进展 | 自旋三重态超导电流产生自旋转移力矩的实验证据

2018 年 7 月 12 日 中科院物理所


原文已发表在CPL Express Letters栏目

Received 21 June 2018; online 24 June 2018


自旋三重态超导电流产生自旋转移力矩的实验证据


超导体中的库珀对通常是由一对自旋相反总自旋为零(自旋单态)的电子组成。然而,在某些特殊情况下,超导-铁磁界面处可以产生自旋三重态的库珀对。由于自旋三重态的库珀对携带净余磁矩,它们在输运时会产生一个无能量耗散的自旋极化电流,将会极大地降低自旋电子学器件的能耗。同时,三重态的库珀对的另一特点是对铁磁体中的交换场不敏感,因而在铁磁体中具有极长的关联长度。研究如何产生、调控和利用自旋极化的三重态超导电流,形成了一个新的前沿方向 — 超导自旋电子学。在过去的十多年里,一些理论模型纷纷预言了如何在超导/铁磁异质结构中产生自旋三重态库珀对和超导电流。但是,相应的实验证据却很稀少。目前,仅有少量实验研究利用电输运性质的测量,在一些超导/铁磁异质结构中观察到反常的长程关联,间接推测可能存在三重态超导电流。然而,对自旋三重态超导电流的产生和利用还缺乏与磁性相关的更为直接的实验证据


近期,中国科学院物理研究所/北京凝聚态物理国家研究中心磁学国家重点实验室孙阳研究员和李来来博士与沙特国王科技大学赵月雷博士、张西祥教授合作,在超导自旋电子学领域取得了重要实验进展,发现在铁磁性超导约瑟夫森结中,超导电性可以极大地改变铁磁体中的磁化动力学行为,为自旋三重态超导电流的存在和利用提供了更为直接的实验证据


在自旋电子学中,一个著名的效应是自旋极化的电流产生自旋转移力矩(spin-transfer torque),该效应已被广泛用于自旋电子学器件中调控磁矩翻转和磁化动力学。如果能够在实验上观察到自旋极化的三重态超导电流产生自旋转移力矩,不仅将确认三重态超导电流的存在,而且将为超导自旋电子学的应用铺平道路


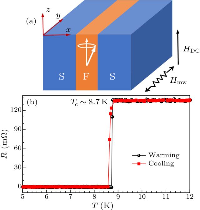
孙阳研究员与合作者利用低温谐振腔铁磁共振技术,研究了超导/铁磁/超导约瑟夫森结(Nb/Ni80Fe20/Nb)的磁化动力学行为随温度的变化。实验发现,在超导转变温度TC以上,铁磁共振场Hr几乎不随温度变化;进入超导转变温度TC以下,铁磁共振场Hr随温度降低迅速向低场移动,到4.2 K时,共振场移动可达到700 Oe。在固定频率下,铁磁共振场的移动表明,超导电性对铁磁体的磁化动力学产生了巨大影响


为了排除该效应可能来源于超导体的抗磁性(Meissner效应),他们做了一系列对比实验。首先,在超导/铁磁双层膜(Nb/Ni80Fe20)中,在超导转变温度TC以下,铁磁共振场Hr随温度降低几乎不发生移动。其次,当在超导/铁磁/超导约瑟夫森结中插入一层10 nm绝缘层(Nb/MgO/Ni80Fe20/Nb)时,TC以下铁磁共振场Hr也不再发生移动。此外,在超导/铁磁/超导/铁磁多层膜(Nb/Ni80Fe20/Nb/ Ni80Fe20)中,在TC以下出现两个铁磁共振峰,分别对应于两层铁磁层发生铁磁共振,其中一支随温度降低向低场移动,而另一支保持不动。这些对比实验表明:1.超导电性对磁化动力学的影响不是来自于Meissner效应;2.只有当铁磁体处于两层超导体之间形成约瑟夫森结时,超导电性才会对磁化动力学产生巨大影响;3.当约瑟夫森结中插入绝缘层不再导通时,该效应会消失,预示着该效应是与超导电流有关。由于自旋单态的正常超导电流不会对局域磁矩的动力学产生明显影响,因此,这一效应很可能来源于自旋三重态的超导电流产生的自旋转移力矩对磁化动力学的巨大影响


近年来,已有一些理论模型预测,在铁磁性约瑟夫森结中,当铁磁层的磁矩保持进动时,可以在铁磁/超导界面产生自旋三重态库珀对。孙阳研究员等人的实验结果可以定性地由这些理论模型来解释,详细的物理机制和定量的理解还有待于进一步深入研究。该工作首次观察到超导/铁磁异质结构中超导电性对磁化动力学的巨大影响和调控,为自旋三重态超导电流的存在和超导自旋电子学的发展提供了重要的实验依据


图1 (a)超导/铁磁/超导约瑟夫森结和铁磁共振示意图。(b)Nb/ Ni80Fe20/Nb约瑟夫森结中超导层Nb的电阻随温度变化曲线。


图2 (a)Nb(100 nm)/Ni80Fe20(20 nm)/Nb(100 nm)约瑟夫森结的铁磁共振谱。(b)铁磁共振场随温度的变化,在超导转变温度以下,共振场迅速朝低场移动。


图3 一系列对比实验。


图4 超导/铁磁/超导约瑟夫森结中三重态超导电流产生自旋转移力矩的唯像模型。


点击题目阅读全文

CPLExpress Letter 

Possible Evidence for Spin-Transfer Torque Induced by Spin-Triplet Supercurrents 

Cite:Chin. Phys. Lett.35077401 (2018) 


CPL Express Letters栏目简介

为了吸引高质量论文、保证重要研究成果的首发权,CPL于2012年6月开设了Express Letters栏目。此栏目目前已发表文小刚、赵忠贤、薛其坤、潘建伟等著名学者的优秀论文43篇,平均发表周期为3-4。栏目2016年的影响因子为10.57,篇均被引11.72次,已经在国内物理学界建立起良好口碑与声望,来稿数量不断增加。点击查看已发表Express Letters!

CPL高被引论文数量统计

JCR统计数据表明,CPL最近10年来发表的高被引论文数量在中国同类期刊中最多。迄今为止,

CPL发表的文章中,

    有26篇引用超过100次;

    有96篇引用超过50次。

在全世界物理类论文中,

    有3篇超过Top 0.1%的引用水平;

    有6篇超过Top 1%的引用水平;

    有68篇超过Top 10%的引用水平。

欲了解更多前沿进展

欢迎扫码关注CPL微信公众号


编辑:太阳骑士07


近期热门文章Top10

↓ 点击标题即可查看 ↓

1. C罗的绝技电梯球是什么原理?香蕉球和落叶球有何不同?

2. 秃了就是秃了,你不会变强也别幻想能根治

3. 水不是一种液体,而是两种?!

4. “最难高考作文”的背后,蕴藏着怎样深刻的科学道理?

5. 为什么录音里自己的声音和自己听到声音差别很大?| No.110

6. 拿着冲锋枪向下开枪从五楼跳下,可以安全着地吗?| No.107

7. 不会写段子的审稿人不是好审稿人!审稿意见合集,搞笑的、毒舌的...这里都有!

8. 被王者纸飞机吓呆了,怀疑自己过了个假童年

9. 鹿晗为之“虎躯一震”的签字笔,其背后并不简单 | 正经玩

10. 我们用仨瓶子,做了个伪“永动机” | 正经玩

点此查看以往全部热门文章


登录查看更多
1

相关内容

TC:IEEE Transactions on Computers。 Explanation:电气电子工程师学会计算机期刊。 Publisher:IEEE。 SIT:http://dblp.uni-trier.de/db/journals/tc/index.html
深度学习可解释性研究进展
专知会员服务
103+阅读 · 2020年6月26日
最新《动态网络嵌入》综述论文,25页pdf
专知会员服务
138+阅读 · 2020年6月17日
专知会员服务
113+阅读 · 2020年3月20日
【自动化学报】零样本学习研究进展,中国石油大学
专知会员服务
88+阅读 · 2020年1月27日
论文浅尝 | 重新实验评估知识图谱补全方法
开放知识图谱
28+阅读 · 2020年3月29日
光子Ising机的前景光明
中国物理学会期刊网
6+阅读 · 2019年7月17日
同质结中的“超注入”现象:半导体光源迎来新机遇!
进攻机动作战中的机器人集群
无人机
31+阅读 · 2017年12月4日
量子世界的因果关系
中国物理学会期刊网
9+阅读 · 2017年8月5日
Physical Primitive Decomposition
Arxiv
4+阅读 · 2018年9月13日
VIP会员
相关VIP内容
Top
微信扫码咨询专知VIP会员