集成学习20问答案及获奖名单公布!你都答对了吗?

2017 年 8 月 31 日 数据派THU




作为“集成学习月”的收官数据派研究部于上个星期举行了“集成学习20问”答题活动。本次一共有48人参与问卷,平均答题时间34分5秒。


结果总览


下图是得分分布图,以帮助你评估自己的能力:



48个人参加了该技能测试,测试一共20题,每题3分,最高得分是60分。下面是关于本次活动得分分布的一些统计:


总体分布


平均得分:35.69

得分中位数:30


本次答题活动题目内容包括集成模型的基础知识及其实际应用能有效检验你对集成学习这一热门机器学习方法的熟悉程度


错过答题时间的读者注意啦!接下来小编为你揭晓试题及详细答案,快来看看你能得多少分,估计一下自己集成学习上在数据派小伙伴中的排名吧。


问题&答案


1. 下列哪个算法不是集成建模的例子?


  A. 额外树回归

  B. 随机森林

  C. 梯度提升

  D. 单一决策树


答案:(D)

D是正确选项。对于单一决策树,只建立了一个单一的树且不需要集成。

 

2. 关于集成模型的优点,下面哪个选项是正确的?

  

1.具有更优良的性能

2.属于广义模型

3.具有更好的可解释性


  A. 1和3

  B. 2和3

  C. 1和2

  D. 1,2和3


答案:(C)

1和2是集成模型优点。选项3不正确,因为当我们集成多个模型时,我们丢失了模型的可解释性。

 

3. 下面哪个选项对选择集成的基础学习器是正确的?


1.不同的学习器可以来自具有不同超参数的相同算法

2.不同的学习器可以来自不同的算法

3.不同的学习器可以来自不同的训练空间

 

A.1

B.2

C.1和2

D.1,2和3


答案:(D)

我们可以根据以上任一选项创建一个集成。所以选项D是正确的。

 

4.    判断对错:集成学习只能应用于监督学习方法。


A.正确

B.错误


答案:(B)

一般来说,我们将集成技术应用于监督学习算法。但我们也可以将集成应用于无监督学习算法。参考此链接【https://en.wikipedia.org/wiki/Consensus_clustering

 

5.    关于集成模型中使用的弱学习器,应用下列哪一项是正确的?


1.它们具有较小方差且通常不会过度拟合

2.它们具有较大偏差,不能解决高难度学习问题

3.它们具有较大方差且通常不会过度拟合

 

A.1和2

B.1和3

C.2和3

D.都不是


答案:(A)

弱学习器对问题的特定部分有把握。所以通常不会过度拟合,这意味着弱学习器有小方差和大偏差。

 

6.    一般地,如果独立基础模型_________,集成方法效果更好?

注意:假设每个独立基础模型精度大于50%。


A.预测结果之间的相关性低

B.预测结果之间的相关性高

C.相关性对集成输出结果没有影响

D.以上都不是


答案:(A)

集成模型成员之间的相关性较低会增加模型的纠错能力。因此,在创建集成时,最好使用低相关性的模型。

 

7.    已知通过测试数据集‘n’个不同模型得到(M1,M2, …. Mn)对应的‘n’个预测值。下列哪种方法可以将这些模型之间的预测组合起来?

注意:我们正在研究的是回归问题。


1.中位数

2.乘积

3.平均数

4.加权求和

5.最大值和最小值

6.广义平均值

 

A.1,3和4

B.1,3和6

C.1,3,4和6

D.以上全部


答案:(D)

以上所有选项都是集成不同模型的有效方法(在使用回归模型的情况下)。


8.    如何将权重分配给集成中的不同模型的输出?


1.使用算法返回最优权重

2.使用交叉验证选择权重

3.给予高精度模型高权重

 

A.1和2

B.1和3

C.2和3

D.以上全部


答案:(D)

当选择一个集成中单个模型的权重时以上所有选项都是正确的。

 

9.    关于平均集成,下列哪项是正确的?


A.它只能用于分类问题

B.它只能用于回归问题

C.它既能用于分类问题也能用于回归问题

D.以上都不对


答案:(C)

平均集成既可用于分类也可用于回归。在分类中,你可以取预测概率的平均值;而在回归中,你可以直接取不同模型的预测值的平均值

 

10.

上图中,直线A和B是分别两个模型(M1,M2)的预测值。现在你要用一个集合,该集合是用加权平均来聚合这两个模型结果的。如果M1,M2模型权重分别为0.7和0.3,下列哪个结果最可能是该集合的输出结果?


A.A

B.B

C.C

D.D

E.E


答案:(C)

 

11.  下列关于加权多数表决的论述哪一个是正确的?


1.我们赋予性能优良的模型更多权重

2.如果低级模型的集体加权票数高于最佳模型,则较低级的模型可以推翻最佳模型

3.表决是加权表决的特例


A.1和3

B.2和3

C.1和2

D.1,2和3

E.以上都不对


答案:(D)

以上所有论述都是正确的。


12.  下列关于stacking算法说法正确的是:


1.一个机器学习模型是在多个机器学习模型的预测值的基础上训练的。

2.logistic回归在第二阶段中一定优于其它分类方法。

3.第一阶模型是使用测试数据集的全部/部分特征空间进行训练的

 

A.1和2

B.2和3

C.1和3

D.以上都是


答案:(C)

1.在stacking算法中,一个机器学习模型是在多个基础模型的预测值基础之上训练的。

2.不一定——我们可以使用不同的算法来堆叠结果。

3.第一阶模型是利用所有原始特征进行训练的。


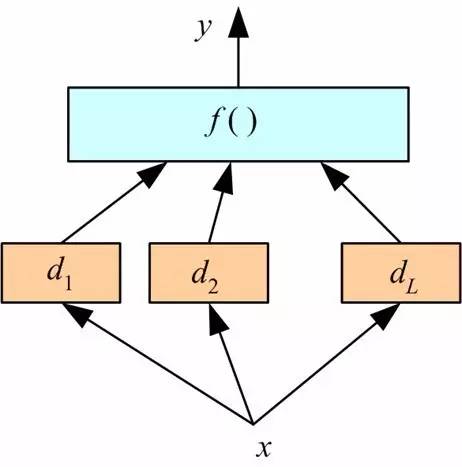
13.  下列示意图表达了stacking算法的是:

 

A.

B.

 


C.以上都不是


答案:(A)

A选项正确是由于图示中使用f函数(也可以说是一个模型)将基础模型的结果d1,d2...dL进行了堆叠。


14.  下列关于bagging算法说法正确的是:


1.bagging算法可以是并行的

2.实行bagging算法的意义是减小偏差而不是方差

3.bagging算法更容易避免过度拟合

 

A. 1和2

B. 2和3

C. 1和3

D.以上都是


答案:(C)

1选项在bagging算法中,个体学习器互不依赖,因此是可以并行的。

2-3选项bagging算法适合于方差大而偏差小的模型,或者说是较为复杂的模型。


15.  以下是两个集成模型:


  • E1(M1, M2, M3)

  • E2(M4, M5, M6)

Mx是个体基础模型。


若已知E1,E2,应该选择:

E1: 个体模型精确度高,但每个模型都是同一类别,即不够多样化。

E2: 个体模型精确度高,但每个模型都是不同类别,即本来就很多样化。


A.E1

B.E2

C.E1或E2

D.以上都不是


答案:(B)

选择E2模型,因为包含多样的模型。

 

16.  假设你有2000个不同的模型和它们的预测值,想用最好的x个模型的预测值进行集成。以下选择x个模型进行集成的方法有:


A.前进式逐步选择

B.后退式删除筛选

C.两者都使用

D.以上都不是


答案:(C)

可以两种算法都应用。在前进式逐步选择中,先从空预测集开始,在可以提高模型精确度的前提下,一次一次逐步加入模型预测值。在后退式删除筛选中,从全部特征集开始,在可以提高模型精确度的前提下,一次一次逐步删除模型预测值。

 

17.  假设,你想用前进式逐步选择方法选择最好的模型进行集成。下列步骤顺序正确的是:注意:你有超过1000个模型预测值


1. 在集成过程中逐个加入模型预测值(也就是说取平均值),提高在验证集的指标。

2. 从空集开始

3. 返回在验证数据集上有着最优表现的嵌套集合的集成


A.1-2-3

B.1-3-2

C.2-1-3

D.以上都不是


答案:(C)

C选项的步骤正确。


18.  在神经网络中,Dropout可以被认为是集成的技术之一,子网络通过“丢弃”神经元之间某种联系来进行共同训练。

假设,我们在神经网络中有以下一个隐藏层。

可被用于分类的子网络有几种组合的可能?


A.1

B.9

C.12

D.16

E.以上都不是


答案:(B)

共有16种组合的可能。其中9种可行,6种不可行(分别是表格中的6,7,12,13,14,15,16)。

 

19. 为了找到更好的集成模型,可以对以下基于bagging的模型中哪些参数进行微调:

 

1.样本最大值

2.样本特征

3.对样本进行多次重复抽样(Boostrapping)

4.对特征进行多次重复抽样(Boostrapping)

 

A.1和3

B.2和4

C.1,2和3

D.1,3和4

E.以上都是


答案:(E)

给出的调整方法都可以应用于集成更好的模型。

 

20.  假如有25个基础分类器。每个分类器的错误率为e=0.35。

若使用取平均值法作为集成方法。使用以上25个分类器集成得到错误预测的几率是:

注意:所有的分类器之间相互独立。


A.0.05

B. 0.06

C. 0.07

D. 0.09


答案:(B)

参考链接【https://stats.stackexchange.com/questions/21502/how-are-classifications-merged-in-an-ensemble-classifier】


本期活动中奖名单


188****8339

134****2604

130****5445

188****1860

186****1992


恭喜第一名的读者获得精美读本《深度学习》一本,2~4名并列,成绩很接近第一名,故数据派THU决定扩大福利范围,另送4份别的福利给他们。小编已根据大家答题时留的联系方式对接过了,将在稍后为各位派发奖品。

结束语


希望你在“集成学习月”中已经深入了解了集成学习这一高效机器学习方法,往后数据派将推出更多主题知识月活动,更多精彩敬请留意公众号“数据派THU”


如果您对以上问题有任何疑问,请通过留言告诉我们。另外,如果您有什么意见或者建议,也可以在留言中作出您的反馈。


Yan,生物统计硕士在读。坐标美国。数据派研究部算法模型组成员。专业研究方向是基因医疗方面的数据挖掘。喜欢旅行,钟爱滑雪等各种运动。


李江莹,数据派研究部志愿者,硕士研究生,现就读于北京科技大学,研究方向是成像算法。喜欢读书,喜欢民谣,闲暇时爱打乒乓球和羽毛球。


【集成学习】系列往期回顾:

独家  | 手把手教随机森林

独家 | 一文读懂集成学习(附学习资源)

独家 |  一文读懂Adaboost


以下为研究部出品的往期干货大合集:


福利 | 400页技术入门指南、技术进阶干货:数据派研究部独家文章大合集


后台回复关键词“福利”,下载PDF版文章合集。


数据派研究部介绍

数据派研究部成立于2017年初,志于打造一流的结构化知识分享平台、活跃的数据科学爱好者社群,致力于传播数据思维、提升数据能力、探索数据价值、实现产学研结合!

研究部的逻辑在于知识结构化、实践出真知:梳理打造结构化基础知识网络;原创手把手教以及实践经验等文章;形成专业兴趣社群,交流学习、组队实践、追踪前沿
兴趣组是研究部的核心,各组既遵循研究部整体的知识分享和实践项目规划,又会各具特色:
算法模型组:积极组队参加kaggle等比赛,原创手把手教系列文章;
调研分析组:通过专访等方式调研大数据的应用,探索数据产品之美;
系统平台组:追踪大数据&人工智能系统平台技术前沿,对话专家;
自然语言处理组:重于实践,积极参加比赛及策划各类文本分析项目;
制造业大数据组:秉工业强国之梦,产学研政结合,挖掘数据价值;
数据可视化组:将信息与艺术融合,探索数据之美,学用可视化讲故事;
网络爬虫组:爬取网络信息,配合其他各组开发创意项目。


点击文末“阅读原文”,报名数据派研究部志愿者,总有一组适合你~

转载须知

如需转载文章,请做到 1、正文前标示:转自数据派THU(ID:DatapiTHU);2、文章结尾处附上数据派二维码。

申请转载,请发送邮件至datapi@tsingdata.com

公众号底部菜单有惊喜哦!

企业,个人加入组织请查看“联盟”

往期精彩内容请查看“号内搜”

加入志愿者或联系我们请查看“关于我们”

点击“阅读原文”加入组织~

登录查看更多
1

相关内容

集成学习是使用一系列学习器进行学习,并使用某种规则把各个学习结果进行整合从而获得比单个学习器更好的学习效果的一种机器学习方法。
专知会员服务
40+阅读 · 2020年6月19日
【哈佛大学】机器学习的黑盒解释性,52页ppt
专知会员服务
172+阅读 · 2020年5月27日
ACL2020接受论文列表公布,571篇长文208篇短文
专知会员服务
67+阅读 · 2020年5月19日
哈工大SCIR三篇论文被ACL 2019录用
哈工大SCIR
17+阅读 · 2019年5月15日
常用的模型集成方法介绍:bagging、boosting 、stacking
BAT机器学习面试题及解析(266-270题)
七月在线实验室
6+阅读 · 2017年12月13日
sklearn集成学习:如何调参?
北京思腾合力科技有限公司
9+阅读 · 2017年10月20日
深度 | 从Boosting到Stacking,概览集成学习的方法与性能
深度学习世界
3+阅读 · 2017年8月28日
Arxiv
102+阅读 · 2020年3月4日
Adaptive Neural Trees
Arxiv
4+阅读 · 2018年12月10日
Arxiv
6+阅读 · 2018年10月3日
Arxiv
4+阅读 · 2018年4月10日
Arxiv
3+阅读 · 2017年7月6日
VIP会员
相关资讯
哈工大SCIR三篇论文被ACL 2019录用
哈工大SCIR
17+阅读 · 2019年5月15日
常用的模型集成方法介绍:bagging、boosting 、stacking
BAT机器学习面试题及解析(266-270题)
七月在线实验室
6+阅读 · 2017年12月13日
sklearn集成学习:如何调参?
北京思腾合力科技有限公司
9+阅读 · 2017年10月20日
深度 | 从Boosting到Stacking,概览集成学习的方法与性能
深度学习世界
3+阅读 · 2017年8月28日
相关论文
Arxiv
102+阅读 · 2020年3月4日
Adaptive Neural Trees
Arxiv
4+阅读 · 2018年12月10日
Arxiv
6+阅读 · 2018年10月3日
Arxiv
4+阅读 · 2018年4月10日
Arxiv
3+阅读 · 2017年7月6日
Top
微信扫码咨询专知VIP会员