这年头数学不好,连表情包都看不懂了…

2019 年 7 月 12 日 图灵教育

当表情就像哦、嗯、吗这些语气词一样深深地扎根在日常对话中时,拥有一个清新脱俗、与众不同的表情包就像手握屠龙宝刀。谁有不服?请来斗图。


直到主页君在微信上收到了这样表情包,我再也不敢斗图啦。



作为一枚文科生感觉到了一种深深的羞辱感,虽然还没搞清是怎么一回事,但其中隐隐约约的「250」让主页君有了一种不祥的预感,赶紧去请教了理科生大拿。


问:这是什么意思呀

答:我给你翻译翻译,整体意思是「你收敛于250」。


这位理科生大拿还给主页君展示了他珍藏多年的数学表情包。


简称:理科生炫技



于是,便搅起了一场关于表情包的腥风血雨,表情我能看懂,数字我也能看懂,怎么连在一起,我就看不懂了呢?


第一回合

当妈妈问起女朋友时

比如

妈妈问你 “崽,有没有女朋友?”

就可以这个表情包回复她


tan90°=sin90°/cos90°

sin90°=1,cos90°=0

因为分母不能为0,所以tan90°不存在


一番解释后

妈妈肯定会追问“搞啥子?真的没有?”

我建议你回这个

微笑的嘴角更能讨得妈妈的欢心

6阶子群的元素是1、2、3、6

而A4中的元素的阶只有1、2、3、4

A4的6阶子群根本不存在


最后,妈妈还不放心

再问了一句“真没有?”

“妈,真的没有!”

设y=kx,则极限为k/(1+k³)

是一个与k值有关的变量,所以极限不存在


不 存  的三连否定


肯定会让妈妈相信你是单身狗

而且是沉迷学习的单身狗

留下乖宝宝的形象,涨零花钱有希望了!




第二回合

数学版的惊恐四连


根据有三必有四的方针

逆天的理科生还做了


数学版本的  恐  连 


 普通版本:



  数学版本: 

惊恐一级:在路上看到背影杀手了

当时心脏一直突突跳


配图:


(对数函数a为底数,b为指数


惊恐二级:查高考成绩的时候

面部逐渐扭曲、手脚冰凉


配图:



(函数上下波幅变小,最后逐渐收敛于一点


惊恐三级:坐过山车的时候

五官扭曲,尖叫出声 


配图:


(对着相应变量的改变,函数图像也随之改变



惊恐四级:看完《昆池岩》(惊悚片)

吓到痛哭流涕,控制不住寄己 


配图:




不得不说

惊恐四连有显著的精确表达情绪的作用



第三回合

听说用这些表情包的人都善良


除了以上两点之外

数学表情包还非常适合用于

缓解同龄人之间的摩擦 



比如,在宿舍日常中

舍友A:

“哦呦,你的衣服别晾在我隔壁,

我今天的衣服可贵了!”


我可以把这张图送给她



(上式是柯西收敛准则,如果能满足要求

那就是个收敛的函数


廉价翻译一下:你收敛一点吧

友情翻译:我劝你善良



不然,我40米的大刀就要拿不住了



我给你最后的疼爱是:你先跑35.8022米

委婉地表达恨意,促进世界的和平

数学表情包果然好用



看完这些数学表情包

可能只想对理科生说



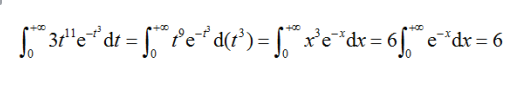
(将定积分展开来,计算出结果等于6

就是这么 skr skr


(skr是hip-hop文化里666的意思)


现在这年头,没点文化都不敢上网

学不好数学,连表情包都看不懂


在如此严峻的大环境下

于是,主页君



每天睁开眼就展开一组麦克劳林函数


睡前推导一遍拉格朗日中值定理


以此来巩固微信斗图小天王的称号


还没看过这几本,怎么能叫爱我。

  


《微积分入门》

作者:小平邦彦
译者:裴东河

  • 菲尔兹奖得主,日本数学大家小平邦彦微积分名著

  • 明快、凝练的数学珍宝,流畅、易读的微积分不朽名作

本书为日本数学家小平邦彦晚年创作的经典微积分著作,有别于一般的微积分教科书,本书作者着眼数学分析的深处,结合自身独到的思考与理解,从严谨的实数理论出发思谋微积分,通过巧妙引导,启发读者自主思考,提升对微积分的领悟理解程度。


《线性代数应该这样学(第3版)》

作者:Sheldon Axler

译者:杜现昆,刘大艳,马晶

  • 公认的阐述线性代数的 经典佳作

  • 原版畅销30多个国家,被200多所高校教材采纳为教材

本书强调抽象的向量空间和线性映射,内容涉及多项式、本征值、本征向量、内积空间、迹与行列式等。本书在内容编排和处理方法上与国内通行的做法大不相同,它完全抛开行列式,采用更直接、更简捷的方法阐述了向量空间和线性算子的基本理论。

《概率导论(第2版)》

作者:Dimitri P.Bertsekas等

译者:郑国忠,童行伟

  • 美国工程院院士力作,MIT等全球众多名校教材

  • 从直观、自然的角度阐述概率,是理工科学生入门首选

本书是在MIT开设概率论入门课程的基础上编写的,其内容全面,例题和习题丰富,结构层次性强,能够满足不同读者的需求。书中介绍了概率模型、离散随机变量和连续随机变量、多元随机变量以及极限理论等概率论基本知识,还介绍了矩母函数、条件概率的现代定义、独立随机变量的和、最小二乘估计等高级内容。

题图来源:unsplash.com

本文转载自:数学与人工智能

☟☟☟ 高等数学书单

登录查看更多
0

相关内容

数学是关于数量、结构、变化等主题的探索。
【纽约大学】最新《离散数学》笔记,451页pdf
专知会员服务
131+阅读 · 2020年5月26日
Python数据分析:过去、现在和未来,52页ppt
专知会员服务
103+阅读 · 2020年3月9日
 第八届中国科技大学《计算机图形学》暑期课程课件
专知会员服务
62+阅读 · 2020年3月4日
清华大学两名博士生被开除:你不吃学习的苦,就要吃生活的苦
机器学习算法与Python学习
25+阅读 · 2019年9月16日
清华美女学霸数学笔记曝光, 精美程度无与伦比
算法与数学之美
7+阅读 · 2019年3月22日
新阶级论: 寒门难贵,豪门难败
凤凰财经
5+阅读 · 2019年1月29日
做机器学习和AI必备的42个数学知识点
AI前线
9+阅读 · 2018年12月6日
图解高等数学|线性代数
遇见数学
39+阅读 · 2017年10月18日
大学数学不好,或许是数学教材的锅?
算法与数学之美
15+阅读 · 2017年8月1日
【基础数学】- 01
遇见数学
20+阅读 · 2017年7月25日
W-net: Bridged U-net for 2D Medical Image Segmentation
Arxiv
20+阅读 · 2018年7月12日
Arxiv
3+阅读 · 2018年5月21日
Arxiv
3+阅读 · 2018年3月14日
Arxiv
6+阅读 · 2018年1月11日
VIP会员
相关资讯
清华大学两名博士生被开除:你不吃学习的苦,就要吃生活的苦
机器学习算法与Python学习
25+阅读 · 2019年9月16日
清华美女学霸数学笔记曝光, 精美程度无与伦比
算法与数学之美
7+阅读 · 2019年3月22日
新阶级论: 寒门难贵,豪门难败
凤凰财经
5+阅读 · 2019年1月29日
做机器学习和AI必备的42个数学知识点
AI前线
9+阅读 · 2018年12月6日
图解高等数学|线性代数
遇见数学
39+阅读 · 2017年10月18日
大学数学不好,或许是数学教材的锅?
算法与数学之美
15+阅读 · 2017年8月1日
【基础数学】- 01
遇见数学
20+阅读 · 2017年7月25日
Top
微信扫码咨询专知VIP会员