、报道人工智能前沿论文成果的学术平台。如果你研究或从事 AI 领域,欢迎在公众号后台点击「交流群」,小助手将把你带入 PaperWeekly 的交流群里。


▽ 点击 | 阅读原文 | 查看作者博客

登录查看更多
4

相关内容

还在修改博士论文?这份《博士论文写作技巧》为你指南
专知会员服务
109+阅读 · 2020年5月21日
【CVPR2020】MSG-GAN:用于稳定图像合成的多尺度梯度GAN
专知会员服务
29+阅读 · 2020年4月6日
生成式对抗网络GAN异常检测
专知会员服务
118+阅读 · 2019年10月13日
GAN新书《生成式深度学习》,Generative Deep Learning,379页pdf
专知会员服务
208+阅读 · 2019年9月30日
GAN毕业手册:从零到一构建自己的GAN模型
AI前线
14+阅读 · 2019年5月15日
从动力学角度看优化算法:GAN的第三个阶段
PaperWeekly
11+阅读 · 2019年5月13日
从DCGAN到SELF-MOD:GAN的模型架构发展一览
PaperWeekly
4+阅读 · 2019年4月22日
带你读论文 | 生成对抗网络GAN论文TOP 10
微软研究院AI头条
25+阅读 · 2019年4月11日
必读!生成对抗网络GAN论文TOP 10
GAN生成式对抗网络
58+阅读 · 2019年3月20日
2018 年最棒的三篇 GAN 论文
AI科技评论
4+阅读 · 2019年1月14日
手把手 | 生成式对抗网络(GAN)之MNIST数据生成
数说工作室
10+阅读 · 2017年7月31日
GAN | GAN介绍(1)
中国科学院网络数据重点实验室
17+阅读 · 2017年7月26日
干货|生成对抗网络(GAN)之MNIST数据生成
全球人工智能
7+阅读 · 2017年7月24日
GAN猫的脸
机械鸡
11+阅读 · 2017年7月8日
Arxiv
8+阅读 · 2018年5月21日
Arxiv
5+阅读 · 2018年5月21日
Arxiv
5+阅读 · 2018年5月5日
Arxiv
5+阅读 · 2018年1月30日
VIP会员
相关资讯
GAN毕业手册:从零到一构建自己的GAN模型
AI前线
14+阅读 · 2019年5月15日
从动力学角度看优化算法:GAN的第三个阶段
PaperWeekly
11+阅读 · 2019年5月13日
从DCGAN到SELF-MOD:GAN的模型架构发展一览
PaperWeekly
4+阅读 · 2019年4月22日
带你读论文 | 生成对抗网络GAN论文TOP 10
微软研究院AI头条
25+阅读 · 2019年4月11日
必读!生成对抗网络GAN论文TOP 10
GAN生成式对抗网络
58+阅读 · 2019年3月20日
2018 年最棒的三篇 GAN 论文
AI科技评论
4+阅读 · 2019年1月14日
手把手 | 生成式对抗网络(GAN)之MNIST数据生成
数说工作室
10+阅读 · 2017年7月31日
GAN | GAN介绍(1)
中国科学院网络数据重点实验室
17+阅读 · 2017年7月26日
干货|生成对抗网络(GAN)之MNIST数据生成
全球人工智能
7+阅读 · 2017年7月24日
GAN猫的脸
机械鸡
11+阅读 · 2017年7月8日
Top
微信扫码咨询专知VIP会员