独家 | Michael I. Jordan最新清华授课笔记!

2017 年 9 月 17 日 THU数据派


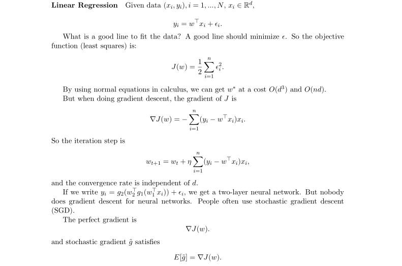
12-14日Michael I. Jordan在清华进行了为期三天的小范围讲座,面对面分享了他在伯克利AMP LabRISE Lab的最新研究成果。讲座内容由机器学习方法和系统组成,主要涉及概率图模型、统计推断和模型评判,以及大规模机器学习的分布式优化算法和计算框架,为清华学生分享了大量干货,在此,数据派整理了一份完整讲座笔记分享给大家(老爷子的板书公式都没放过,超全!)


Michael I. Jordan教授现执教于加州大学伯克利分校,任电气工程与计算机科学系和统计系杰出教授,实时智能决策计算平台实验室(RISELab)共同主任、统计人工智能实验室(SAIL)主任、统计系系主任。Jordan教授长期引领着机器学习、统计学的理论、方法与系统研究,是贝叶斯网络、概率图模型、层次随机过程等多个重要方向的主要奠基者之一,也是统计学与机器学习交叉融合的主要推动者之一。Jordan教授是美国科学院、美国工程院、美国艺术与科学院三院院士,是机器学习领域唯一一位获此成就的科学家。


以下为本次讲座部分笔记内容~


后台回复关键词“MJ”,下载Michael最新讲座笔记完整版。 



这里还有一份Michael之前来清华题为计算思维、推断思维与数据科学(On Computational Thinking, Inferential Thinking and Data Science)的主题报告视频,欢迎观看视频回顾~


报告视频建议在wifi环境下观看~


报告视频原文链接:

【干货】机器学习先驱Michael I. Jordan清华演讲视频+PPT:计算思维、推断思维与数据科学


后台回复关键词“MJ”,下载Michael最新讲座笔记完整版。 

编辑:文婧


登录查看更多
4

相关内容

Michael I. Jordan ,美国加州大学伯克利分校电子工程与计算机科学系、统计学特聘教授。他在亚利桑那州立大学获得数学硕士学位,并于1985年在加州大学圣地亚哥分校获得认知科学博士学位。他从1988年到1998年是麻省理工学院的教授。他的研究兴趣横跨计算、统计、认知和生物科学。他是2018年国际数学家大会的全体讲师。他在2020年获得了IEEE John von Neumann奖章,在2016年获得了IJCAI研究优秀奖,在2015年获得了David E. Rumelhart奖,在2009年获得了ACM/AAAI Allen Newell奖。他是AAAI、ACM、ASA、CSS、IEEE、IMS、ISBA和SIAM的成员。个人主页:https://people.eecs.berkeley.edu/~jordan/
【干货51页PPT】深度学习理论理解探索
专知会员服务
67+阅读 · 2019年12月24日
【课程】概率图模型,卡内基梅隆大学邢波
专知会员服务
70+阅读 · 2019年11月4日
【RL前沿】深度强化学习的最新进展
量化投资与机器学习
8+阅读 · 2017年12月18日
Arxiv
7+阅读 · 2018年8月28日
Arxiv
11+阅读 · 2018年4月25日
Arxiv
3+阅读 · 2018年1月10日
VIP会员
相关论文
Top
微信扫码咨询专知VIP会员